当前位置: 材料牛 » 专栏 » 顶刊速递|超级电容器领域最新进展

顶刊速递|超级电容器领域最新进展

超级电容器作为一种储能器件,具备高功率密度,快速充放电,长寿命,安全等特点。然而,相比于电池,超级电容器较低的能量密度限制其商业应用。随着大量的研究,超级电容器的电极材料不断涌现出突破性的进展,且新型超级电容器引起广泛研究,如可修复超级电容器,可拉伸超级电容器,可穿戴超级电容器,混合超级电容器等。本文简单梳理了超电领域最新研究进展,望对大家有所帮助。

1, 基于双交联水凝胶电解质的可拉伸可愈合的超级电容器。

本文由同济大学陈涛课题组发表在顶刊Nature communications上。题目为:Ultrastretchable and superior healable supercapacitors based on a double cross-linked hydrogel electrolyte [1].

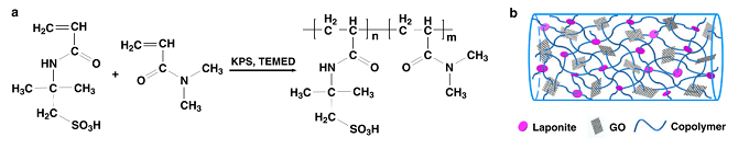
如图所示,本文报道一种由poly(AMPS-co-DMAAm),Laponite(锂蒙脱石型粘土)和GO(氧化石墨烯)组成的交联共聚物水凝胶作为超级电容器电解质,表现出高机械拉伸性,优异的离子导电性和可愈合性能。GO的存在赋予了水凝胶优异的机械和电子性能,使得制备的水凝胶具有高机械性能(拉伸度为1173%)和优异的离子导电性。在水凝胶断裂界面处,Laponite和GO中丰富的官能团(-COOH,-OH和Mg2+)能与聚合物基团(-CONH2)产生交联反应,保证其出色的愈合能力。由这种水凝胶电解质和褶皱结构的电极组装而成的超级电容器不仅具备1000%的超强机械拉伸性,在300%的应变拉伸2000次下仍能保持98%的电化学性能,且在红外光照射和加热的情况下保持重复的愈合能力。断裂/愈合的超电能够达到900%的超高拉伸性,性能仅出现轻微的衰减。

2,MoS2/氮掺杂碳复合材料用作超级电容器电极,具有超高赝电容。

本文由同济大学杨金虎课题组发表在顶刊Nature communications上。题目为:A polymer-direct-intercalation strategy for MoS2/carbon-derived heteroaerogels with ultrahigh pseudocapacitance [2]

本文报道一种聚合物嵌入方法合成三维MoS2/氮掺杂碳复合材料。如图所示,首先,PEI 和MoS2纳米片混合溶于水中。MoS2纳米片表面带负电,PEI带正电,由于二者静电吸引作用,PEI分子轻易地吸附于MoS2纳米片表面,并在超声作用下嵌入MoS2层中。由于PEI分子在MoS2纳米片之间的连接作用,混合物冷冻干燥后形成气凝胶状的三维MoS2/PEI复合物。最后,冷冻干燥后的混合物在800°C下 煅烧6小时,生成MoS2/氮掺杂碳复合材料。煅烧后,和纯MoS2纳米片相比,MoS2/氮掺杂碳材料显示出不同的层间距。经煅烧后的纯MoS2纳米片的层间距为0.62nm,而MoS2/氮掺杂碳复合材料的层间距为0.98nm。这个数值与石墨烯嵌入MoS2的层间距一致,说明石墨烯成功嵌入MoS2层中,这是由于嵌入MoS2层中的PEI原位碳化造成。这种电极材料的优势:1,三维材料结构有利于电子和离子的快速传输;2,由于MoS2层之间嵌入类石墨烯单层碳,使其暴露出更多活性位点,创造出新的离子/电子传输途径,使得单层MoS2具有电化学活性;3,纯MoS2导电性差,电子只能沿着(002)面传输,而MoS2/氮掺杂碳复合材料,电子通过Mo-N键(类金属键)传输比通过Mn-O(类共价键)传输效率高。因此,MoS2/氮掺杂碳材料表现出优异的电化学性能,即1 A g-1电流密度下质量比电容为4144 F g1,当电流密度增加到10 A g-1,质量比电容仍能达到2483 F g1

3,皱折垂直的CNT阵列用作高度可拉伸超级电容器电极。

本文由密歇根州立大学Changyong Cao教授和杜克大学Jeffrey T. Glass教授课题组合作发表在顶刊Advanced Energy Materials上。题目为:Highly Stretchable Supercapacitors via Crumpled Vertically Aligned Carbon Nanotube Forests[3].

