【引言】
高熵合金(HEAs)是一种新兴的材料,通常由一种主要元素和不同浓度的溶质元素组成的合金,HEA包括(近)等原子比的多主元素和最大构型熵。这种设计合金方法具有高断裂韧性、优异的强度-延展性平衡、高温强度、热稳定性、耐腐蚀、电阻率和耐氢脆化特性的高熵合金。然而,HEA的研究大多数集中在理解和优化结构上,而功能特性的报告相当稀少。最近,3d过渡金属元素的软磁HEAs,证明HEA在软磁应用中的巨大潜力,但仍有一些关键的科学问题尚未解决。例如,许多含Al HEA形成有序的B2相,但是B2和BCC相之间的元素划分尚未阐明。饱和磁化强度随BCC量的增加而增加,随FCC相量的减少而增加的原因尚不清楚。为了解决这些问题,本文设计了不同Fe和Cr比(x = 0、0.2、0.4、0.6、0.8)的非等原子Al0.1(Fe1 + xCoCr1-xMn)0.9HEAs,并进行了系统的微观结构和磁性表征。
【成果简介】
近日,韩国科学技术院的Pyuck-Pa Choi(通讯)作者等人,采用探针断层扫描、电子显微镜和ab initio密度泛函理论计算,研究了铸态Al0.1(Fe1 + xCoCr1-xMn)0.9(x= 0、0.2、0.4、0.6、0.8)高熵合金的组织转变、相形成和软磁行为。x = 0.6时,合金由无序BCC基质和纳米级有序B2沉淀物组成;x = 0.8时,形成小部分FCC相(18.3 vol%)。电子显微镜的结构信息和原子探针断层扫描的化学信息作为密度泛函理论计算,确定了每种合金元素的状态和磁矩的电子密度。Fe和Co在所有三相中都显示出铁磁行为,而Cr与Fe和Co的反铁磁耦合。与BCC和B2相比,在FCC中Mn显示出强烈减小的净磁矩。因此,用Fe代替最大量为13.5 at. %的Cr不形成FCC相,在这项工作中研究的合金中,Al0.1(Fe1.6CoCr0.4Mn)0.9合金的饱和磁化强度最高(135 Am2/kg)。相关成果以“Effects of phase composition and elemental partitioning on soft magnetic properties of AlFeCoCrMn high entropy alloys”为题发表在Acta Materialia上。
【图文导读】
图 1 铸态Al0.1(Fe1 + xCoCr1-xMn)0.9(x= 0、0.2、0.4、0.6、0.8)合金的XRD图

图 2(a)Fe 1.6和(b)Fe 1.8合金的EBSD相位图

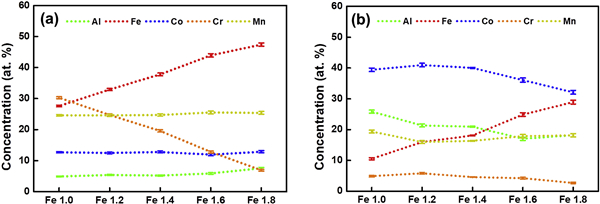
图 3 Fe 1.0合金的结构和成分表征

(a)Fe 1.0合金SAED图;
(b)Fe 1.0合金的暗场图像;
(c)STEM-HAADF图像和Al、Co、Fe、Cr和Mn的EDX图。
图 4 Fe 1.0合金的APT分析的三维原子图

图 5 (a)Fe 1.2、(b)Fe 1.4和(c)Fe 1.6合金的3d原子图

图 6 Fe 1.8合金的成分和结构表征

(a)Fe 1.8合金的EBSD相图;
(b)APT样品的TKD相图;
(c)的Fe 1.8合金30 at. %Co等浓度表面的3d原子图。
图 7 APT分析的(a)BCC和(b)B2相的化学成分

图 8 (a)合金的磁化曲线和(b)饱和磁化强度和矫顽力图

图 9 计算的准Al0.1(Fe1 + xCoCr1-xMn)0.9合金二元相图

图10 B2、BCC和FCC中不同元素的pDOS图

(a-c)B2、BCC和FCC相中Fe和Co原子的pDOS图;
(d-f)B2、BCC和FCC相中的Cr原子的pDOS图;
(g-i)B2、BCC和FCC相中的Mn原子的pDOS图;
(j-k)BCC和FCC相分解Mn的pDOS图。
图 11 合金中不同相的元素磁矩计算

图 12 计算和实验获得的样品的饱和磁化强度

【小结】
这项工作研究了软磁Al0.1(Fe1 + xCoCr1-xMn)0.9高熵合金的微观和纳米结构和磁性。APT和TEM分析BCC基体内存在富含Co和Al的B2沉淀物。Fe 1.0至1.6合金由BCC和B2相组成,其中饱和磁化强度随着Fe与Cr比率的增加而增加,因为随Fe的增加和BCC相中Cr浓度的降低。进一步提高Fe与Cr的比率时,形成FCC相而导致的矫顽力的增加和Fe 1.8合金的饱和磁化强度的降低。DFT计算了状态的电子密度,揭示FCC阶段内Mn的对称自旋分布,FCC相中Mn的净磁矩明显低于B2和BCC,因此降低了FCC相的饱和磁化强度。因此,在保持BCC结构的同时用Fe代替Cr是设计软磁3d过渡金属高熵合金的有效策略。
文献链接:Effects of phase composition and elemental partitioning on soft magnetic properties of AlFeCoCrMn high entropy alloys(Acta Materialia, 2019, DOI: 10.1016/j.actamat.2019.04.007)。
投稿以及内容合作可加编辑微信:cailiaokefu,我们会邀请各位老师加入专家群。
欢迎大家到材料人宣传HTH官网地址 成果并对文献进行深入解读,投稿邮箱tougao@cailiaoren.com。





