【引言】
在过去的几十年中,可再充电电池在诸如电网和电动汽车等领域获得了广泛的关注。为了实现更安全和更高能量密度的电池技术,对电解质提出了越来越严格的要求,传统电池中使用的有机液体电解质受到安全问题及其有限的电化学窗口的困扰。用固体电解质代替液体电解质可以潜在地解决这些安全问题,同时还可以使用高压正极材料和Li/Na金属负极来实现高能量密度。
尽管在锂离子固体电解质中已经取得了许多进步和突破,并且在电解质/电极界面方面也进行了深入的研究,但是目前仅有少数Na+离子固体电解质具有与液体电解质相媲美的离子电导率。这些的实例包括Na-β”-Al2O3, NaSICON,硫代磷酸盐如Na11Sn2PS12,Na3PS4及其衍生物。通式为Na1+xZr2SixP3-xO12(0≤x≤3)的NaSICON型电解质由于具有高电导率以及优异的化学和热稳定性,因此是一种非常有前景的电解质材料。该材料室温下通常为三方相(具有R-3c空间群),当1.8<x<2.3时,室温下为单斜相(具有C2/c空间群)。其总离子电导率随x值在一个数量级内变化,当x≈2.0时(即Na3Zr2Si2PO12),电导率最大值(300K时为0.67 mS/cm)。
【成果简介】
近日,章志珍博士、邹喆乂(共同第一作者)、中科院物理所胡勇胜教授、加拿大滑铁卢大学的Linda F. Nazar教授、上海大学施思齐教授和悉尼大学Maxim Avdeev教授(共同通讯作者)结合分子动力学、中子衍射、BVEL和MEM等多种手段,发现单斜Na3Zr2Si2PO12中存在一个新的高能Na位置(Na5)。CI-NEB计算表明Na+离子倾向于以多离子协同迁移的机制进行传导。与单离子扩散势垒相比,协同扩散需要克服的势垒要低的多。此外,作者还发展了一种多面体方法更加准确地统计不同Na浓度的NaSICON材料中的Na离子跳跃事件,揭示了该结构中,随着Na离子浓度增加,协同扩散的比例增强。进一步地作者通过一系列的掺杂研究,调控NaSICON体系中Na离子的浓度,并采用阻抗系统地研究各组成中离子传导性质来证实了这一发现。通过将Na含量从3.0增加到3.30-3.55 mol,可以显著提高体相和总离子电导率。这些改善是由于当体系中含有更多的Na+离子时,阳离子之间的库仑斥力增加,从而激发更多的离子发生协同跳跃,进而降低迁移势垒,而不是仅仅归因于载流子浓度增加。这些研究还验证了一个全新的提高离子电导率的策略,即将迁移阳离子推入高能位,从而降低了该阳离子迁移的能垒。该成果以题为“Correlated Migration Invokes Higher Na+-Ion Conductivity in NaSICON-Type Solid Electrolytes”发表在Adv. Ener. Mater.上。
【图文导读】
Figure 1. NaSICON单斜相和三方相的晶体结构

a)NaSICON结构的三方相和单斜相的三维结构比较
b)参考文献中报告的单斜结构比较
c)虚线圆圈突出显示了BVEL计算得到的Na离子密度分布上Na+离子出现概率很大但是未在已发表的模型中报道的位置
d)带有Na5位的最终精修结构模型及BVEL计算得到的钠离子密度分布
Figure 2. 通过AIMD和MEM分析得到Na3Zr2Si2PO12单斜相和三方相中的Na+离子传输通道

ab)单斜相的晶胞和2a×1b×2c的超胞
cd)通过AIMD模拟,在1400 K下Na3Zr2Si2PO12三方相的Na+离子概率密度等值面;所有途径都遵循Na2-Na3-Na1-Na3-Na2轨迹,并且没有观察到Na2-Na2扩散
e)两种可能的局部途径:途径I:Na2-Na3-Na1-Na3-Na2和途径II:Na2-Na3-Na3-Na2
f)基于对通过Na1原子和四个最近的Na2相邻位点的平面中1073 K采集的NPD数据的MEM分析得出的核密度分布
g)在Na1位点附近的相同数据的特写视图,结果与前人结果类似
Figure 3.来自AIMD快照和van Hove相关函数的多离子协同输运的证据

a-d)在AIMD模拟期间,在1400 K下10ps和13ps之间的Na+离子相关跳跃事件的图示
e-f)在1400 K下通过AIMD模拟得出的单斜Na3Zr2Si2PO12的van Hove相关函数的Gs和Gd图
Figure 4. Na3Zr2Si2PO12单斜相中,CI-NEB的单离子迁移的能垒和多离子协同输运机制的能垒比较

