当前位置: 材料牛 » HTH官网地址 » 导读 » 北理工冯霄特别研究员Angew. Chem. Int. Ed.:电聚合制备聚噻吩H2分离薄膜

北理工冯霄特别研究员Angew. Chem. Int. Ed.:电聚合制备聚噻吩H2分离薄膜

【引言】

氢能有望作为新型清洁能源解决日益严重的能源危机,目前工业上氢的分离、提纯消耗了极大能量,导致高纯度氢气成本难以下降。膜分离技术代替传统工业分离技术可大幅节约能耗,且具有设备简单等优点。为了满足纯度、生产效率和能耗的要求,选择性、渗透性和加工性是评价分离膜性能的关键因素。传统的聚合物膜由于成本低、稳定性高和容易加工而在市场上占主要地位,但它们不可避免地存在渗透性和选择性之间的博弈效应。分子筛、金属有机框架材料(MOFs)、共价有机框架材料(COFs)等晶态多孔材料通常被引入到聚合物中形成混合基质膜或者被沉积在多孔基底上用于提升气体分离性能,但是,相分离、难以大规模无缺陷制备薄膜等缺点极大地阻碍了多孔材料进一步工业应用。除此之外,自具微孔聚合物(PIMs)近年来取得了巨大进展,但它们面临着耐老化性差、易塑化、选择性较低等问题。

【成果简介】

北京理工大学的冯霄特别研究员(通讯作者)在Angew. Chem. Int. Ed.上报道了通过电聚合法制备柔性自支撑、分子筛分的聚噻吩薄膜。该团队通过改变单体活性聚合位点数目和烷基链长度合成了多种薄膜,并研究了它们的气体分离性能,对H2/CO2、H2/N2 和H2/CH4的分离性能均突破了聚合物的Robeson上限。良好的化学稳定性、热稳定性及长期稳定性表明它们具有一定的工业化应用潜力。这种制备简便、拓展性及可控性强的策略给设计其它高性能聚合物气体分离膜提供了新思路。

【图文导读】

Scheme 1. a) 刚柔并济(SAR)的策略;b) 电聚合法制备薄膜的示意图

Scheme 2. 电聚合反应

Figure 1. a) 自支撑共聚薄膜照片;b) 共聚膜的单组分气体渗透率;c-e)共聚膜和已报道聚合物膜分离性能对比。

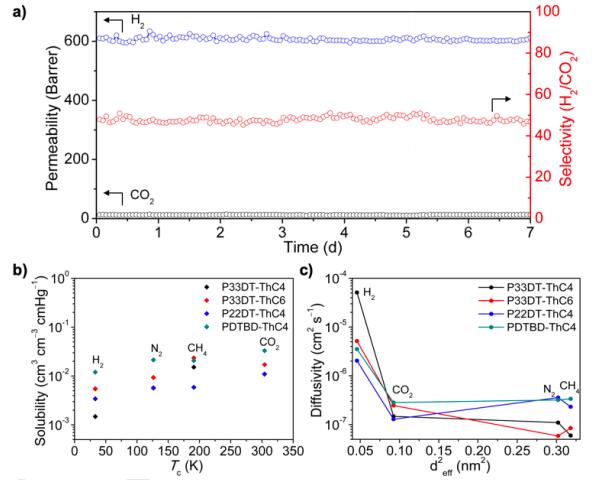
Figure 2.a) P33DT-ThC4的长循环稳定性;b) 不同薄膜的气体溶解度;c) 不同薄膜的气体扩散系数

【小结】

研究团队在聚噻吩基刚性多孔骨架中引入烷基链,首次通过操作简便的电聚合法制备了均匀、自支撑的气体分子筛分膜。它们具有优异的氢气分离性能,并很好地平衡了加工性、渗透性和选择性。这项成果有望为高性能气体分离膜提供新的制备方法。

导师介绍:

冯霄,于2008和2013年于北京理工大学材料学院取得本科与博士学位,在攻读博士期间以联合培养博士研究生身份留学于日本国家自然科学研究机构—分子科学研究所。2013年7月就职于北京理工大学化学学院(现化学与化工学院)。主要从事关于共价有机框架材料等以共价有机框架为代表的晶态多孔材料构效关系研究以及膜分离相关研究。以第一或通讯作者发表包括5篇J. Am. Chem. Soc.、6篇Angew. Chem. Int. Ed.、2篇Adv. Mater.等29篇文章。

文献链接:Electropolymerization of molecular‐sieving polythiophene membranes for H2 separation

(Angew. Chem. Int. Ed., 2019, DOI: 10.1002/anie.201904385)

本文由kv1004供稿。

未经允许不得转载:材料牛 » 北理工冯霄特别研究员Angew. Chem. Int. Ed.:电聚合制备聚噻吩H2分离薄膜

相关文章

Baidu
map