当前位置: 材料牛 » HTH官网地址 » 综述 » 浙大黄飞鹤Adv. Mater.综述:超分子-大环基有机晶体材料研究进展

浙大黄飞鹤Adv. Mater.综述:超分子-大环基有机晶体材料研究进展

【背景介绍】

冠醚、环糊精(CDs)、杯芳烃、间苯二酚芳烃、邻苯三酚芳烃、葫芦素(CBs)、柱芳烃、等超分子大环是一类具有内孔的超分子受体。由于它们丰富的宿主−客体性质,其在高分子化学、材料化学、纳米技术、等领域也发挥了重要作用。同时,它们还被用于通过非共价宿主−客体相互作用来修饰金属纳米粒子的表面性质,包括它们在药物释放、高灵敏度传感器、选择性催化等方面的应用。

除了在其宿主−客体化学基础上的广泛应用外,大环还被用作构建固体材料的基石,包括多孔有机聚合物(POPs)、金属-有机骨架(MOFs)、和结晶有机材料(COMs)。特别是COMs,这是一类具有制备简单、结晶度高的有机材料。与由无机(金属离子)和有机物种(有机配体)通过配位组成的MOFs不同,COMs是一种由共价键或非共价键连接的纯有机物组成的结晶材料,其结构具有多样性、化学稳定性、溶液加工性等。对于非共价键连接的COMs,典型的材料是具有耐人寻味性质的有机分子晶体,如半导体、孔隙度等,由于晶体状态下有机组块堆积效率低,一些分子晶体表现出外部孔隙,通常被称为氢键有机框架(HOFs)或超分子有机框架(SOFs)。

根据它们的组成,基于超分子-大环的COMs可分为两大类,一类是纯的大环,另一类是由大环和其他简单的有机构件组成的。由于具有一定类型的预制腔,一些大环COMs在固态条件下表现出本征微孔隙。另一方面,由于这些刚性大环分子在晶态中的堆积效率低下,可能会形成一些大环基化合物的外部孔隙。除了明显的孔隙度外,基于大环的COMs的一个特点是它们可能含有“没有孔”的多孔性。某些基于大环的COMs的另一个特点是它们是非多孔的,但在结构上是自适应的,这被称为非多孔自适应晶体(NACs)。在NACs的初始状态下,由于有效的分子填充,不存在空隙或空穴,但由于软大环的结构适应性,在特定客体的吸收上产生了一定的空隙。除此之外,基于大环的COMs还可以由具有其它吸引人的性质或功能的宿主−客体复合物构建,如固态微激光器。随着超分子-大环基COMs的出现,COMs的多样性和耐人性不断扩大,这在很大程度上促进了COMs的发展。

【成果简介】

最近,浙江大学Kecheng Jie博士和黄飞鹤教授团队综述了超分子-大环基结晶有机材料的最新研究进展。以“Supramolecular‐Macrocycle‐Based Crystalline Organic Materials”发表于Adv. Mater.期刊上。本文综述了超分子-大环化合物的最新进展,包括环糊精、杯芳烃、间苯二酚芳烃、邻苯三酚芳烃、葫芦醇、柱芳烃等。重点研究了基于超分子-大环结构的COMS的结构及其结构-功能关系。此外,超分子-大环化合物基COMs在气体储存或分离、分子分离、固态电解质、质子传导、碘捕获、水或环境处理等方面的应用。最后,讨论了基于超分子大环COMs领域的观点和未来挑战。

【图文解读】

1、环糊精基COMs

图一、环糊精基COFs

(a)不同反离子的CD-COFs的合成;

(b)Li离子在含有Li+的CD-COF通道中传输的原理图;

(c)不同反离子对CD-COFs的CO2吸附能力。

2、杯芳烃基化合物

图二、杯[4]芳烃的四种稳定构象

图三、CMS中杯芳烃的化学结构

2.1、杯芳烃基化合物

图四、杯芳烃1的单晶X射线结构

(a)沿三重轴的1在a中的一条线的大环、三重排列

(b)沿三重轴的空间填充表示

(c)垂直于三重轴的1⋅CF3Br空间填充表示

(d)垂直于晶体c轴的1⋅CF3Br的空间填充表示

图五、杯芳烃2的单晶X射线结构

(a)2a,面对杯芳烃是相互抵消和客体分子(未显示)被部分插入到他们的腔;

(b)2b,相邻双层相对于2a横向平移,使杯芳烃形成二聚体胶囊;

(c)2c,杯芳烃略有偏移,形成偏斜的空囊;

