【引言】
二维晶体是指具有原子厚度和纳米或亚微米横向尺寸的新型纳米材料。2004年,A. K. Geim和K. S. Novoselov成功地将层状石墨剥离成单片层石墨,这标志着第一种二维晶体(石墨烯)问世,2D 晶体世界的大门从此开启。
二维晶体的问世对材料研究具有极重要的意义。从理论研究上看,单层原子是物理学家研究物质结构性能的重要模型,而二维晶体的问世使得这种模型从理论走向现实,打破了二维晶体无法现实存在的传统理论,同时还使众多理论推导得以验证,因此,引起了物理学界的极大反响。从应用价值上看,这样的原子级厚度和二维结构使它们的性能优于对应的体材料。例如,二维石墨烯具有石墨所不具备的量子霍尔效应、优异的光学性能、高比表面积,同时还表现出超高室温载流子迁移率、高导热系数等优越性能。所以二维晶体的问世引起了光电子器件、能源材料、催化剂、生物材料等实用科学领域研究人员的广泛关注。但在实际应用过程中,由于二维晶体为肉眼不可分辨的纳米材料,难以直接构筑器件,往往需要将其组装成宏观材料。纤维是二维晶体基宏观材料绝佳的形态。一方面,比其它二维晶体基宏观材料更大的外表面积及更小的截面尺寸。使得物质能更容易进入的二维晶体基纤维内部,从而与内部的二维晶体发生相互作用,这一点对催化、吸附、电极等领域的应用性能有巨大影响。另一方面,二维晶体基纤维具有柔性和可编织性。这一点与二维晶体重要的潜在应用领域为电子器件的发展方向智能可穿戴高度匹配。因此二维晶体基纤维的制备与应用成为了二维晶体发展的一个重要方向。
【研究进展】
近日,深圳大学张晗和孔湉湉教授在Small上对二维晶体纤维的研究进展进行了系统的综述,文章题目“2D Crystal–Based Fibers: Status and Challenges”。 本文综述了二维晶体的分类、二维晶体及其分散液的制备方法、二维晶体基纤维的制备方法以及二维晶体基纤维的应用方向。并在全文最后总结了二维晶体光纤的现状、发展前景和未来的挑战。本综述为开发新的二维晶体光纤以及探索其在智能穿戴设备领域的潜力提供了方向和指导。
【图文简介】
作者首先回顾了二维晶体的发展历史,叙述了二维晶体基纤维的概念和优点。然后,基于元素组成,对各种二维晶体进行了分类介绍。随后,系统地介绍了批量制备二维晶体及其分散液的方法、二维晶体分散液制备其对应纤维的方法以及二维晶体基纤维在智能可穿戴领域中的应用。最后,总结了二维晶体基纤维的研究现状、发展前景和未来的挑战。本文对“层状材料-二维晶体-二维晶体分散液-二维晶体基纤维-柔性器件”这一路线图进行了全流程的总结与梳理,为读者了解二维晶体基纤维的制备和应用提供了实用的帮助。
图1 二维晶体发展的主要时间节点

图2 已报道的单质烯所对应的元素组成

图3 石墨烯和石墨炔的结构。a)石墨烯;b)α-石墨炔;c)β-石墨炔;d)6,6,12-石墨炔

图4 黑磷和蓝磷的原子模型

图5 已报道的二维过渡金属二硫化物所对应的元素组成

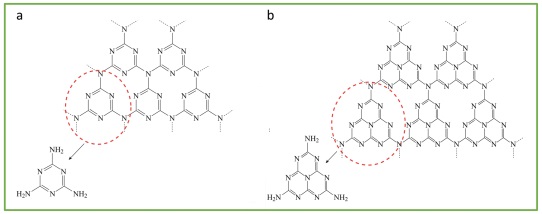
图6 a) g-c3n4的三嗪环结构, b) g-c3n4的3-s-三嗪环(七嗪环)结构

