【背景介绍】
磷掺杂是调控炭材料表面性能的重要手段之一,在能源存储与转化领域受到广泛关注。虽然目前磷掺杂炭材料已经有大量研究,但由于常规磷掺杂炭材料的孔结构发达,含氧官能团丰富,使得大量的磷掺杂物种不可避免地被包埋入复合碳基体中,这种磷物种的不充分暴露性和可获得性差导致了关于碳晶格中磷物种的存在形式,结构演变规律和电化学行为作用机制上的认识有许多模糊的地方。对于这方面认识的不充分性,很大程度上阻碍了对于设计更加合理的新型高性能磷掺杂炭材料的进程。
近期,中科院煤化所陈成猛团队在磷掺杂炭材料表面化学机制研究方面取得进展。前期工作中,该团队以无烟煤为原料,通过磷酸活化合成了介孔炭材料。研究发现磷酸在活化造孔的同时,还具有同步掺磷的作用,其掺杂量达0.49 wt%,这种磷杂多孔炭在应用于超级电容器时,其在Et4NBF4/PC有机电解液中的电压窗口可从2.7 V扩大到3.0 V,且展示出优异的循环稳定性(Electrochimica Acta. 2018, 266, 420-430)。然而在上述过程中,鉴于煤基多孔炭的结构复杂性并未就磷原子对炭材料的掺杂机制、含磷官能团的存在形式及演变规律、其与电化学性能间的构效关系等进行更加深入的解析,也给上述共性科学问题的研究带来挑战。
而石墨烯作为炭材料的基本结构单元,具有典型的二维结构,该团队以其为简化的研究模型,进一步探究了炭材料表面磷物种的掺杂、演变及作用机制。作者以部分热还原的氧化石墨烯为原料,先通过H3PO4进行高温活化,而后在高温惰性气氛下作钝化处理,得到一系列磷掺杂石墨烯样本并做了系统研究。相关研究成果近期已在线发表在ACS Applied Materials & Interfaces.杂志上 (DOI:10.1021/acsami.8b21903),论文第一作者为硕士研究生毕志宏,通讯作者为陈成猛研究员、谢莉婧副研究员。
【图文导读】
图1、不同石墨烯(a) G600,(b) G800,(c) PG800,(d) PG800S的TEM形貌比较及PG800S的EDS mapping图。

图2、石墨烯中磷构型的存在形式及构型演变规律解析

从红外结果可初步确定:在668 cm-1处,碳晶格中形成了C-P键并且经过进一步高温钝化处理C-P键信号明显增强,含量进一步增多;而在1085-1193 cm-1区间内是多种官能团的信号叠加区,包含有氢键的P=O基团伸缩振动;P-O-C(芳环系)中含O-C键的伸缩振动;含-OH的P=OOH键伸缩振动。
进一步通过XPS得出:不同元素的含量如表1所示;碳晶格中存在C3-P=O,C-P-O,C3-P和C-O-P四种基本磷构型,各自在不同热处理阶段的占比如表2所示,主要以C3-P=O为主体,C-P-O次之;而在钝化处理过程中,通过分析不同构型的含量变化情况可得出一个重要的构型演变——从C3-P和C-O-P向C3-P=O和C-P-O的演变。
表1 G800,PG800,PG800S的XPS半定量元素分析
|
Sample |
Elemental Content (at. %) |
||
|
C 1s |
O 1s |
P 2p |
|
|
G800 |
95.69 |
4.31 |
0.00 |
|
PG800 |
93.16 |
4.90 |
1.93 |
|
PG800S |
90.20 |
6.95 |
2.85 |
表2、 PG800,PG800S的各种磷构型含量占比情况。
|
Sample |
P 2p peak (eV) Relative content of phosphorus species (%) |
|||
|
P1 (C3-P) 130.2 |
P2 (C3-P=O) 132.3 |
P3 (C-P-O) 133.1 |
P4 (C-O-P) 134.0 |
|
|
PG800 |
13.6 |
46.6 |
22.5 |
17.4 |
|
PG800S |
0.0 |
54.3 |
32.5 |
13.2 |
图3、不同磷构型的结合能及形成能理论计算

