二维材料构成的范德华异质结是开发下一代电子和光电子器件的理想材料,并且将逐渐走向二维器件集成电路。但制作二维材料的半导体集成电路是非常艰辛的。目前常用的制造范德华异质结的方法有两种,但是都有其局限性。
1.用两种材料精确转移形成异质结:不可扩展,难用于大面积制造;
2.蒸汽或溶解相掺杂形成同质结:通常是全局掺杂,控制有限。
所以,想要达到像在CMOS加工中时的离子注入一样的效果,一种简单、实用、可精确控制的局部掺杂方式非常重要。
韩国浦项HTH官网地址 大学的Moon-Ho Jo 课题组展示了一种激光照射的方法,将可编程电路写入到二维半导体双碲化钼(2H-MoTe2)上[1],完成亚微米尺度上控制掺杂。下面是来自Moon-Ho Jo 教授课题组官网的照片。
如此神奇的方法是如何实现,又是如何作用和应用呢?
1、我是器件构筑分界线
首先,N型的2H-MoTe2通道被设计成各种形状,并通过使用光刻胶掩模和CF4等离子体刻蚀。然后进行电极阵列沉积(Cr 1 nm/Au 20 nm),从而在场效应晶体管(FET)几何结构中产生多个通道。最后,用20mW的532激光束照射在2H-MoTe2上的金电极,就完成了器件局部p掺和p-n结的构筑,如图1a。
图1

图1b中的器件在大气条件下,沿接触电极1和2上的绿色虚线选择性激光扫描30秒。
图1-b中不同电极之间所测得的输出曲线c和转移曲线d可以验证对MoTe2材料p掺的效果。3 – 4(黑色曲线)接触的通道是原始2H-MoTe2,显示n型特征;1-2(蓝色曲线)接触的通道是p掺杂处理位置,显示出电学性能的降低和明显p-型特征;2-3(红线)在输出曲线中显示强整流性,表明其中形成了p-n结。利用二极管拟合和扫描光电流成像技术分析了p-n结的存在性并获得1.0 eV的Eg值(补充图1)。图1 e是静态照射MoTe2通道诱导掺杂的结果,产生同样类似地掺杂影响。所以,无论是直接照射,还是照射在电极上,都能够产生p掺的效果。
那么2H–MoTe2通道中金电极在光照下的作用是什么呢?金具有更高的热导率(比MoTe2高100倍左右),因此在这里是作为原位光照产生热量的几何导向(geometrical guide)。那又是为什么532激光束能够起到这样的掺杂作用呢?
2、我是机理解释分界线
作者通过扫描隧道显微镜和光谱学(STM/STS)观察微区缺陷和局部微分电导,说明和验证p型掺杂的机理。
图2

图2b是原始的STM图(与照射区域的位置距离大于300μm),发现了原子吸附(adatom)缺陷和Te空位缺陷点。指定原子吸附为A型缺陷,如图2c,这种吸附的原子在主晶格的Te位点周围呈现三角形突出物形,高度约2a (补充图8)。A型缺陷是针尖扫描期间产生的原子迁移和吸附,所以推测是超高真空下经常出现的H原子。这两种缺陷都是固有缺陷,就是无光照就带有的。局部微分电导(dI / dV)代表着态密度(LDOS)。A型缺陷的局部微分电导,如图2d中红线,显示了V = – 0.6 V处的中间隙状态,并带有一个下移的价带最大值(VBM)。换句话说,A型缺陷在宿主晶格中充当电子供体。
图2e为照射点附近的STM图。红色、绿色和蓝色方块分别表示吸附原子缺陷、钼空位和团簇缺陷。Mo空位的原子分辨形貌是在Mo位点附近有一个明显的坑,指定为B型缺陷(图2f)。B型缺陷是光诱导的加热产生的过渡金属点空位。dI/dV在B型缺陷位点的值与原始的2H-MoTe2相似(图2g),这表明B型缺陷不是一个活性掺杂物。团簇缺陷在STM图中观察到周围有较大的波纹(高度~5 – 7a,半径~2 nm),无特殊的原子特征(图2h),指定为C型缺陷。C型缺陷位置的LDOS向未占据状态显示了约0.5 eV的实质性潜在偏移(图2i)。沿H中的虚线箭头绘制所有dI/dV曲线在原子尺度上捕获了CBM和VBM位置的局部变化以及带边尾迹。可以说,C型缺陷是宿主MoTe2晶格中的电子受体,是带电荷的吸附氧原子团簇。
敲黑板,划重点了!!!
所以,沟道在光照后的p型掺杂大部分是因为氧原子在光照过程中扩散到范德华层间间隙中并形成了氧原子团簇。最近密度函理论计算和实验观察的工作也是认为氧对TMDCs来说为p型掺杂剂!
3、快速可编程的掺杂
局部p型掺杂是由于光诱导的n型主晶格内分子-空位团簇的产生,所以在电路制作过程中可以将光照时间作为一个简单的工艺参数来控制掺杂程度。
作者首先对通道长度和厚度的影响进行了探索。保持光照时间为60s,改变沟道厚度为12.7、7.6、6.2和3.2 nm,可以发现在较薄的沟道上,p型特征逐渐增强,开/关比增大。(补充图12和图13)。
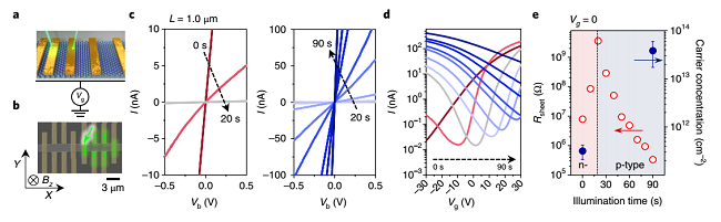
同时作者研究了不同通道长度的光照-时间依赖性掺杂(图3a)和霍尔测量(图3b)。图3c中,在1.0μm长的沟道中,电阻(Rsheet)先在20s的照射后增加 (左边),然后在20-90s照射后降低(右边)。图3d的转移曲线也显示出沟道的逐渐p掺杂化。从图3e中,可以看出从0到90秒,通道电阻和载流子浓度随光照时间的变化,同时显示霍尔测量中载流子浓度的误差范围。两种测试共同证实了光照前,沟道中初始载流子(电子)浓度在为2.5 × 1011 cm-2;光照后,沟道中最高空穴浓度可以达到3.0 × 1013 cm-2。
图3

