【引言】
锂离子电池(LIBs)是目前最具吸引力的储能转换装置之一,尽管基于Ni,Mn,Co的经典层状氧化物正极材料(NMC,LiTMO2)具有> 280mA h g-1的理论比容量,但它们的实际容量与充电电压成正例。例如,将NMC的充电截止电位从4.28V增加到4.48V,可以使得电极的能量密度增加18%。然而,常规碳酸酯类电解液在高电压下的固有不稳定性使得电解液溶剂严重分解和电极界面层的连续生长,导致库仑效率降低,容量的快速衰减和大量气体产生。除溶剂分解外,电解液中残留的H2O与LiPF6反应生成HF和POF3等具有腐蚀性的路易斯酸,这些副反应产物引发一系列的电解液和过渡金属氧化物正极的自催化分解反应,导致过渡金属溶解和正极电解质界面(CEI)的重整,当电池在高温下运行时,这些问题更明显。表面改性是维持良好电极/电解质界面的有效方法,已经证明,直接施加功能性电解液添加剂以在电极表面上产生稳定的固体电解质界面(SEI)是改善电极材料的电化学性能的另一种有效方式。
【成果简介】
近日,厦门大学杨勇教授课题组首次报道了一种三炔丙基磷酸酯(TPP)作为新型多功能添加剂应用于4.5V石墨│LiNi0.5Mn0.3Co0.2O2软包电池,该添加剂可以显著改善55℃高温下的电池循环稳定性。作者通过电化学测试、物理表征和理论计算相结合深入分析了TPP添加剂在全电池中的工作机理,文章同时还使用研究广泛的氟代碳酸乙烯酯(FEC)作为对比,以验证文章所提出的TPP对电池性能影响及作用机理。文章的研究发现不仅阐明了多功能添加剂改善循环稳定性和降低电极阻抗的原因,而且还为未来的高压电池电解液添加剂的设计提供了指导。相关研究成果以“Toward a durable solid electrolyte film on the electrodes for Li-ion Batteries with high performance”为题发表在国际知名期刊Nano Energy上,文章第一作者为厦门大学博士研究生赵卫民。
【图文导读】
图一含添加剂电解液性能的表征

(a)溶剂和电解液添加剂的计算HOMO/LUMO能量图;
(b)基准电解液、含1.0%FEC的电解液和含1.0%TPP电解液的LSV曲线比较;
(c)含不同电解液Li│LiNi0.5Mn0.3Co0.2O2扣式电池在4.6V下计时电流响应;
(d)基准电解液,含1.0wt%FEC电解液和含1.0wt%TPP的电解液Li│graphite扣式电池的CV曲线比较。
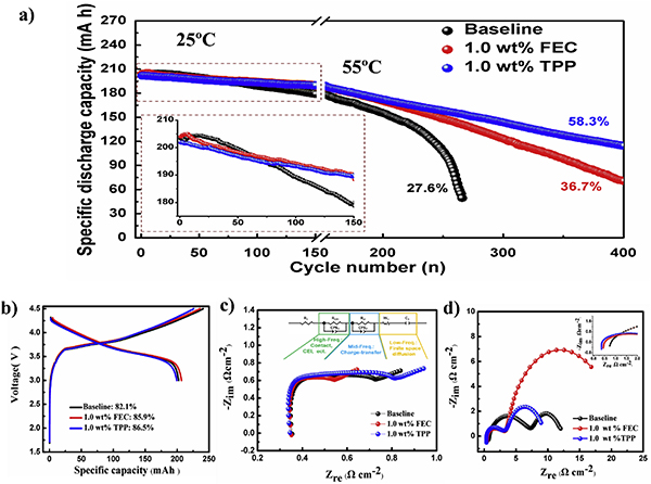
图二全电池电化学性能比较

(a)石墨│NMC532软包电池在各种电解液中的循环稳定性比较。
(b)C/10(1C = 200mA)下全电池的首圈充放电曲线;
(c)电池化成后的电化学阻抗谱,插图是等效电路;
(d)电池经25℃以及55℃循环后软包电池的电化学阻抗谱。
图三软包电池在基准275次/含TPP400次循环后NMC532的形貌表征