为了进一步验证确定含磷构型的稳定性,基于XPS结果,可以构建了如图3 (a) 所示八种不同构型的磷构型模型,通过结合密度泛函理论计算结果,由结合能结果可以看出C3-P=O具有最高的稳定性,C-P-O构型次之;且从形成能的结果得出C3-P=O是实验条件下最易形成的构型,其次为C-P-O。二者的结论进一步验证了由XPS分析所得磷构型演变规律的合理性
图4、不同磷构型的部分态密度计算

(a)不同磷构型存在的稳定性强弱分析:
(b)费米能级处共振态的强弱——决定了磷构型的稳定性;
(c)磷构型中C、P、O的连接顺序及P原子与周围C原子的连接数量直接影响其稳定性,即CX-P-O中, X越大构型越稳定;
(d)C3-P=O及C2-P-O共振最明显,而C3-P=O共振能量最低最稳定。
图5、XRD及Raman中不同样品的微晶结构解析

磷构型演变过程中引起的材料微晶结构变化。由XRD结果可知在活化和钝化的过程中,(002) 峰发生明显左移,进一步通过布拉格方程计算得出石墨烯的层间距明显增大,(101)峰指示的类石墨化度也不断提高;由相应的Raman结果ID/IG值的变化趋势进一步印证了(101)峰的所得结果。这主要归因于C3-P=O这一构型以类三角锥形的特殊凸起形式存在于碳晶格中且P原子大多同时和三个C原子相连而减少了晶格中的空位缺陷,因而带来了层间距的增加和类石墨化度的提高。
图6、碳晶格中可能的磷构型演变机理路径。

基于以上实验结果表征与理论模拟计算分析可得(a)(b)(c)(d)四种碳晶格中可能的磷构型演变机理路径。其中一方面(a)(b)(c)主要通过生成类环氧中间态[−C−O+−P−]≠来逐步修复碳晶格中的空位缺陷,进而形成C3-P=O;另一方面(d)通过环氧基中的氧原子(-O-)转移吸附到C3-P上形成C3-P=O。
图7、碳晶格中亚稳态磷构型(CX-P-O,X<3)的可能生成机制

对于磷构型中所占比例次之的亚稳态磷物种C-P-O的生成主要通过以上三种:通过缺陷晶格中不饱和碳原子上的H(或O)原子与含磷官能团中的O(或C)结合通过脱去CO或H2O形成亚稳态C-P-O构型。
图8、不同样品的电化学性能

(a)不同样品的倍率性能曲线
(b)不同样品的循环稳定性曲线
(c)不同样品的漏电流曲线
(d)不同样品的自放电曲线
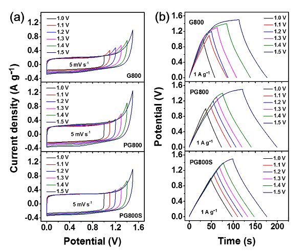
经过初步活化,各项电化学性能有了一定提升;通过进一步的钝化处理,观察到电化学性能有了更进一步的显著提升,说明初始活化引入的含磷官能团并不是全部都起正面作用,而经过更高温度钝化处理后带来的明显磷构型演变,说明从不稳定的C3-P和C-O-P构型向C3-P=O和C-P-O的稳定构型的转变带来了石墨烯表面化学性质的稳定化,加上主体为C3-P=O类三角锥构型带来层间距的拓宽和因其对空位缺陷修复而带来的类石墨化度提高等微晶结构的优化促进了界面中离子的更快速传输。综合以上分析:磷构型的优化对炭材料表面化学性质及微晶结构变化有重要影响,这种构型的转变会带来电化学性能的显著提升
图9、极化效应对碳材料耐压性的影响解析

