【引言】
使用聚焦电子束诱导沉积(FEBID)的三维纳米制造已经成为可应用于微米级和纳米级的增材制造技术。FEBID是一种直接写入,自下而上的沉积方法,其中具有纳米级宽度的电子束局部解离表面结合的前体分子。3D FEBID最近在明确定义的电子束图案化速度、电子束加速电压和电流范围内得到了证明。最近的3D FEBID研究包括模拟引导的FEBID、多前驱体成分控制、使用异核前体的沉积、3D元素构建块和光学活性3D纳米结构。与其他3D技术 (如直接墨水书写、电流体动力学印刷、激光诱导正向转移、激光辅助电泳沉积和激光诱导的光还原)相比,3D FEBID是制造高精度和高自由度3D微纳结构的更有前途的技术。
【成果简介】
近日,美国田纳西大学Jason D. Fowlkes博士(通讯作者)等通过互补实验、模型和模拟确定光束诱导的加热,探究了使用聚焦电子束诱导沉积(FEBID)对网格物体3D纳米打印期间的沉积速率影响,并在ACS Nano上发表了题为“Impact of Electron-Beam Heating during 3D Nanoprinting”的研究论文。网格对象使用互连的纳米线构造。在纳米线生长期间,电子束相互作用驱动沉积也引起局部加热。随着纳米线生长的热阻增加,电子束撞击区域的温度逐渐升高。散热类似于延伸表面的传统传热方式,热量必须流过网状物体才能到达基板槽。模拟显示,电子束加热导致BIR处前驱体解吸速率的增加,导致沉积速率的随之降低,掩盖了由热增强的前驱体表面扩散驱动的沉积速率的增加。温度变化小至10 K会使沉积几何形状发生明显变化;由于垂直生长速率降低,纳米线似乎偏向并朝向基板弯曲。3D FEBID自然地从基板表面向上发生,沿着沉积物引起垂直温度梯度。模拟、实验、温度控制研究和过程电流监测都证实了纳米线扭曲的原因是电子束引起的加热,同时也揭示了决速物理控制最终沉积物形貌。
【图文简介】
图1 支柱和分段增长的校准结构2D示意图

支柱和分段增长的校准结构2D示意图。
图2 样品电流模拟

从FEBID期间收集的与时间相关的样本电流曲线中解析分段角度变化。
图3 FEBID诱导电子束加热的一维分析模型

分段增长角度(ζ),隐含地包括在1D加热模型中随沉积物的路径长度上变化的横截面积函数A(s)。
图4 预测BIR温度随z坐标中的总沉积高度的变化

通过1D分析数学模型(实线)预测沉积物的最高温度作为沿z坐标的总沉积高度的函数。
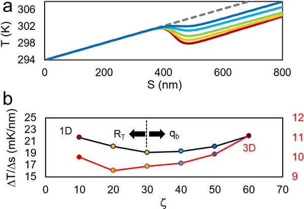
图5 热阻RT对分段加热的影响

热阻RT对分段加热的影响。
图6 前驱体表面停留时间τ和扩散系数随温度的变化

前驱体表面停留时间τ和扩散系数随温度的变化。
图7 BIR温度随校准结构高度变化的3D FEBID模拟

BIR温度随校准结构高度变化的3D FEBID模拟。
图8 电子束诱导加热的反应动力学

电子束诱导加热的反应动力学。
图9 温度控制的FEBID实验

利用温度控制的FEBID实验证实3D FEBID模拟表明的电子束加热的影响。
图10 电子束曝光下的三维纳米打印

电子束曝光下的三维纳米打印。
图11 FEBID期间受温度影响的扩散增强再生(1)

FEBID期间受温度影响的扩散增强再生。
图12 FEBID期间受温度影响的扩散增强再生(2)

从同一时刻的几个成像角度观察,在分段成核期间第三支沉积物上的前驱体表面覆盖。
【小结】
综上所述,作者通过互补实验、模型和模拟确定光束诱导的加热,探究了使用聚焦电子束诱导沉积(FEBID)对网格物体3D纳米打印期间的沉积速率影响。使用FEBID进行3D纳米打印的精度取决于沉积结构复制原始数字设计的程度。目前,需要经验校正来补偿沉积期间的纳米线变形和弯曲,这限制了纳米级精度。在纳米线生长期间,电子束相互作用驱动沉积也引起局部加热。随着纳米线生长的热阻增加,束撞击区域的温度逐渐升高,导致沉积速率随之降低,纳米线朝向基板弯曲,实验、数学模型和模拟均证实了上述结果。
文献链接:Impact of Electron-Beam Heating during 3D Nanoprinting (ACS Nano, 2019, DOI: 10.1021/acsnano.8b09341)
本文由abc940504【肖杰】编译整理。
投稿以及内容合作可加编辑微信:cailiaokefu,我们会邀请各位老师加入专家群。
欢迎大家到材料人宣传HTH官网地址 成果并对文献进行深入解读,投稿邮箱tougao@cailiaoren.com。





