【引言】
目前,锂硫电池(LSB)仍然存在循环稳定性和倍率性能较差等缺点,源于本身较低的电导率和高体积膨胀效应,阻碍了其商业化进程。另外,由于在充/放电过程中产生的可溶性长链多硫化锂从正极扩散到锂负极的穿梭效应,降低了库仑效率,导致活性材料的损失。研究人员已采用不同策略来解决上述问题并改善硫正极的电化学行为。例如,可采用多种碳质基底来支撑硫,如空心碳球(HCS)、中空纳米纤维或纳米管、氧化石墨烯片和3D分级多孔碳等。上述碳材料可改善正极的导电性且容易扩充容量,但由于多硫化物和非极性碳之间的吸引力弱,难以有效地消除穿梭效应。此外,还应用了金属氧化物、硫化物、氮化物和极性碳化物来改性碳质基质以加强多硫化锂的限制。尽管在LSB中已经探索了大量的极性金属化合物,但很少以金属硒化物作为硫的主体材料。
【成果简介】
近日,山东大学奚宝娟副教授(通讯作者)等通过简便的水热法合成了亲硫少层MoSe2纳米薄片修饰的rGO复合材料(MoSe2@rGO),首次作为LSB的新型硫主体材料,并在Adv. Energy Mater.上发表了题为“Sulfiphilic Few-Layered MoSe2 Nanoflakes Decorated rGO as a Highly Efficient Sulfur Host for Lithium-Sulfur Batteries”的研究论文。具体而言,MoSe2@rGO不仅与多硫化物强烈相互作用,而且还增强多硫化物氧化还原反应动力学,亲硫的MoSe2有效地缓解了极化问题。此外,MoSe2@rGO有利于Li2S的快速成核和均匀沉积,有助于高放电容量和良好的循环稳定性。0.1 C时初始容量为1608 mAh·g-1,0.25 C时每循环的衰减率为0.042 %,0.3 C、面积硫负载量为4.2 mg·cm-2时可逆容量为870 mAh·g-1。
【图文简介】
图1 MoSe2@rGO复合材料的形貌表征

A,B) 不同放大倍数的FESEM图像;
C,D) 不同放大倍数的TEM图像;
E) HRTEM图像;
F) HAADF-STEM图像;
G,H) HAADF-HRTEM图像;
I-L) STEM-EDX元素分布。
图2 MoSe2@rGO复合材料的结构表征

A) MoSe2@rGO和rGO的XRD图谱;
B) MoSe2@rGO和rGO的N2吸附等温线及相应孔径分布曲线;
C) MoSe2@rGO的拉曼光谱;
D) MoSe2@rGO的XPS全谱;
E) MoSe2@rGO的Mo 3d XPS光谱;
F) MoSe2@rGO的Se 3d XPS光谱。
图3 MoSe2@rGO/S的形貌和结构表征

A) MoSe2@rGO/S的FESEM图像;
B) MoSe2@rGO/S的EBS图像;
C) 155 ℃处理前后MoSe2@rGO/S的拉曼光谱;
D-H) MoSe2@rGO/S的STEM-EDX元素分布;
I) rGO/S的FESEM图像;
J) rGO/S的EBS图像;
K) MoSe2@rGO/S的TGA曲线。
图4 MoSe2@rGO电极的电化学性能

A,B) 扫速0.1 mV·s-1和0.3 mV·s-1时,MoSe2@rGO/S和rGO/S电极的峰值电压;
C,D) MoSe2@rGO/S电极的电流密度为0.5 C(1 C = 1675 mAh·g-1)时,不同电流密度下的倍率特性和循环性能,其中硫面载量为1.3-1.6 mg·cm-2;
E,F) MoSe2@rGO/S和rGO/S电极在不同扫速下的电压-容量曲线。
图5 MoSe2@rGO电极的循环性能

A) MoSe2@rGO/S和rGO/S电极在1 C下的循环性能;
B) MoSe2@rGO/S和rGO/S电极在1 C下的循环性能;
C) MoSe2@rGO/S电极在0.25 C电流密度下的循环性能。
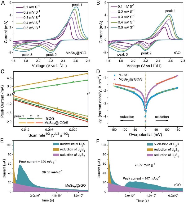
图6 MoSe2@rGO电极的电化学机理探究

A,B) MoSe2@rGO/S和rGO/S两种电极在0.1~0.5 mV·s-1扫速下的CV曲线;
C) Li+扩散的反应动力学;
D) 两种电极的Tafel图;
E,F) 在MoSe2@rGO和rGO表面上以2.05 V放电的Li2S8/四甘醇二甲醚溶液的计时电流法曲线。
【小结】
综上所述,作者使用亲硫少层MoSe2纳米薄片修饰rGO复合材料(MoSe2@rGO)作为LSB的硫主体材料。通过系统研究,作者详细揭示了MoSe2@rGO作为硫主体材料的优势。首先, MoSe2修饰的亲硫表面有助于硫和Li2S的均匀分散,从而降低接触电阻并加速锂离子在正极内的扩散。此外,MoSe2@rGO可与多硫化锂表面结合,以减少穿梭效应并增强LSB的循环稳定性。同时,MoSe2可以促进氧化还原反应动力学以及Li2S的成核过程。上述优势有助于提高以MoSe2@rGO/S作为正极的LSB电化学性能。因此,在0.3 C的电流下也测试了具有4.2 mg·cm-2的较高的面积硫负载的电池,并且在充-放电120次循环之后,放电容量仍然可以保持870 mAh·g-1。
文献链接:Sulfiphilic Few-Layered MoSe2 Nanoflakes Decorated rGO as a Highly Efficient Sulfur Host for Lithium-Sulfur Batteries (Adv. Energy Mater., 2019, DOI: 10.1002/aenm.201901896)
本文由abc940504【肖杰】编译整理。
投稿以及内容合作可加编辑微信:cailiaokefu,我们会邀请各位老师加入专家群。
欢迎大家到材料人宣传HTH官网地址 成果并对文献进行深入解读,投稿邮箱tougao@cailiaoren.com。