(d)自组装二聚体结构2d 。

图六、乙烯基溴处理后

(a)2d单晶X射线结构;

(b)2e单晶X射线结构;

(c)2d样品的气体吸附等温线;

(d)在室温和大约1 atm初始压力下吸附乙炔和二氧化碳;

(e)氧化亚氮和一氧化氮的吸附等温线;

(f)在298 K时,2d和3a对甲烷的高压吸附;

(g)在298 K时,2d和3a对甲烷的低压吸附;

(h)2d和3a的吸氢吸附等温线;

(i)4a的吸氢吸附等温线。

图七、不同条件对2d形态影响

(a)单晶X射线结构为2d,热力学形式为2c和1:1的宿主:客体配合物,2e,除去了客体分子;

(b)当CO2为3.5MPa时,气体诱导2c向2d的转化和膨胀;

(c)在3.5MPa条件下,氧化亚氮诱导2c向2d和2e转变。

图八、2晶体选择性结合的示意图表示

图九、杯芳烃分子结构

(a)沿[001]方向投影的5b单晶X射线结构的透视图;

(b)分子5c1,其两个裂缝显示为Connolly表面(顶部);Connolly表面(橙色),代表5c2(底部)的两个对称相关的裂缝;

(c)5bHCl(顶部)和5bHCl·H2O(底部)结构中的杯芳烃分子;

(d)沿[001]观察杯芳烃5b(顶部)和5b12 (底部)的Endo连接面和分子间孔。

图十、6与吡啶的单晶X射线结构

(a)纳米管状组装中一个环的棒状表征;

(b)六方填充纳米管沿c轴延伸结构的视图;

(c)沿[001]面环状结构的空间填充表示;

(d)沿[100]面环状结构的空间填充表示。

图十一、8的单晶X射线结构

(a)由6个8和2个水分子构成的超分子纳米通道;

(b)超分子纳米通道的空间填充模型,显示极性明渠和两个疏水腔;

(c)CO2在多孔材料8中的重量百分比作为时间和压力的函数;

(d)CH4在203K的吸附等温线,在左垂直轴(▪)和单位晶胞在右侧垂直轴(▴)上的CH4分子数(wt%)上报道了吸附等温线;

(e)C2H2在298 K、278 K和203 K处的吸附等温线;

(f)在超分子网络的真空样品中,Ar的吸附焓和吸附气体的摩尔数分别为77k和0.1bar。

图十二、9的单晶X射线结构

(a)空腔中含有CHCl3

(b)空腔含有两种不同的客体(CHCl3和二苄基酮);

(c)10单晶X射线结构

(d)对10空腔的吸附等温线。

2.2、杯[5]芳烃基COMs

图十三、11的单晶X射线结构

(a)11a单晶X射线结构,显示氢键螺旋贯穿TH堆芯;

(b)晶体X射线结构11b的棒和填充图;

(c)在1 atm压力和室温,CO2(蓝色)和H2(红色)条件下,11b吸附等温线。

图十四、 对叔丁基杯[5]芳烃12

 (a)非多孔(和非活性)12甲苯溶剂的单晶X射线结构和12的去溶剂/升华形式;

(b)12a的扩展结构显示了基对基和头对端二聚体的排列;

(c)12b的单晶X射线结构显示基对基和头对头二聚体的排列;

(d)12c的单晶X射线结构显示基对基二聚体在“薄片”内的头对头的排列;

(e)受挫的12a在室温下9分钟内的气体吸附等温线;

(f)受挫12b在室温和压力下9 min内的气体吸附等温线。

3、邻苯三酚基COMs

图十五、邻苯三酚[4]芳烃的化学结构

图十六、单晶X射线结构

(a)甲醚空腔13a的粘接表示,封闭空间以绿色表示,氢键显示为破碎的黄色圆柱体;

(b)球形空腔的空间表示;

(c)纳米空腔15a、16a和17a的合成;

(d)15a、16a和17a纳米空腔的分子包装图;

(e)16a的X射线晶体结构图,显示了hexammer组装(顶部)中分解的芘碎片;

图十七、芘或1-溴芘处理的16

(a)通过氢键作用将16组装成有机纳米球16b和纳米管16c的条件;

(b)16型Ⅰ型二聚体与交替二聚体(顶)之间的溶剂(三个甲醇分子)包涵体的交叉正面和反面的填料图;

(c)在有和不含二氧化碳的16种不同形式之间相互转化的流程图;

(d)自上而下的PXRD曲线:表格I(洋红)、II(海军)、III(蓝色)、iv(棕色)、v(红色)、vi(紫色)和VII(橄榄)。

图十八、结构14的单晶体X射线

(a)14基丙酮客体的分子;