a-c)单个Na离子沿[101]方向及沿bc平面中的路径1和bc平面中的路径2直接输运的能垒
d-f)多个Na离子沿[101]方向及沿bc平面中的路径1和bc平面中的路径2协同输运的能垒
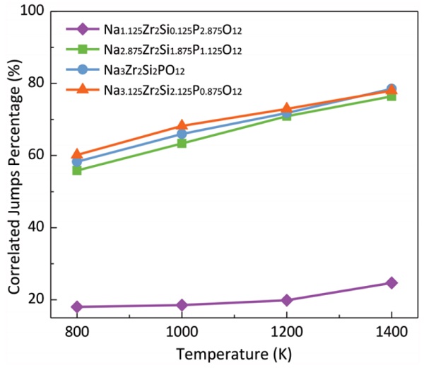
Figure 5. AIMD统计得到的协同跳跃的百分比

Figure 6.掺镁的NaSICON的XRD图,晶格参数,阻抗谱和离子电导率

a)标称Na3+2xZr2-xMgxSi2PO12的XRD图谱(x = 0, 0.05, 0.10, 0.15, 0.20,0.25,0.30)
b)精确的标称Na3+2xZr2-xMgxSi2PO12的晶格参数(x = 0,0.05,0.10,0.15,0.20,0.25,0.30)
c)在25°C下标称Na3+2xZr2-xMgxSi2PO12(x = 0.05、0.10、0.15、0.20、0.25、0.30)的阻抗谱
d)标称Na3+2xZr2-xMgxSi2PO12(x = 0、0.05、0.10、0.15、0.20、0.25、0.30)的体相、总离子电导率和相对密度
Figure 7.掺Ge的NaSICON的XRD图,晶格参数,阻抗谱和离子电导率

a)Na3Zr2Si2-zGezPO12的XRD图谱(z = 0.05,0.10,0.15,0.20)
b)Na3Zr2Si2-zGezPO12的晶格参数(z = 0,0.05,0.10,0.15,0.20)
c)在25°C时Na3Zr2Si2-zGezPO12(z = 0.05,0.10,0.15,0.20)的阻抗谱
d)在Na3Zr2Si2-zGezPO12中,体相离子电导率、总电导率与相对密度和z之间的关系(z = 0、0.05、0.10、0.15、0.20)
Figure 8.晶胞体积,体相电导率和Na+离子浓度之间的关系

a)晶胞体积和Na+离子浓度的关系
b)体相电导率和Na+离子浓度的关系
【总结】
在这项工作中,作者阐明了导致NaSICON材料中高Na+离子电导率的几个因素。结合NPD,MEM,BVEL和DFT计算,确定了单斜Na3Zr2Si2PO12中另一个以前未报道的高能位点(Na5位置)。 Na5位置构成主要传输途径,为离子的传输提供了交换位置。此外,在单斜NaSICON结构中发现了Na+离子的各向异性扩散:与沿[101]方向相比,Na+离子倾向于以低得多的势垒在bc平面中迁移。另一方面NaSICON结构三方相清楚地展示了一个连续的3D迁移网络。在AIMD模拟的Na概率密度和基于高温NPD数据使用最大熵方法构建的核密度分布图中,均观察到Na2-Na3-Na1-Na3-Na2和Na2-Na3-Na3-Na2途径,而不存在直接的Na2-Na2传输路径。更为重要的是,作者发展了一种多面体方法,可以统计分子动力学模拟过程中离子迁移事件,发现Na离子主要通过协同扩散来传导,且提高Na离子的浓度能显著增加协同扩散的比例,从而提高体相离子电导率。通过阻抗分析各种NaSICON组成的离子扩散验证了这一点。这是因为Na离子浓度的提高会增强可移动阳离子之间的库伦相互作用,从而提高促进协同扩散。Rietveld精修表明,增加的Na离子主要占据在高能位置,这首次从实验上证实了将可移动离子推入高能位,能够降低其迁移势垒。这些发现为其他快离子导体的设计提供了全新的思路。
文献链接:Correlated Migration Invokes Higher Na+-Ion Conductivity in NaSICON-Type Solid Electrolytes. Adv. Ener. Mater., 2019, DOI: 10.1002/aenm.201902373
本文由材料人学术组tt供稿,材料牛整理编辑。
材料牛网专注于跟踪材料领域HTH官网地址 及行业进展,这里汇集了各大高校硕博生、一线科研人员以及行业从业者,如果您对于跟踪材料领域HTH官网地址 进展,解读高水平文章或是评述行业有兴趣,点我加入编辑部大家庭。
欢迎大家到材料人宣传HTH官网地址 成果并对文献进行深入解读,投稿邮箱tougao@cailiaoren.com。
投稿以及内容合作可加编辑微信:cailiaokefu,我们会邀请各位老师加入专家群。





