【引言】
锂离子电池已经成为了最普遍使用的储能装置。为了追求更极致的性能,采用金属锂负极已成大势所趋,然而金属锂的沉积和剥离期间形成的Li枝晶会刺穿隔膜,导致电池短路,这进一步使电池的安全问题复杂化。为了解决上述安全问题,固态电解质(SSE)作为当前LIB中易燃液体电解液的替代品而备受关注。迄今为止,已经进行了大量关于不同类型SSE材料的研究。这些SSE可归纳为三类:无机(陶瓷/玻璃)固态电解质,固态聚合物电解质(SPE)及其混合物。其中,SPE其柔韧性高,重量轻,成本低和易放大等特性而被广泛研究。SPE主要由固体聚合物和Li盐的均匀混合物组成。在研究最多的聚环氧乙烷(PEO)体系中,向PEO链中添加增塑剂或接枝功能性分支可以提高SPE的离子电导率和杨氏模量。即便如此,PEO本身仍易燃,与液体电解质相比,它的离子电导率也很一般。将有机和无机固体电解质相结合成复合固态电解质似乎是一种有前景的策略,因为它在不牺牲聚合物电解质的柔韧性的情况下改善了其离子导电性。
【成果简介】
近日,斯坦福大学崔屹教授(通讯作者)提出了一种用于全固态锂电池的超薄,高性能聚合物-聚合物复合固态电解质的设计策略,由8.6μm厚的纳米多孔聚酰亚胺(PI)膜通过填充PEO/LTFSI制成。PI膜是不可燃的且机械强度高,高杨氏模量主体可以防止锂枝晶的渗透,即使在超过1,000小时的循环之后电池仍未短路,垂直排列的纳米通道增强了PEO/LTFSI的离子电导率(在30°C时为2.3×10-4 S cm-1)。采用PI/PEO/LiTFSI固态电解质制造的全固态锂离子电池在60°C时具有良好的循环性能,可承受弯曲,切割和钉子穿透等滥用测试。相关研究成果“Ultrathin, flexible, solid polymer composite electrolyte enabled with aligned nanoporous host for lithium batteries”为题发表在Nature Nanotechnology上。
【图文导读】
图一聚合物-聚合物复合固态电解质的设计
(a)聚合-聚合物复合材料SSE的设计原理。
(b)超薄纳米多孔PI膜(底部)的横截面SEM图像,其具有对齐的纳米孔(顶部)的放大图像。
(c)多孔PI膜的数码照片。
(d)电池的能量密度图,其中考虑了不同的电解质,电池外壳,隔膜和液体/固体电解质的重量。
图二对齐通道中的PEO/LiTFSI表征

(a,b)PEO/LiTFSI渗透到多孔PI膜之前(a)和之后(b)的SEM图像。
(c,d)在多孔PI膜中PEO/LiTFSI渗透之前(c)和之后(d)的SEM图像。
(e)在PI/PEO/LiTFSI SPE中的PEO/LiTFSI和薄膜PEO/LiTFSI的Arrhenius离子电导率(σ)图。
(f)PI/PEO LiTFSI SPE不同温度下的电化学阻抗谱图。
(g,h)PEO/LiTFSI薄膜(g)和PEO/LiTFSI渗入具有200nm直径孔的阳极氧化铝模板中的二维广角X射线衍射图。蓝色和绿色箭头表示PEO微晶的不同晶面。
(i,j)随机系统(i)和z-对齐PEO系统(j)中Li +传输的模拟模型。
(k)MSD与随机和对齐的PEO系统中Li传输的扩散时间(τ)的对数关系。
图三PI/PEO/LiTFSI的机械和阻燃性能

(a)在60°C下用PEO/LiTFSI薄膜电解质和PI/PEO/LiTFSI SPE电解质对称Li-Li电池的电压时间曲线
(b)多孔PI膜与PEO/LiTFSI膜的应力-应变曲线。
(c,d)SEM图像显示在具有液体电解质和PI/PEO/LiTFSI固态电解质的Cu上的Li沉积形态。
(e)在常规PP/PE/ PP隔膜,PEO / LiTFSI膜和PI膜上进行火焰测试的光学照片
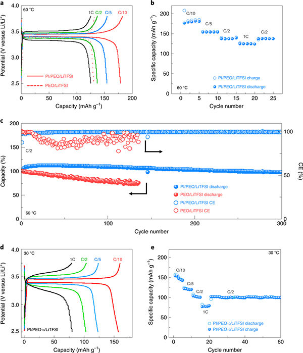
图四采用PI/PEO/LiTFSI固态电解质电池的全电池性能

(a)Li/PI/PEO/LiTFSI/LFP电池在不同充电倍率率下的电压-容量曲线,在60℃下循环。
(b)Li/PI/PEO/LiTFSI/LFP电池的倍率性能
(c)Li/PI/PEO/LiTFSI/LFP和Li/PEO/LiTFSI/LFP电池在0.5C下的长循环性能。(d,e)30℃下循环的Li/PI/PEO/LiTFSI/LFP电池在在不同充电倍率下的充放电曲线(d)和循环性能(e)
图五PI/PEO/LiTFSI的滥用测试

(a)通过折叠,扭曲和展开2 cm2 的PI/PEO/LiTFSI SSE的光学照片。
(b)基于滥用的SSE的LFP纽扣电池点亮LED的光学照片。
(c)柔性Li/PI/PEO/LiTFSI/LFP软包电池照明LED灯泡。
(d)Li/PI/PEO/LiTFSI/LFP软包电池在钉子测试后点亮LED灯泡。
(e)Li/PI/PEO/LiTFSI/LFP软包电池在切割后点亮LED灯泡。
【小结】
总之,本文展示了一种高性能聚合物-聚合物复合SSE,其具有超薄,良好的柔韧性和机械强度特性,不易燃和多孔的PI膜作为主体,PEO/LiTFSI作为离子导电填料。与常规的PEO/Li盐基SPE相比,混合电解质具有高五个数量级的杨氏模量和更高的离子电导率。因此,在相同的电流密度下,混合PI/ PEO固体电解质在Li/SPE/Li电池中表现出优于普通PEO的循环稳定性。此外,在LFP/SPE/Li全电池中,PI/PEO/LiTFSI SPE的倍率性能和循环稳定性也优于PEO/LiTFSI。 LFP/PI/PEO/LiTFSI/Li全固态软包细胞也表现出对诸如弯曲,扭曲,切割和穿孔等滥用的高耐受性。因此,所提出的聚合物 – 聚合物复合物SPE构造代表了制备安全,高能量密度,高性能和柔韧性的LIB的有希望的途径。
文献链接:“Ultrathin, flexible, solid polymer composite electrolyte enabled with aligned nanoporous host for lithium batteries”(Nature Nanotechnology.DOI: 10.1038/s41565-019-0465-3)
本文由微观世界编译供稿。
欢迎大家到材料人宣传HTH官网地址 成果并对文献进行深入解读,投稿邮箱tougao@cailiaoren.com。
材料人投稿以及内容合作可加编辑微信:cailiaorenvip