(b)两个在21°处堆积的“纳米探测器”的空间填充图,它们相互包裹在丙酮上。

图十九、邻苯三酚[4]芳烃基SOFs

(a)18A的单晶X射线结构,显示两个18分子通过两个a分子连接;

(b)与间隔分子呈波状排列的18B;

(c)14A和14B,间隔分子排列在通道中,由尾部到头部的堆叠包围起来排列14;

(d)分子间氢键模式的16A;

(e)16C,扩展氢键视图,沿[001]晶体方向堆积16列;

(f)在298 K下,气体在16C的吸附等温线。

图二十、单晶X射线结构

(a)在19·3 MeOH中发现的两层结构的棒状和空间填充表示,显示了杯芳烃氯丁基链的不同取向;

(b)在19·1.5 MeOH中,对两层结构的粘着和空间填充表示,显示了杯芳烃氯丁基链的交叉;

(c)由20结构氢键纳米胶束的空间填充表示。

4、间苯二酚基COMs

图二十一、间苯二酚[4]芳烃21-24的化学结构

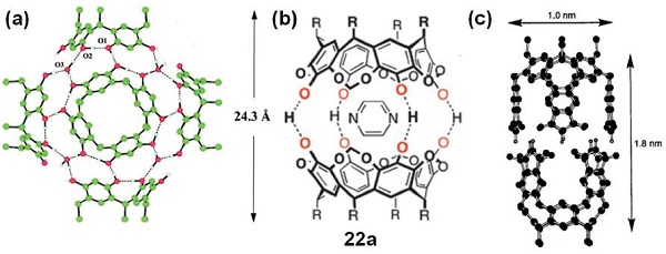
图二十二、单晶X射线结构

(a)基于21的手性球形分子组装;

(b)同型二聚体空腔22a;

(c)基于23的空腔。

图二十三、基于21的空心晶体的形成

5CBCOMs

图二十四、CB[6]CB[8]的结构。颜色代码:碳,灰色;氮,蓝色;氧气,红色。

图二十五、具有永久孔隙率和高热稳定性的CB[6]COM

(a)25单晶X射线结构 (顶部),乙炔吸附25 (底部);

(b)乙炔在196 k(圆)和298 k(方)处的吸附等温线;

(c)吸附25的CO2单晶X射线结构;

(d)CO2(红圈),CH4(蓝方格)和CO(黑色三角形)在298 K下吸附25。

图二十六、存在于CB[6]COMS的通道中的水和酸分子

(a)在多孔性CBs、25a、25b和26a通道中显示水酸阵列的单晶X射线结构;

(b)在25a(左)、25b(中)和26a(右),一维通道中的水酸阵列;

(c)在298 K和98%Rh单晶25a(左)、25b(中间)和26a(右),Nyquist图(黑方格图)和用所提出的多孔性CBS等效电路模型(红线)拟合的图;

(d)在298K的25a(左)、25b(中)和26a(右),多孔性CBs颗粒的对数σ与rh图。

6、柱芳烃基COMs

图二十七、支柱[5]芳烃

(a)柱[5]芳烃和支柱[6]芳烃的卡通图;

(b)柱芳烃的化学结构。

 6.1、柱芳烃基COFs

图二十八、SOP 27

(a)27a单晶X射线结构,向下看b轴(左);向下看a轴(右);

(b)27a气体吸附等温线;

(c)27b气体吸附等温线;

(d)在273 K,CO2(黑色)和N2(蓝色)在27b气体吸附等温线;

(e)28a单晶X射线结构:沿c轴观察.

(f)氮(77k,黄色圆圈),CO2(298 k,蓝方格),正丁烷(298 k,紫色三角形) ,无丙酮28a粉末吸附等温线。

(g)多孔28a粉末在298 K下对正己烷(绿色三角形)和环己烷(蓝圈)蒸气的吸附等温线:固体符号=吸附;开符号=解吸。

6.2、柱芳烃NACs

图二十九、过乙基柱[5]芳烃29晶体

(a)29a晶体对具有开门行为的线性烷烃和支链烷烃的吸附示意图;

(b)顶部:获得含烷烃29晶体的程序示意图。底部:C6@29,C7@29,C8@29和C16@29的单晶X射线结构。

图三十、烯烃位置异构体的分离

(a)29a对线性戊烯的吸附等温线:1-Pe(蓝方),反式-2-Pe (洋红色三角形),顺式-2-Pe (红色钻石)。固体符号=吸附;开放符号=解吸;

