当前位置: 材料牛 » HTH官网地址 » 导读 » 清华深研院李宝华教授:表面重构助力存储失效的高镍三元正极材料“起死回生”

清华深研院李宝华教授:表面重构助力存储失效的高镍三元正极材料“起死回生”

【引言】

随着锂离子动力电池能量密度要求不断提升,相比当前使用的LiNi0.5Co0.2Mn0.3O2 (NCM523)材料,高镍三元正极材料(镍含量60%以上)具有更高的比容量和更低的成本,从而引起人们的广泛关注。目前已有许多锂离子电池厂商尝试使用高镍三元材料,但仍未真正量产并普及。虽然高镍三元正极材料有利于提升电池能量密度,但是随着镍含量增加,材料循环、热稳定性也随之降低,进而影响电池的循环寿命和安全性;为了增强高镍三元正极材料的可使用性,通常会对材料进行元素掺杂和表面包覆。高镍三元材料的空气不稳定性,也是限制材料生产和应用的重要因素。高镍三元材料在潮湿空气中搁置后,材料表面会发生退化,严重影响材料性能发挥。所以研究材料的存储退化机制,以及如何恢复失效材料的性能,对高镍三元正极材料的推广使用具有重要意义。

【成果简介】

近期,清华大学深圳研究生院李宝华教授(通讯作者)等通过研究存储后高镍LiNi0.70Co0.15Mn0.15O2(NCM701515)材料的性能退化机制,并采用简单的表面重构方法使失效材料性能得以恢复。将新鲜NCM701515材料(P-NCM)存放在60 ℃和80 %相对湿度的环境中30天后,材料颗粒表面生成~90 nm厚的Li2CO3杂质层,层状结构中还出现了NiO惰性相。由于杂质层和惰性相的存在,体相中的Li+不仅被消耗而且阻碍了其有效传输,在2.8-4.3 V内无法发挥出容量。将存储失效的材料(S-NCM)在氧气气氛下经过800 ℃/3 h条件处理后,材料(CS-NCM)性能可以完全恢复。在高温作用下,存储失效的材料发生表面重构,杂质层中的Li+重新嵌回晶格,NiO惰性相在氧气的作用下转变为原来的六方层状结构。

【图文导读】

图1. P-NCM、S-NCM和CS-NCM材料的SEM图

(a, d) P-NCM;(b, e) S-NCM;(c, f) CS-NCM。

图2. P-NCM、S-NCM和CS-NCM材料的表面和体相分析

(a) 三种材料的红外图谱;

(b) 三种材料的XRD图谱,含18.5-19.0°和20-34°区间的放大图;

(c) 三种材料的C、O和过渡金属元素的原子比;

(d-h) 三种材料的XPS精细谱:C 1s、O 1s、Ni 2p、Co 2p和Mn 2p。

图3. P-NCM、S-NCM和CS-NCM材料的TEM图

(a, d) P-NCM;(b, e) S-NCM;(c, f) CS-NCM。

图4. P-NCM、S-NCM和CS-NCM材料的电化学性能

(a) 三种材料初始1 C下的充放电曲线;

(b) 三种材料的循环性能;

(c) 三种材料的倍率性能;

(d) S-NCM材料在不同高电压下激活后的循环性能;

(e, f) P-NCM和S-NCM的CV曲线。

图5. 不同表面重构方法对材料性能恢复效果对比

(a-c) 经过水洗(S-NCM-WW)、氩气中煅烧(CS-NCM-Ar)、空气中煅烧(CS-NCM-Air)处理后材料的SEM图;

(d) 经过不同方式处理后材料与原始材料的循环性能;

(e) 三种材料、P-NCM和S-NCM水洗处理后的ICP结果;

(f) 经过不同方式处理后材料的残余锂含量。

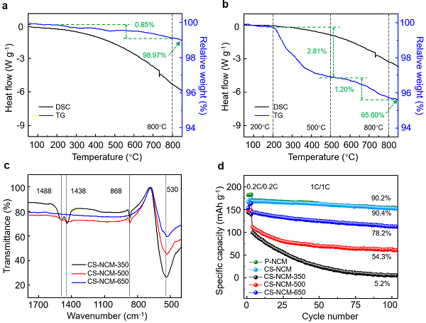
图6. 在氧气气氛下不同煅烧温度的选择

(a, b) P-NCM和S-NCM的TG&DSC曲线;

(c) 氧气气氛下经过不同煅烧温度处理后材料的红外图谱;

(d) 氧气气氛下经过不同煅烧温度处理后材料与原始材料的循环性能。

图7. 高镍NCM701515材料存储失效与性能恢复行为示意图

【小结】

综上所述,通过一系列表征,高镍NCM701515材料存储在一定湿度的空气中,材料表面会发生退化,在表层生成杂质层和岩盐相,这些惰性相的存在会严重影响材料性能的发挥,甚至完全失效;但是将存储后材料在氧气气氛中进行简单的煅烧,存储失效的材料性能可以完全恢复,而且表面残余锂也进一步降低。通过对煅烧工艺的优化,该方法可以适用于其他失效的NCM/NCA体系材料,同时该方法工艺简单,利于在工业生产中推广使用。

文献链接A Simple Method for the Complete Performance Recovery of Degraded Ni-rich LiNi0.70Co0.15Mn0.15O2 Cathode via Surface Reconstruction (ACS Appl. Mater. Interfaces, 2019, 11(15): 14076-14084, DOI: 10.1021/acsami.8b2252).

本文系作者供稿。

欢迎大家到材料人宣传HTH官网地址 成果并对文献进行深入解读,投稿邮箱: tougao@cailiaoren.com.

投稿以及内容合作可加编辑微信:cailiaorenVIP.

未经允许不得转载:材料牛 » 清华深研院李宝华教授:表面重构助力存储失效的高镍三元正极材料“起死回生”

相关文章

Baidu
map