【研究背景】
随着能源危机的日益严重,开发高效,环境友好,节能的电池材料迫在眉睫。染料敏化太阳能电池(英文简写为DSCs)是由Grätzel和O’Regan发展的第三代光伏电池,它具有较低的成本、制备简单、可调变的光电性质、自然透明性、良好的光伏输出和更高的光电转换效率(PCE)其使其在太阳能窗户和室内设计的能源可持续发展的应用。共敏化已经成为一种提高DSCs效率的方法,最著名的作用是推动DSCs的功率转换效率达到世界纪录值。共敏化是一种化学制备方法,该方法制备的DSCs工作电极含有两种或两种以上具有互补光学吸收特性的不同染料。考虑到染料组合使用了所有可用的阳光,因此能够提供模拟太阳发射光谱的全色吸收光谱的染料组合是理想的。
【成果简介】
近期,剑桥大学Jacqueline M. Cole教授分别综述了DSCs的特点、染料共敏化技术、共敏化分析的表征方法,最后将现有的共敏化作用分为七种不同的方式,即染料被结合以产生全色DSCs,并提出了七种共敏化的同源分子工程策略,使光吸收达到最佳的DSCs器件功能。最后讨论如何使用实验和计算技术来预测,分析和改进共敏化染料太阳能电池,以推进其社会使用需求。该成果近日以题为“Cosensitization in Dye-Sensitized Solar Cells”发表在顶尖综述Chem. Rev.上。
【图文导读】
图一:DSCs的工作原理
DSC包括四个关键器件组件:化学染料,工作电极,对电极和电解质。

图二:共敏化DSCs
双染料共敏化DSCs示意图。

图三:共敏化材料的光学性质
DSCs目前仍面临的核心问题之一是它们仅仅部分地吸收了太阳光谱。 当太阳能发射光谱不能被源自半导体表面用单一染料敏化的光学吸收完全覆盖时,一种可行的解决方案是使用一种以上具有不同吸收光谱的染料进行共敏化以实现全色吸收。

图四:共敏化DSCs的能级图
能级图显示了共敏化DSCs的四个关键器件组件之间的特征关系。

图五:DSCs的工作电极的吸附过程
染料···TiO2界面结构的性质影响DSC工作电极的功能,该工作电极紧邻器件环境中的电解质(EL)离子介质。

图六:共敏化过程的混合方法
TiO2基底的顺序(顶部)和鸡尾酒混合(底部)共敏化。

图七:超快共敏化DSCs
超快速的共敏化(大约几分钟)可能会超过传统的(大约几小时)共敏化,因为它可以提高单个和共敏化样品的DSC效率。

图八:近全色吸收的钌基染料
辅助染料(蓝色虚线)的吸收光谱如何补充基础染料(黑色实线)的近红外吸收的示意图。

图九:钌基染料的种类
常用钌基染料的化学结构式。

图十:可与钌基染料共敏化的染料
可与钌基染料共敏化的染料的化学结构式。



图十一:卟啉基染料
卟啉基染料也是一种很好的近全色吸收染料。





图十二:将染料吸收扩展至近红外区的共敏剂
辅助染料(蓝色虚线)的吸收光谱可以补充扩展主要染料(黑色实线)的近红外吸收的示意图。

图十三:扩展近红外区的共敏剂
可将光学吸收扩展到NIR区域的共敏剂的化学结构。

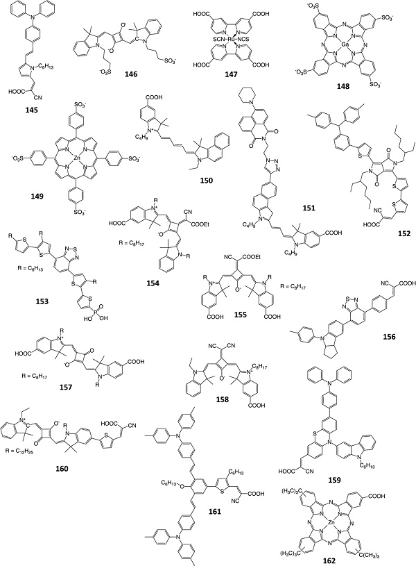
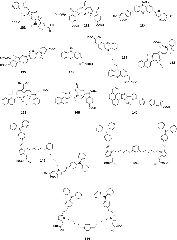
图十四:具有可调光学吸收带的共敏剂
在寻找补充近染色原色染料的增感剂时(参见第5.1节),非常需要能够调节以吸收特定波长的光的母体染料。花青和聚噻吩的可调性是通过分别延长π-共轭聚甲炔或噻吩链的长度来实现的,这引起吸收光谱的渐进红移。

图十五:具有可调光学吸收带的共敏剂的化学结构式

图十六: “分子乐高”共敏剂
“分子乐高”方法的示意图。

图十七:“分子乐高”共敏剂化学结构式
通过以“分子乐高”方式组合化学片段而设计的共敏剂的化学结构。

图十八:天然共敏剂
已开发出许多含有天然染料的DSC,这些天然染料试图模拟天然光合系统。然而,到目前为止,没有人超过5%的PCE。

图十九:常见的色素分子的化学结构

图二十:共敏化DSCs的植物提取物
卟啉,叶绿素,类黄酮,类胡萝卜素,甜菜碱和蒽醌及其衍生物。

图二十一:比例控制的共敏化
两种吸收相当的染料相互补充以实现近色吸收的示意图。

图二十二:比例控制的共敏化的染料分子
比例控制的共敏化的染料分子及结构式。

图二十三:具有窄带光学吸收峰的混合共敏剂
两种以上吸收相当的窄光学吸收带染料相互补充以实现近全色吸收的示意图。

图二十四:多种混合共敏剂的分子结构
具有窄带光学吸收峰的混合共敏剂染料分子及结构式。

【小结】
本综述首次对所有报道的DSCs共增敏形式进行了综合评价。共敏化已成为一种被广泛接受和有前途的方法,以调整功能和性能的DSCs。为此,作者在光学吸收的基础上对染料组合进行分类,以便区分实现全色共敏化太阳能电池的有用策略,并有助于更好地理解合理的分子设计概念如何应用于共敏化。本综述可以帮助研究者对大量化学染料的光伏功能进行适当的比较,并以此为基础,为共敏化太阳能电池的应用开发新的结构-功能关系,特别是那些旨在实现全色吸收的应用。共敏化提供了一个有前途的途径,以具体地定制功能和性能的DSCs,以满足不同的业务需求和应用。在这篇综述中,作者(i)基于一种独特的光学吸收分类方案,为进一步研究确定了有前景的共增敏策略;(ii)为每个报告的共增敏提供相对值和绝对值,以便更好地比较研究;(iii)讨论如何使用实验和计算技术来预测、分析和改进co-DSCs。为太阳能电池领域提供这一综合资源将有助于塑造未来共敏化研究的方向,使DSCs技术能够更有效地适应社会需求。
文献链接:Cosensitization in Dye-Sensitized Solar Cells (Chem. Rev., 2019, DOI: 10.1021/acs.chemrev.8b00632)
本文由材料人新能源组大兵哥供稿,材料牛整理编辑。
欢迎大家到材料人宣传HTH官网地址 成果并对文献进行深入解读,投稿邮箱:tougao@cailiaoren.com
投稿以及内容合作可加编辑微信:cailiaokefu