图7 通过不同剥离法制备二维晶体及其分散液的示意图

图8制备二维晶体纤维的不同纺丝方法示意图

图9 通过不同非纺丝法制备石墨烯纤维的原理示意图及实物图:(a)模板法、(b)薄膜成纤法、(c)挑丝法

图10 石墨烯纤维的应用于柔性纤维状染料敏化太阳能电池

图11 掺杂石墨烯纤维应用于轻量柔性导线连接

图12 石墨烯杂化纤维应用于纤维状柔性锂硫电池

图13 黑磷杂化纤维膜应用于柔性超级电容器

图14 石墨烯纤维引用于柔性纤维状应力传感器

图15 石墨烯纤维及织物应用于柔性电热纤维及电热面料

【总结与展望】
自从单层石墨烯的发现,二维晶体在过去10年中发生了爆炸性的发展。二维晶体种类以及二维晶体制备方法都大大扩充,取得到了实质性的进展。然而,这些二维晶体中仅有少量一些得到深入研究,并且他们实际应用还处于探索阶段。二维晶体的价值在很大程度上取决于它们在应用中的潜力。纤维是二维晶体应用的一种重要形式,二维晶体基纤维的研究仍处于起步阶段。目前除石墨烯纤维以外,其它二维晶体基纤维研究很少。目前制备二维晶体纤维主要面临两大挑战:
1)如何选择合适的二维晶体进行纺丝。虽然近年来涌现出大量的新型二维晶体,但对它们的大部分性质还没有被系统研究,如二维晶体在各种溶剂中的分散性,二维晶体及其分散液的稳定性、粘弹性、粘聚力和流变性,这些性能都直接影响到晶体能否进行纺丝。
2)如何确定二维晶体合适的纺丝参数。目前,用于指导纤维成型、判断纤维可纺性以及调节最佳纺丝参数的经典理论,都是基于以聚合物熔体或聚合物溶液为纺丝液的纺丝体系。在以二维晶体或其他纳米颗粒分散液为纺丝液的体系中,分散液中的分散质不会发生分子链的缠绕与解缠,其流变行为与聚合物流体有巨大差异。这使得化学纤维的纺丝理论不再适用于二维晶体等纳米颗粒的纤维成型。
要实现其它二维晶体基纤维的开发,应致力于以下方面:
1) 对现有的二维晶体特有性能进行更深入、系统的研究,绘制二维晶体的基因组,探索提高二维晶体结构在大气环境中稳定性的途径,实现宏观纤维制备所需的二维晶体及其分散液的规模化制备。
2) 建立适用于二维晶体分散液的纺丝理论体系,这有利于二维晶体分散液浓度、纺丝条件、凝固浴种类、凝固浴浓度等一系列参数的确定。
尽管对于许多二维晶体来说,其纤维的制备还有很长的路要走,但其发展前景十分广阔。二维晶体纤维在催化、吸附、传感、电子等领域具有巨大的潜力。在可穿戴的电子设备(如柔性太阳能电池、超级电容器、二次电池、光导体、加热器、制动器和可穿戴的传感器)已经得到了体现。更重要的是,一旦具有半导体特性的二维晶体基纤维及其纤维状晶体管得以成功制备,可为制备具有逻辑运算能力的柔性芯片铺平道路。柔性可穿戴的半导体芯片作为核心将引导当前智能可穿戴设备走向真正的智能化,这将彻底改变人类的生活方式。
文献链接:2D Crystal–Based Fibers: Status and Challenges, 2019, Small, DOI: 10.1002/smll.201902691.
团队介绍:
深圳大学黑磷光电工程技术实验室成立于2016年,主要从事二维材料光学特性与生物光学特性研究,2016年入选深圳市海外高层次人才孔雀团队(1500万无偿资助)。已累计发表SCI论文200余篇包括Advanced Materials 10篇(影响因子21.950)、Chemical Society Reviews 3篇(影响因子40.182)、PNAS、Nature Materials(影响因子39.235)、Physic Reports等,以第一作者或通讯作者发表SCI一区论文80篇,封面论文30篇,两篇论文入选中国百篇最具影响国际学术论文,PNAS论文入选2018年中国光学十大进展-应用研究类,40篇论文引用过百次,ESI高被引论文46篇。本团队在纳米光子领域取得了诸多国际一流成果,并与哈佛大学、瑞典卡罗林斯卡医学院、新加坡南洋理工大学、深圳市人民医院、韩国高丽大学、蔚山大学等国内外顶尖科研机构建立了合作,现有多学科背景的团队成员80余人。团队成员获得国家青年基金资助20项,面上项目4项,国家重点项目2项(含联合基金)、重大项目培育1项等。 已有10人被评为深圳市高层次人才孔雀B/C类,获得各项资助累计达5000万。本实验室已培养近十位优秀博士后,其毕业去向包括哈佛大学助理教授、广东省杰青、高校特聘教授、研究员等。本实验生物医药方向的专家包括曹义海教授,瑞典卡罗林斯卡医学院终身教授,欧洲科学院院士;国际知名的生物光子学与纳米光子学研究专家Paras N. Prasad。