磷官能团对电极材料的耐压性影响可通过对电极材料的极化效应测试分析。不同比例组成的磷构型极化程度不同,相对应的稳定工作电压窗口也不同;说明活化引入磷官能团只能一定程度上使碳材料表面稳定化。而高温处理进一步钝化,使得不稳定的磷构型得以转化为更多的C3-P=O这一最稳定且易行的磷构型,一方面磷与更多的碳原子键合从而保护了碳晶格表面的不稳定活性氧化位点,另一方面其中氧原子的位置极大地提高了材料的表面润湿性,使得离子传输更顺畅,这样便提高了电极的稳定工作电压窗口。
图10、磷构型组成对电极材料阻抗和电容的影响解析

含磷构型对材料阻抗和电容的影响。由EIS的尼奎斯特图观察可知,中频区半圆的的直径变化反映出初步磷酸活化会使不稳定的含磷官能团与石墨烯的含氧官能团在片层间形成无序搭接而导致等严重的界面传荷阻抗;而经过高温钝化稳定化后,不稳定的含磷构型转化为更加稳定的C3-P=O构型以及少部分亚稳态的C-P-O构型,尤其是C3-P=O构型使得石墨烯晶格变得更加有序完整且层间距增大,再加上在面外有凸起的氧原子增加了材料的表面润湿性,使得界面阻抗大大降低;在低频区,PG800,PG800S的直线部分具有更加理想的双电层电容行为,说明磷掺杂效应大大减小了电解液扩散阻抗,对于电容的提升起到主要作用,也从侧面说明磷掺杂促进了表面润湿性的改善。而(b)(c)(d)进一步表明了C3-P=O在提高材料表面润湿性、倍率性能、可逆快速充放电能力、比电容提升等方面的积极作用。这再一次充分了说明了C3-P=O构型在电化学行为中的重要作用。
【小结】
该研究表明,经高温处理后,碳晶格中的含磷官能团能从不稳定的C-O-P和C3-P构型向稳定的C-P-O和C3-P=O构型转变。作者结合第一性原理计算,进一步证明了C3-P=O是石墨烯晶格上所有磷构型中最稳定的,它对稳定电极/电解液电化学界面起到了最关键的作用。因此,掺磷石墨烯在水系电解液中的电压窗口可从1.0 V扩展到1.5 V,且自放电和漏电流被明显抑制。该工作为面向应用的炭材料表面结构设计提供了理论依据,对于炭材料在储能、催化和环保等领域的应用开发也具有参考价值。
文献链接:
https://pubs.acs.org.ccindex.cn/doi/10.1021/acsami.8b21903
通讯作者及团队介绍:
陈成猛,博士,研究员,中科院山西煤化所709课题组长,中科院炭材料重点实验室副主任,山西省石墨烯技术工程研究中心副主任。兼任中国颗粒学会青年理事、中科院青促会会员、中国石墨烯产业技术创新战略联盟理事、IEC/TC113和SAC/TC279标委会专家等职务。2006年本科毕业于中国矿业大学,2012年于中科院煤化所获博士学位,2010-2011年在德国马普学会Fritz Haber研究所学习。主要从事先进炭材料与器件研究工作,主持项目20余项,发表论文118篇,他引4700余次,h因子32,授权专利18项,出版英文专著1部,主持制定国际和国家标准6项。荣获山西省自然科学一等奖、天津市自然科学一等奖、中国产学研合作创新成果一等奖、侯德榜化工HTH官网地址 青年奖、中国颗粒学会青年颗粒学奖,入选《麻省理工HTH官网地址 评论》中国区“35岁以下HTH官网地址 创新35人”、中科院北京分院“启明星”优秀人才等称号。陈成猛研究员带头的石墨烯与新能源材料研究团队以石墨烯材料、新能源材料、功能材料和储能器件为核心研发方向,坚持基础研究和应用技术开发并重的协同发展模式,产学研结合,打造“原料-材料-器件-应用”创新链,逐渐发展成为在相关领域具有先进技术水平的现代化专业团队。
本文由毕志宏供稿,材料人编辑部编辑
欢迎大家到材料人宣传HTH官网地址 成果并对文献进行深入解读,投稿邮箱: tougao@cailiaoren.com.
投稿以及内容合作可加编辑微信:cailiaorenVIP.





