【引言】
锂离子电池具有较高的能量密度和功率密度,广泛应用于电动汽车、便携式电子设备等领域。然而,锂资源相对较少且分布不均,人们迫切需要寻求高效、低成本的可替代储能器件。例如:镁离子电池、钙离子电池、铝离子电池、钠离子电池、钾离子电池(PIBs)等。其中:i)钾(K)资源储量丰富,成本较低;ii)K+/K(-2.93 V vs 标准氢电极(SHE))的氧化还原电位非常接近Li+/Li(-3.04 V vs SHE),这意味着PIBs具有较高的电压平台和能量密度,因此受到研究者们的广泛关注。但是,较大的K+半径(1.38 Å)使得K+插入/脱出电极的过程变得困难,从而导致PIBs循环稳定性差、容量较低。因此,亟需研制具有优异结构稳定性的PIBs负极材料。
到目前为止,主要的PIBs负极材料包括:碳基材料、Mxene、金属基材料、磷化物、硒化物和硫化物等。其中,碳基材料因其高导电性和化学稳定性而备受关注。此外,增加碳材料的层间距可以使其有效地缓冲体积膨胀并容纳更多的K。研究结果表明,杂原子(N、O、P、S、F等)掺杂可以有效调节碳材料的层间距。此外,杂原子掺杂(特别是多组分掺杂)或微/介孔可以产生大量的缺陷,显著增加电化学活性位点,从而提高碳材料的容量。近年来,已有不少研究者制备了杂原子掺杂的碳材料,并将其用作PIBs负极材料。但是,目前所报道的制备方法相对复杂且规模较小,严重限制了其商业化应用。设计低成本、可简单且大规模制备、环境友好且具有较高容量和优异循环性能的硬碳材料是加速PIBs商业化应用的关键。
生物质资源作为一种有前途的碳素材料,具有成本低、资源丰富、可再生等特点。其中,高粱作为世界第五大种植作物,每年产生约数十亿吨的高粱秸秆废弃物。而传统的焚烧法处理高粱秸秆会导致严重的环境问题。因此,利用高粱秸秆或其它生物质为前驱体开发电极材料受到研究者越来越多的关注。高粱秸秆的皮和芯都是由丰富的纤维素、木质素和半纤维素组成。其中,秸秆芯的结构柔软疏松,更容易制备多孔碳材料。此外,高粱秸秆中含有大量的氧和微量的氮。富氧官能团不仅可以产生更多的电化学活性位点,而且还可以增加表面的润湿性。一定量的氮则可以增加碳材料的导电性,提供更多的电化学活性位点。
【研究简介】
近日,吉林大学蒋青教授、杨春成教授及其团队在Advanced Science上发表了一篇题目为“N/O Dual-Doped Environment-Friendly Hard Carbon as Advanced Anode for Potassium-Ion Batteries”的文章。该研究设计并制备了一种N/O双掺杂硬碳材料(NOHCs),这种材料可由高粱秸秆芯通过一步碳化的方法大规模制备。得到的NOHCs具有丰富的N/O官能团、微/介孔分级结构和丰富的活性位点。作为PIBs的负极材料,NOHCs在0.1 A g-1的电流密度下循环100圈的容量仍为304.6 mAh g-1,在1 A g-1的电流密度下循环5000圈的容量为189.5 mAh g-1,优于大多数碳材料。
【图文简介】
图1 NOHC制备示意图

NOHC的制备示意图。
图2不同碳化温度下得到的NOHCs结构表征

a)NOHCs的X射线衍射图谱和b)拉曼光谱;
c)NOHC-800的N2吸附-解吸等温线。插图为由密度泛函法得到的孔径分布;
d-f)NOHC-800的场发射扫描电镜、透射电镜(TEM)和高分辨透射电镜(HRTEM)照片;
f)中的插图是NOHC-800的选区电子衍射图像;
g)从(f)中的方框区域获取的层间距分布图;
h-k)NOHC-800的高角环形暗场TEM照片及相应的C、O、N元素分布。
图3 NOHCs的X射线光电子能谱(XPS)

a)NOHC-800的全谱;
b-d)NOHC-800的C 1s、O 1s和N 1s的XPS高分辨图谱;
e)NOHCs中C、N、O的含量;
f)NOHCs中不同种类N的含量。
图4 NOHCs电极的电化学性能

a)NOHC-800电极在0.1 mV s-1扫描速率下的循环伏安(CV)曲线;
b)NOHC-800在0.1 A g-1电流密度下的恒电流充放电曲线;
c)NOHCs在0.1 A g-1电流密度下的循环性能和库伦效率;
d)NOHCs在不同电流密度下的倍率性能;
e)NOHCs在1 A g-1电流密度下的循环性能和库伦效率。
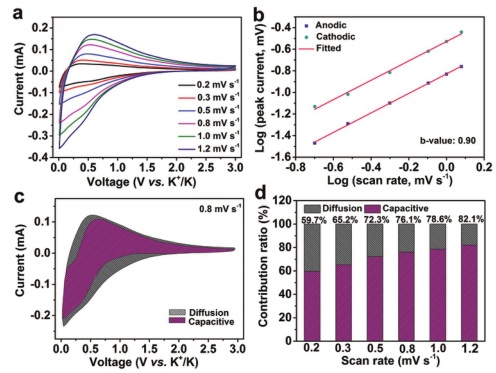
图5 NOHC-800中钾离子存储机理分析

a)在0.2-1.2 mV s-1不同扫描速率下的CV曲线;
b)b值的计算;
c)扫描速率为0.8mV s-1时电容和扩散过程的贡献;
d)不同扫描速率下电容过程的贡献率。
图6 非原位拉曼和TEM分析

a)不同钾化状态下NOHC-800的非原位拉曼光谱;
b-d)分别在初始状态、放电状态和充电状态下的NOHC-800的HRTEM照片;
e-i)NOHC-800放电状态下C, K, O, N元素的能谱(EDS)元素分布;
j-n)NOHC-800充电状态下C, K, O, N元素的EDS元素分布。
图7 NOHC-800//(普鲁士蓝)KPB钾离子全电池的电化学性能

a)0.1 A g-1电流密度下的恒电流充放电曲线;
b)0.1 A g-1电流密度下的循环性能和库伦效率;
c-d)由NOHC-800//KPB钾离子全电池驱动的发光二极管(LED)手表和白色LED灯泡。
【小结】
综上所述,研究者以高粱秸秆芯为前驱体,通过简单高效、低成本、大规模的一步碳化的方法制备了NOHC。NOHC具有超稳定的多孔结构、大的层间距和N/O双掺杂,从而提供了较多的电解液/离子传输通道和丰富的K+存储活性位点。因此,NOHC电极具有高可逆容量(1 A g-1的电流密度下循环100圈的容量为304.6 mAh g-1)和优异的循环稳定性(1 A g-1的电流密度下循环5000圈的容量仍可保持在189.5 mAh g-1)。此外,基于NOHC和KPB的全电池同样表现出较高的容量和良好的循环稳定性,具有良好的商业化应用前景。这项工作将会推动低成本和可持续的碳基材料在PIBs和其它先进储能设备中的开发与应用。
文献链接:N/O Dual-Doped Environment-Friendly Hard Carbon as Advanced Anode for Potassium-Ion Batteries, Adv. Sci. 2020, DOI: 10.1002/advs.201902547
欢迎大家到材料人宣传HTH官网地址 成果并对文献进行深入解读,投稿邮箱tougao@cailiaoren.com。
材料人投稿以及内容合作可加编辑微信:cailiaorenvip。