可拉伸的电子设备在承受较大形变的情况下仍能保持正常功能,广泛应用于可穿戴器件,生物医学器件等领域。超级电容器作为储能器件,具有高充放电速率,高功率密度,高寿命等特点被广泛研究。然而,目前研究出的可拉伸超级电容器只能实现在一个方向拉伸;且当意外拉伸大于设备的预定拉伸性时,设备很容易被损坏。因此,制备可多方向拉伸且能保持性能的超级电容器尤其重要。本文作者报道了一种新型高拉伸度,高可靠性的超级电容器,电极材料是由基于弹性体基板上皱折垂直的CNT阵列组成。这种CNT阵列电极在单轴300%或双轴300%×300%应变情况下仍能显示出优异的电化学性能。由两片CNT阵列电极组成的超电能够承受800%的拉伸,具有5mF cm-2的比电容。这种CNT阵列可伸缩超电电极的优势可归纳为:1,CNT结构稳定,煅烧后很容易转移到硅基底;2,相比传统的平面薄膜,垂直的CNT阵列具有较高的比表面积;3,当意外拉伸大于材料制备过程中的预定拉伸性时,CNT阵列电极仍能保持高导电性。

制备过程如图所示:

1:通过等离子体增强化学气相沉积法(PECVD)在硅基底长出CNT阵列。

2:经过煅烧,CNT阵列很容易被转移到已双向拉伸的弹性体基底上。

3:最后,将预拉伸的弹性体沿一个方向或两个正交方向松弛,形成单轴或双轴皱折的CNT阵列电极。

 

SEM图:(b)生长在硅基底上的CNT阵列;(c)皱折CNT阵列位于沿一个方向松弛的弹性基地;(d)皱折CNT阵列位于沿两个正交方向松弛的弹性基地。

在双轴形变下皱折CNT阵列电极电化学性能:

(a)不同扫速下的CV图;(b)不同电流密度下的充放电图;(c)电极在0%×0%,150%×150%和300%×300%的双轴应变下的CV图,扫速为100mV s-1;(d)电极在0%×0%,150%×150%和300%×300%的双轴应变下的充放电图,电流密度为0.5mA cm-2; (e)不同双轴应变下电极的Nyquist阻抗图; (f)不同双轴应变下电极在不同电流密度下的面积比电容。

4,球磨法增加石墨烯双电层电容。

本文由北京化工大学宋怀河课题组发表在Advanced Functional Materials上。题目为:Boosting the Electrical Double‐Layer Capacitance of Graphene by Self‐Doped Defects through Ball‐Milling [4].

缺陷工程能够调节金属氧化物的电子和晶体结构,提高材料的电化学性能。多孔碳材料也能通过不同方法富含缺陷,例如官能团修饰,杂原子掺杂,或通过“自掺杂”,如空洞,单/多空位,Stone–Wales缺陷,裂缝,位错,边缘位,晶界等。一般来讲,官能团或杂原子引起的缺陷能带来额外的赝电容,而一些自掺杂引起的缺陷却降低碳材料的导电性,从而降低电容值和倍率性能。本文通过缺陷工程来提高碳材料的电容值。以expanded石墨烯 (EG)为原材料,采用简单的球磨法,制备富含缺陷的石墨烯块(defect-enriched graphene block, DGB),表现出优异的质量比电容(235 F g1),体积比电容(215 F cm-3)和面积比电容(3.95 F cm2)在1 A g1电流密度下。这种自掺杂缺陷作为活性位点用于离子存储,贡献双电层电容,从而提供高面积比电容。制备过程(左)和电化学性能(右)如下图所示。

  

5, 使用杂原子掺杂和造孔工程提高超电碳材料电极的电化学性能。

本文由加州大学李轶教授和重庆大学张云怀教授课题组发表在Advanced Energy Materials上。题目为:Pore and Heteroatom Engineered Carbon Foams for Supercapacitors [5].

碳材料,如活性碳,石墨烯,碳纳米管,碳纤维等,作为超电电极材料具有高导电性,高比表面积和不同的形貌等特点。但是,碳材料的质量比电容通常小于100 F g1。在碳材料中掺杂N, O, S等杂原子能有效增加活性位点,提高表面润湿度,贡献赝电容,有利于电子传输,从而提升碳材料电化学性能。此外,造孔工程(pore engineering)也是提高碳材料电化学性能另一重要途径。多级孔结构(micro/meso/macropores)能够提高材料比表面积,有利于电子和离子的传输。本文结合以上两种方法制备新型的N, O, S掺杂的多孔碳材料,应用于超电电极,表现出优异的电化学性能,即在1 A g-1电流密度下质量比电容为402.5 F g1,当电流密度增加到100 A g-1,质量比电容仍能达到308.5 F g1。制备过程如下图所示。