本团队负责人张晗教授2010年毕业于南洋理工大学,2018年获得深圳市青年HTH官网地址 奖、中国产学研合作创新奖(个人)、教育部HTH官网地址 二等奖、全球高被引科学家、中国十大新锐HTH官网地址 人物卓越影响奖等,2019年广东省丁颖HTH官网地址 奖。其SCI总他引两万多次,H指数74。本团队负责人获得2012年国家基金委优青及中组部青年千人、2015年重点项目、2017年面上项目,2018年面上项目,2019年国际合作重点项目等资助。
团队在该领域工作汇总
据中国科学院HTH官网地址 战略咨询研究院最新公布的<<2017 研究前沿>>,深大团队一直从事并且引领的“基于二维材料可饱和吸收体的锁模光纤激光器”研究被列为物理学Top 10 热点,黑磷的特性及应用研究领域有35篇论文入选核心论文(张晗以第一作者或通讯作者入选9篇,共计13篇)。此外,黑磷的特性研究在《2015 研究前沿》报告中以新兴前沿出现,2016 年,进一步成为了热点前沿。今年,黑磷的特性研究再次入选热点前沿,且该前沿2016年单年的施引论文数达到881 篇,是十个热点前沿中最活跃的一个。本团队在锁模激光和黑磷研究上已取得诸多重要突破。
优质文献推荐:
Tao W, Kong N, Ji X, et al. Emerging two-dimensional monoelemental materials (Xenes) for biomedical applications[J]. Chemical Society Reviews, 2019 ,48, 2891-2912
Han Zhang* etc. Tactile Chemomechanical Transduction Based on an Elastic Microstructured Array to Enhance the Sensitivity of Portable Biosensors. Advanced Materials, 2019, 31, 1803883.
Han Zhang* etc. Ultrasensitive detection of miRNA with an antimonene-based surface plasmon resonance sensor, Nature communications, 2019,10, 28.
Han Zhang* etc.Biocompatible and biodegradable inorganic nanostructures for nanomedicine: Silicon and black phosphorus, Nano Today, 2019, 25, 135-155.
Guo, S., Zhang, Y., Ge, Y., Zhang, S., Zeng, H., Zhang, H., 2D V‐V Binary Materials: Status and Challenges. Adv. Mater. 2019, 1902352. https://doi.org/10.1002/adma.201902352
hth官网注册 :本实验室hth官网注册 优秀的博后,欢迎投递简历至2987114019@qq.com, 要求:材料、化学、生物等理工科博士,32岁以内,发表1-2篇高质量论文。国内博士年薪38万左右,国外满足学校排名前200名的博士,基本工资48万+30万广东省博后津贴+深圳市32万孔雀C类人才补贴 =110万