(b)室温下1-Pe /2-Pe混合物随时间变化的29a固体蒸气吸附图。

(c)由29a向1-Pe @29转变的结构表征:吸收1-Pe /2-Pe混合物加热释放1-Pe。

图三十一、基于芳烃的NACs作为吸附分离材料来净化苯乙烯

(a)用30 NACs和30b到St@30之间的可逆变换的苯乙烯净化过程的原理图,;

(b)总结了30-二甲苯主客体−在溶液中和固态中的相互转化方案。

图三十二、分离过程和机理的表示

(a)用29a从MCH/Tol混合物中分离tol;

(b)用30b分离MCH/Tol混合物中的MCH。

图三十三、30b结构转变的原理图

(a)30b晶体中碘的吸收,I2@30中环己烷中碘的释放,Cy@30中环己烷的去除;

(b)32(顶)烷烃型选择性汽色行为的示意图表征。在单晶的X射线结构中,C=灰色,O=红色,H原子为清晰省略。照片显示,当20毫克的32晶体暴露在不同的脂肪醛中12 h(底部)时,颜色会发生变化。

图三十四、通过捕获丁胺蒸气在32a中进行后合成修饰的原理图

6.3、柱芳烃基主体客体COMs

图三十五、基于33DASP的超分子固体微激光器的形成

7、其它超分子大环基COMs

7.1NoriaCOMs

图三十六、34a()34b()的扩展晶体X射线结构

 7.2、双尿素大环基COMs

图三十七、双尿素大环35

(a)双尿素大环35的单晶X射线结构;

(b)填充寄主35⋅AcOH(顶部)的PXRD图谱;

(c)35a在0℃的CO2吸附等温线为;

(d)35a在−78°C的CO2吸附等温线为;

(e)对寄主35⋅二甲苯(顶部)、二甲苯去除后35a(中部)和寄主35⋅二甲苯(底部)进行了PXRD分析;

(f)36化学结构;

(g)描述36⋅TFE包装的视图;

(h)去除TFE后宿主36(底部)、宿主36·TFE(中)和寄主36·TFE(顶部)的PXRD图谱比较;

(i)在273 K处对寄主36的二氧化碳吸附等温线(蓝色、干湿吸附)。

【小结】

总之,作者综述了基于超分子-大环的COMs的最新进展。作者认为,大环在COMs中的应用已经很成熟,与传统COMs相比具有如下优点:1) 大多数大环基COMs在刚性结构中存在永久性的孔/通道,或在动态或自适应结构中存在由客体诱导的新空隙/通道,从而使其具有吸收客体的特性;(2)多个功能由于其结构多样性而被赋予单一的COM;3)多个结合位点有助于结构的高稳定性。

然而,作者认为尽管其固有的优点和广泛的潜在应用,仍有改进的余地。虽然由分子间非共价相互作用制备的基于大环的COMs已经被广泛报道,但是利用共价键来构建基于大环COMs的构建是相当有限的。且其在于几个方面存在制备困难:1)一些大环如胍类很难功能化,因此无法与其他简单的有机连接反应来提供框架;2)一些容易被官能团修改的大环太过于柔性,无法构建在去溶剂化时仍能保持其框架的刚性;(3)将大的大环加入COFs可能会增加结构的复杂性,而这可能会破坏结晶度并生成无定形的框架。然而,考虑到基于大环的MOF取得的巨大进展,通过克服这些障碍,将在不久的将来实现基于大环的COFs的改进。此外,由于超分子化学和寄主−客体的发展。越来越多的大环受体被合成或发现。这为从新的大环构建基于大环COMs并探索其潜在的应用提供了可能。

此外,近年来计算机科学的巨大进步使计算和模拟成为化学和材料科学领域的强有力的研究工具,这将有助于基于旧大环的新COMs的发现。同时,分子模拟还可能有助于更好地理解基于大环的COMs中的结构-功能关系,并为特定任务的应用提供结构设计方面的启示。作者认为,结合实验和理论改进,基于大环的COMs的研究将很快进入一个新的时代。

 

文献链接:Supramolecular-Macrocycle-Based Crystalline OrganicAdv. Mater. 2019, 1904824)

本文由我亦是行人编译。

欢迎大家到材料人宣传HTH官网地址 成果并对文献进行深入解读,投稿邮箱:tougao@cailiaoren.com.

投稿以及内容合作可加编辑微信:cailiaorenvip.

未经允许不得转载:材料牛 » 浙大黄飞鹤Adv. Mater.综述:超分子-大环基有机晶体材料研究进展

相关文章

Baidu
map