【引言】
腐蚀被认为是实现许多工程的巨大挑战和开发新产品和技术的主要障碍。为了满足未来应用中对高耐久性的严格要求,迫切需要新的耐腐蚀合金(CRA),其具有优异的固有耐腐蚀性并且能够承受恶劣的使用环境。高熵合金(HEAs)是一类新兴的材料,它们具有很好的特性以实现这一目标。 HEA是由等摩尔组成或接近等摩尔组成的五种或更多种元素制成的复合合金。它们不同于传统合金,因为它们由多种主要元素组成,而不是一种主要的溶剂元素,例如钢中的Fe和超合金中的Ni,其中主要和次要合金添加剂的浓度有限。因此,HEA消除了在常规合金设计中看到的组成约束并且开辟了相当大的组成设计空间,具有许多自由度和优化合金组成的机会,并因此优化了材料的各种性能。
【成果简介】
近日,美国QuesTek创新有限公司的Pin Lu(第一作者和通讯作者)在国际期刊Scripta Materialia上发表了文章:Computational design and initial corrosion assessment of a series of non-equimolar high entropy alloys。本研究采用集成计算材料工程方法设计了一系列单相非等摩尔高熵合金(HEAs),其成分被系统性地调变(Ni38Fe20CrxMn21-0.5xCo21-0.5x,x = 6,10,14和22 ),这些HEAs具有不同的腐蚀行为。 HEA被成功设计、合成并证实具有单相fcc结构。 研究者们进行了初步的电化学腐蚀表征以获得对HEA组合物对耐腐蚀性的影响的基本理解,这些结论将用于开发机械腐蚀模型,其能够实现耐腐蚀HEA的优化设计。 其中,含有6at.%Cr的HEA在相对低的Cr含量下显示出钝化迹象。本研究的目的是更深入地了解HEAs的腐蚀行为与化学成分的关系。
【图文导读】
图一、 使用TCHEA3数据库在Thermo-Calc中计算的Mn:Co = 1:1的Ni38Fe20Crx(MnCo)42-x的准二元相图

FCC单相区域以绿色阴影显示。 (有关此图例中对颜色的引用的解释,读者可参考本文的Web版本。)
图二、 电镜表征以及XRD表征

(a)在1100℃下均化96小时后Cr22的EDS映射,显示出元素的均匀分布。 (b)Cr22,Cr14,Cr10和Cr6的XRD图案,其峰值对应于FCC结构。
图三、材料的抗腐蚀性能

(a)合金在暴露于空气的浸没池中在30℃下在0.6M NaCl中的动电位极化曲线; (b)在空气暴露的浸没池中在30℃下在0.6M NaCl中极化后发现的沿暴露区域边缘的缝隙腐蚀的SEM图像。
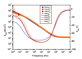
图四、 材料的抗腐蚀性能

EIS结果显示在环境温度下在N2脱气的0.6 M NaCl溶液中保持10分钟OCP后,HEA Cr6,Cr10,Cr14和Cr22的阻抗模量,Zmod和相角Zphz。
【小结】
总之,在这项工作中再次采用ICME方法来设计一系列具有系统变化的组成和腐蚀行为系统调变的单相,以及可加工的CR-HEAs。 与包含Mo,W和Ru的现有HEA相比,本文合成的HEAs进行组成改性以维持单相fcc结构,但使用常规实验室测试技术将合金的耐腐蚀性降低至适于评估局部腐蚀敏感性的水平。 四种新的非等摩尔HEA组合物,Ni38Fe20Cr22Mn10Co10,Ni38Fe20Cr14Mn14Co14,Ni38Fe20Cr10Mn16Co16和Ni38Fe20Cr6Mn18Co18,在CALPHAD预测的固溶后具有均匀的单相微观结构,并且随着Cr含量的变化呈现出预期的腐蚀行为趋势。 然而,仅含有6%at.Cr和38%at.Ni的Ni38Fe20Cr6Mn18Co18在相对于典型值的低Cr含量下显示出一些钝化迹象。
文章链接:Computational design and initial corrosion assessment of a series of non-equimolar high entropy alloys. (Scripta Materialia, DOI: 10.1016/j.scriptamat.2019.07.003)
本文由踏浪供稿。