氧化石墨烯(GO), F127,1,3,5-三甲基苯(TMB),多巴胺(DA),半胱氨酸混合形成油/水乳液系统。加入聚合引发剂后,多巴胺分子自聚合成聚多巴胺(PDA)并涂覆在球形胶束的表面。PDA壳和胶束核通过非共价自组装和共价键偶联在一起。在剪切力的作用下,PDA吸附的单分散球形胶束进一步在GO表面组装成垂直的介孔通道阵列。经过冷冻干燥,煅烧,KOH活化,N, O, S掺杂的多孔碳材料制备完毕。KOH的活化有利于增加碳材料微孔数量,提高比表面积和双电层电容。

6,碳点/多孔碳复合材料用于高性能混合超级电容器的负极材料。

本文由复旦大学熊焕明、王永刚课题组发表在顶刊Advanced Materials上。题目为:Robust Negative Electrode Materials Derived from Carbon Dots and Porous Hydrogels for High-Performance Hybrid Supercapacitors [6].

提升超级电容器的能量密度对于商业应用尤为重要,一般通过改善碳材料的孔结构或负载赝电容材料提高电极材料的能量密度。本文报道一种在电极材料表面构建富电子区域的方法提高能量密度。富电子区域能够尽可能多地吸附阳离子,加速电子转移,显著提升电极材料电容值。作者使用聚丙烯酰胺(PAM)水凝胶作为主体,小于10nm的碳点作为客体,合成一种新型的碳点/多孔碳复合材料。由于碳点富含磷酸盐/氮基团,能够调节材料电子结构,形成富电子区域。除此之外,这种碳材料具有大表面积和丰富的多孔结构,有利于离子和电子的传输。因此,如下图所示,此材料用作超电电极表现出优异的电化学性能,在碱性,酸性和中性电解质中,质量比电容分别为468,510,438 F g-1;与Ni(OH)2/CNTs组合成混合超级电容器时,能量密度为90 Wh kg-1

基于对最近超电文献的分析,用于最近对用于可修复超级电容器,可拉伸超级电容器,可穿戴超级电容器,混合超级电容器的电极材料或新型电解质的研究层出不穷。对于碳材料而言,提高其电容值的方法有调控孔结构和比表面积,杂原子掺杂,提高润湿度等;对于赝电容材料,提高其电容值的方法有将其与导电性大的碳材料结合或者改变其本身特性。总之,如何保持高功率密度的情况下提升能量密度仍然是超级电容器电极材料的研究热点。

参考文献:

[1] H. Li, T. Lv, H. Sun, G. Qian, N. Li, Y. Yao, T. Chen, Ultrastretchable and superior healable supercapacitors based on a double cross-linked hydrogel electrolyte, Nat. Commun. 10 (2019) doi.org/10.1038/s41467-019-08320-z. doi:10.1038/s41467-019-08320-z.

[2] N. Feng, R. Meng, L. Zu, Y. Feng, C. Peng, J. Huang, G. Liu, B. Chen, J. Yang, A polymer-direct-intercalation strategy for MoS 2 /carbon-derived heteroaerogels with ultrahigh pseudocapacitance, Nat. Commun. 10 (2019) doi.org/10.1038/s41467-019-09384-7. doi:10.1038/s41467-019-09384-7.

[3] C. Cao, Y. Zhou, S. Ubnoske, J. Zang, Y. Cao, P. Henry, C.B. Parker, J.T. Glass, Highly Stretchable Supercapacitors via Crumpled Vertically Aligned Carbon Nanotube Forests, Adv. Energy Mater. 9 (2019) 1900618. doi:10.1002/aenm.201900618.

[4] Y. Dong, S. Zhang, X. Du, S. Hong, S. Zhao, Y. Chen, X. Chen, H. Song, Boosting the Electrical Double-Layer Capacitance of Graphene by Self-Doped Defects through Ball-Milling, Adv. Funct. Mater. 29 (2019) 1901127. doi:10.1002/adfm.201901127.

[5] H. Peng, B. Yao, X. Wei, T. Liu, T. Kou, P. Xiao, Y. Zhang, Y. Li, Pore and Heteroatom Engineered Carbon Foams for Supercapacitors, Adv. Energy Mater. 9 (2019) 1803665. doi:10.1002/aenm.201803665.

[6] J.S. Wei, C. Ding, P. Zhang, H. Ding, X.Q. Niu, Y.Y. Ma, C. Li, Y.G. Wang, H.M. Xiong, Robust Negative Electrode Materials Derived from Carbon Dots and Porous Hydrogels for High-Performance Hybrid Supercapacitors, Adv. Mater. 31 (2019) 1806197. doi:10.1002/adma.201806197.

本文由Nolan供稿。

欢迎大家到材料人宣传HTH官网地址 成果并对文献进行深入解读,投稿邮箱: tougao@cailiaoren.com.

投稿以及内容合作可加编辑微信:cailiaorenVIP.

未经允许不得转载:材料牛 » 顶刊速递|超级电容器领域最新进展

相关文章

Baidu
map