【引言】
能量的收集和转化是与人类的生活和日常生产有关的重要问题。铁电体作为具有反向极化的压电材料,可以用作允许在电应力和机械应力之间转换的超微换能器。铁电体的自发极化和压电效应促进了发光二极管,太阳能电池,纳米机器人和自供电系统领域中许多光电器件的发展。此外,铁电体的自发极化可以响应于外部电场而切换,使其对铁电体存储器,温度传感,能量收集和光电设备的广泛应用具有吸引力。具有更多等效极化方向的多轴铁电体是此类应用的高度首选,因为更多等效铁电轴允许随机自发极化矢量沿着电场定向,以实现多个方向之间的可逆切换,并且压电效应也可以在多个方向发生。产生最佳性能。大多数陶瓷铁电体具有不超过三个等效铁电轴。考虑到作为多晶铁电材料或薄膜的应用,基于分子的多轴铁电材料因其机械灵活性,结构可调谐性,环境友好的合成,易于加工成薄膜而备受期待,并且具有作为下一代柔性设备的巨大潜力。在过去的十年中,随着大量优秀的铁电材料的出现,分子铁电材料的研究得到了极大的发展,特别是那些具有多极轴和发光,高自发极化和大压电的铁电材料。
【成果简介】
铁电体,作为具有反向极化的压电材料,在能量信号采集和转换中具有巨大的吸引力。它们的极化和压电特性广泛用于各种智能设备,例如数据存储,传感器,太阳能电池和自供电系统。在这些应用中,具有多个等效极化方向的多轴分子铁电体是高度优选的。然而,设计和调节多轴分子铁电体一直是一个巨大的挑战,特别是在压电性能优异的情况下。东南大学的熊仁根教授团队通过精确的分子修饰,成功设计并调节了四种高温多轴分子铁电体[(CH3)3NCH2X]FeBr4(X = F,Cl,Br,I)。更为显着的是,压电响应力显微镜显示它表现出与聚偏二氟乙烯相当的较大压电响应。这种精确的分子设计策略为获取和调节多轴分子铁电体提供了有效的手段,为现代能源和人工智能提供了新的机会。该成果以题为“Piezoelectric Energy Harvesting Based on Multiaxial Ferroelectrics by Precise Molecular Design”发表在国际著名期刊Matter上。
【图文导读】
图1.相变属性

图2.低温相的晶体结构

图3.中温相的晶体结构

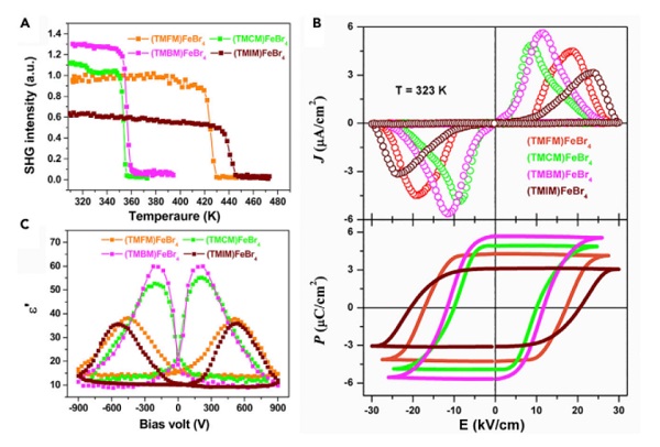
图4.铁电特性的表征

(A)(TMFM)FeBr4,(TMCM)FeBr4,(TMBM)FeBr4和(TMIM)FeBr4的温度依赖性SHG强度
(B)使用双波法在323 K下测量的(TMFM)FeBr4,(TMCM)FeBr4,(TMBM)FeBr4和(TMIM)FeBr4的P-E磁滞回线
(C)(TMFM)FeBr4,(TMCM)FeBr4,(TMBM)FeBr4和(TMIM)FeBr4的复介电常数的实部与偏置电场的关系
图5.(TMFM)FeBr4薄膜的生长区结构

(A)拓扑图
(B-E)同一区域中的垂直PFM振幅(B)和相位(C)图像以及侧面PFM振幅(D)和相位(E)图像
图6.薄膜的偏振反转测量

(TMFM)FeBr4,(TMCM)FeBr4,(TMBM)FeBr4和(TMIM)FeBr4薄膜的局部振幅(A)和相位(B)磁滞回线
图7.压电特性的表征

(A,B)(TMFM)FeBr4,(TMCM)FeBr4,(TMBM)FeBr4,(TMIM)FeBr4,(TM)FeCl4和PVDF的PFM共振峰(A)和有效压电系数(B)的比较
(C)基于(TMFM)FeBr4膜的压电能量收集器的示意图
(D)(TMFM)FeBr4多晶样品在一定冲击下产生的输出电压
【总结】
通过精确的分子修饰或剪裁,作者成功设计和调节了四种高温多轴分子铁电体(TMFM)FeBr4,(TMCM)FeBr4,(TMBM)FeBr4和(TMIM)FeBr4。通过化学方法,用F到I的卤素原子取代H原子,原来的中心对称[(CH3)4N]+阳离子变成准球形TMFM,TMCM,TMBM和TMIM阳离子,使这四种化合物在极性下结晶空间群并经历铁电相变。此外,所有这些多轴铁电体均表现出良好的压电性能,由此(TMFM)FeBr4表现出与PVDF相当的较大压电响应。这种精确的分子设计策略为多轴分子铁电体的设计和调节提供了可行的方向,这对进一步探索结构与铁电之间的关系具有重要意义,为现代能源和人工智能领域的发展提供了新的机会。
文献链接:Piezoelectric Energy Harvesting Based on Multiaxial Ferroelectrics by Precise Molecular Design. Matter, 2020, DOI: 10.1016/j.matt.2019.12.008.
本文由tt供稿。
材料牛网专注于跟踪材料领域HTH官网地址 及行业进展,这里汇集了各大高校硕博生、一线科研人员以及行业从业者,如果您对于跟踪材料领域HTH官网地址 进展,解读高水平文章或是评述行业有兴趣,点我加入编辑部大家庭。
欢迎大家到材料人宣传HTH官网地址 成果并对文献进行深入解读,投稿邮箱tougao@cailiaoren.com。





