【引言】
最近,水系可充电锌离子电池(ZBs)由于其理论比容量高(820 mAh g-1),安全性高和锌资源丰富在大规模能量储存系统应用中了引起了极大的关注。在ZBs开发的早期阶段,对无机正极材料进行了深入研究。最初,α-MnO2被用作ZBs的正极材料,原因很简单,因为其较大的隧道结构有益于Zn2+离子的快速扩散。然而,随后的研究表明,由于Mn2+在电解液中的溶解以及不可逆的结构相变,α-MnO2正极的循环寿命差。近些年来,由于有机材料的合成简便,成本低且重量轻等原因,有机-无机混合电池引起了广泛的研究关注。其中,醌类有机材料具有优异的可逆性和高容量。然而,基于醌的活性材料易溶解导致电池循环寿命的恶化。已经采取了几种策略来克服这一问题,包括将活性单体聚合,或将醌单体掺入不溶性复合物中。
【成果简介】
最近,美国西北大学J. Fraser Stoddart教授(通讯作者)采用了三角形大环菲醌(PQ-△) 作为水性可充电锌离子电池的正极材料。该材料在30 mA g-1的电密度下具有高达225 mAh g-1的可逆容量。在150 mA g-1的较高电流密度下,其可逆容量为210 mAh g-1,并且可以稳定循环500次,没有容量衰减。结合对比实验和密度泛函理论(DFT)计算,可以证实PQ-△的高性能可归因于水合Zn离子的去溶剂化能降低,以及PQ刚性结构的优异稳定性。相关研究成果以“Redox-Active Phenanthrenequinone Triangles in Aqueous Rechargeable Zinc Batteries”为题发表在JACS上。
【图文导读】
图一Zn/PQ-△的化学特性

(a)水系可充电Zn/PQ-△电池的示意图。
(b)PQ-△的结构式。
(c)水系可充电Zn/PQ-△电池的总电化学反应过程。
图二PQ-△在有机和水系电解液中的电化学性能比较

(a,b)在30 mA g-1的电流密度下的充放电曲线和循环性能。
(c)在150 mA g-1的电流密度下的长循环性能。
(d)分别使用有机和水系电解液的EIS谱图。
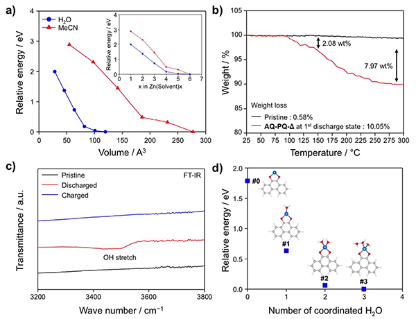
图三PQ-△的水合作用表征
(a)相对能量值与溶剂的体积的关系。
(b)原始和放电状态下PQ-△电极的TGA曲线。
(c)充放电过程中PQ-△的FT-IR。
(d)锌配位的PQ-△分子的相对能量与H2O分子数量的关系。
图四PQ-△的氧化还原中心分析

(a)放电-充电过程中PQ-△的FT-IR光谱。
(b,c)Zn 2p和(c)O 1s的XPS光谱。
(d)放电后PQ-△的电荷密度增加。
【小结】
总之,本文为三角形大环菲醌(PQ-△)可用作水系可充电锌离子电池正极材料这一事实提供了依据。鉴于H2O和Zn2+离子共嵌入具有电荷屏蔽效应和低去溶剂化能垒的优势,AQ-PQ-△在水性锌离子电池系统中显示出较低的界面电阻。因此,AQ-PQ-△具有高容量和优异的循环稳定性。此外,DFT计算表明,水系电解液中水合Zn2+对去溶剂化能垒的降低使得AQ-PQ-△可以充分利用其活性部位。研究表明,通过设计分子结构和控制二价载流子离子的配位环境,可以改善二价离子电池中有机正极的氧化还原活性和循环稳定性。
文献链接:“Redox-Active Phenanthrenequinone Triangles in Aqueous Rechargeable Zinc Batteries”(JACS, 2019, DOI:10.1021/jacs.9b12436)
本文由材料人编辑部学术组微观世界编译供稿,材料牛整理编辑。
欢迎大家到材料人宣传HTH官网地址 成果并对文献进行深入解读,投稿邮箱tougao@cailiaoren.com。
材料人投稿以及内容合作可加编辑微信:cailiaorenvip