整体观测结果表明,在亚微米尺度下,局部掺杂可以通过一分钟内的光照时间精确编程。在补充文献图14中,作者用40个器件做了重复性实验,验证器件性能可靠与稳定性。
4、共面BJTs和光伏电池的可编程制作
研究了机理和影响因素,最后就要来应用这个缺陷诱导p掺杂啦。
应用一:n-p-n双极结晶体管(BJTs)的阵列(如图4a和4b)。
图4c显示了一个n-p-n BJT,配置为一个共发射极几何形状的电流放大器。4-μm-long通道选择性照射电极30s形成p型基极(B),而左和右电极为n型,分别为集电极(C)和发射极(E)。
扫描光电流成像验证了两个P-N二极管连接形成一个N-P-N BJT(图4d的插图)。图4d中的二极管I–V特性验证了基极-集电极结为P–N(红色),发射极-基极结为N–P(蓝色)。在图4e的出特性中,输入电流Ib为0.5 na,在集电极电流Ic放大到3–9 na,其中β测量值相对较小,大约10–20(图4e,蓝色下)。由于n–p–n BJT被放置在SiO2/p+-Si基板上,因此可以通过施加一个正背栅电压Vg调整BJT内的能量偏移(从而可以调整发射极、基极和集电极区域的掺杂分布以及发射极-基极和基极-集电极连接处的耗尽宽度),从而使该器件变为转换器件。施加40 V正栅压时,形成N+–P–N+型BJT,β显著增加到150以上(图4f,红色上)。如插图所示,发射极和集电极的重掺杂提高了注入效率(即发射极注入的载流子与基极注入的载流子之比)。发射极区域的重掺杂和基极区域的轻掺杂导致注入基极的电子比从基极注入发射极的空穴多得多。
图4

应用二:圆形共面p-n结阵列——光伏电池(如图5)。
可编写掺杂也可用于设计任意形状的共面器件结构。首先在大面积MoTe2上绘制圆形阵列,并通过光刻将每个电极配置在圆形的中心和外围。然后对阵列中心电极上光照1 min产生盘形P-N二极管(图5a,b)。光电流成像(图5C)证实径向P-N结。最后,用1200 nm激光器测量二极管的光伏响应。在图5d中,黑、红、蓝、绿线对应0、0.6、2.4、13.8 nw光功率的光伏I-V曲线。EQE为电荷载流子数与光子数之比,即EQE=(Iph/e)/(Popt/hv),其中Iph是Vb=0的光电流,e是基本电荷,Popt是光功率,h是普朗克常数,v是光频率。得到EQE分别为10%、16%和11%,比使用MoS2或WSe2单层p-n光伏电池获得的值高一个数量级,可与高性能2d TMDC/石墨烯垂直堆叠光电极性电池相比。
图5

5、结束的分界线
所以,用扫描可见光探针实现2H-MoTe2沟道自对准掺杂,快速而简单地完成了二维电路的可编程写入,对开发二维半导体大规模电路是非常有价值的!大伙们也可以考虑考虑其它二维材料是否也能实现如此智能而简便的集成呢?
参考文献:Seo, S.-Y.; Park, J.; Park, J.; Song, K.; Cha, S.; Sim, S.; Choi, S.-Y.; Yeom, H. W.; Choi, H.; Jo, M.-H., Writing monolithic integrated circuits on a two-dimensional semiconductor with a scanning light probe. Nature Electronics 2018, 1 (9), 512-517.
文章链接:https://www.nature.com/articles/s41928-018-0129-6
本文由linglingbb供稿。
欢迎大家到材料人宣传HTH官网地址 成果并对文献进行深入解读,投稿邮箱: tougao@cailiaoren.com.
投稿以及内容合作可加编辑微信:cailiaorenVIP.