(a-f)形貌表征;
(g)在不同电解液中循环的NMC532正极的XPS表征;
(h)在25℃和55℃循环后,处于脱锂状态的NMC532阴极的XRD图谱。
图四软包电池在基准275次/含TPP400次循环后石墨的形貌表征

(a-c)基于无添加电解液的石墨负极形貌表征。
(d-f)基于TPP添加剂电解液的石墨负极形貌表征。
(g)在高温下循环后负极的XPS表征;
(h)循环后电池中电解液组分EC,EMC,DEC和DMC的相应含量
图五电化学氧化-还原聚合形成电极钝化层的机制的示意图。

图六TPP添加剂在石墨│NMC532全电池正极和负极上的作用机理。

【结论】
总之,TPP作为一种新型多功能添加剂用于4.5V石墨│LiNi0.5Mn0.3Co0.2O2软包全电池,它显著提高了电池在55ºC下的循环寿命。结果表明,TPP在首次充电过程中可被氧化/还原,同时在两个电极上形成初始保护界面膜。XPS结果显示在正极/负极形成的界面膜可以有效抑制过渡金属溶解和电解液分解。同时FIB-SEM结果表明NMC532电极在含有TPP的电解液中循环后的SEM图像不存在明显的裂痕,而在基准电解液中出现了大量内部微观裂痕。此外,循环后NMC532的XRD图谱表明TPP有利于保持材料的高活性。GC-MS证明了TPP在减轻电解液分解方面的作用。这项工作不仅可以广泛解释用于高压全电池的其他添加剂的作用,而且还为未来的更高能量密度的电池设计提供了指导。
文献链接:“Toward a durable solid electrolyte film on the electrodes for Li-ion Batteries with high performance”(Nano Energy.2019. DOI: 10.1016/j.nanoen.2019.06.011)
【杨勇教授介绍】
杨 勇博士,现任厦门大学闽江计划特聘教授, 主要研究方向为能源电化学、材料物理化学及表面物理化学。杨勇教授曾荣获中国化学会电化学贡献奖(2017),国际电池材料协会( IBA)技术成就奖(2014),他亦是国家杰出青年科学基金获得者(1999),人事部“新世纪百千万人才工程“国家级人选(2004),并荣获国务院政府特殊津贴(2006), 现担任国际知名电池杂志J. Power Sources (IF=7.19)主编,同时担任国际电池材料学会(IBA)理事会理事,国际锂电池会议(IMLB)执委会委员与特种化学电源国家重点实验室学术委员会委员等多个学术兼职。杨勇教授研究团队近年来在发展功能电解液(含添加剂)调控电极的界面性能及其作用机制等方面开展了深入系统的研究,包括多种新型腈类和氟代溶剂及锂盐类添加剂;在发展新型锂离子电池正极材料的合成工艺、表面修饰、电化学性能及其结构演变进行深入系统研究,同时建立并运用多种原位电化学谱学技术(如电化学微分质谱、电化学同步辐射联用技术和固体核磁共振谱)对相关电极过程开展创新性研究。先后承担包括国家973、国防973、重点研发专项及其基金委重点项目在内的科研项目40余项,同时也与国内外知名企业合作开展技术研发。主编出版”固态电化学”专著1本(2017,化学工业出版社),该书获中国化工协会2018年图书奖一等奖。已在国内外学术期刊上正式发表论文300余篇,申报中国发明专利等40余项,其中已获授权30项。近5年应邀在国内外学术会议上作大会与邀请报告40余次。培养毕业博士后/博士/硕士80余人。现在学博士后/博士/硕士研究生30余人。
杨勇教授课题组的链接为:https://yanggroup.xmu.edu.cn/
本文由材料人微观世界编译供稿,材料牛整理编辑。
欢迎大家到材料人宣传HTH官网地址 成果并对文献进行深入解读,投稿邮箱tougao@cailiaoren.com。
材料人投稿以及内容合作可加编辑微信:cailiaokefu。





