【引言】
钠离子电池(SIBs)因其在电网储能和低速电动汽车中应用的巨大潜力而受到越来越多的关注,而维持正极的高能量密度是发展SIBs的关键。其中,钠电正极层状过渡金属氧化物(NaxMO2)由于其理论比容量高(~220–270 mAh g-1)而受到广泛关注。虽然大多数层状氧化物锂电正极采用O3结构,但相应的钠电正极则具有更多的热力学稳定结构,例如O3,P3和P2型等结构。之前的文献报道表明,许多P2型钠电正极在1.5-4.1 V的电压范围内,即在适度的充电深度下,才具有良好的循环稳定性。因此,只能提供非常有限的容量(约为理论值的40-60%)。然而,其在深度充放电状态下会发生不可逆的相变。比如,P2型结构正极会发生由P2’→P2(有时通过OP4)→O2型相的不可逆演变,从而引起了晶格中位错的形成,并且在电池长循环中累积并最终会造成材料的结构崩塌而缩短电池循环寿命。
【成果简介】
最近,佐治亚理工学院Hailong Chen教授(通讯作者)团队设计了一种新型层状氧化物钠离子电池正极P2-Na0.66Li0.18Fe0.12Mn0.7O2,该正极材料在1.5-4.5 V的宽电压范围内稳定循环,其容量可高达190 mAh g-1,并在80次循环后容量保持率为87%。通过非原位和原位X射线衍射(XRD)和固态核磁共振(NMR)进一步表征了其出色的稳定性归因于锂在循环过程中的可逆迁移和消除有害的P2-O2相变。相关研究成果以“Lithium-doping stabilized high-performance P2-Na0.66Li0.18Fe0.12Mn0.7O2 cathode for sodium ion batteries”为题发表在JACS上。
【图文导读】
图一 两种不同方向的P2-O2相转变的结构示意图

图二 P2-Na0.66Li0.18Fe0.12Mn0.7O2的物相表征

(a)基于P2-Na0.66Li0.18Fe0.12Mn0.7O2的同步辐射XRD的Rietveld结构精修
(b)基于P2-Na0.66Li0.18Fe0.12Mn0.7O2的中子衍射的Rietveld结构精修
(c,d)不同放大倍数下的SEM图像
图三 Na0.66Li0.18Fe0.12Mn0.7O2的电化学表征

(a)电池在10mA g-1电流密度下的充电/放电曲线
(b)循环性能和库伦效率
(c)CV曲线
(d)倍率性能
图四 高分辨率的原位同步辐射XRD谱图

图五 部分衍射峰在充放电过程中的变化图

图六 长期循环前后Na0.66Li0.18Fe0.12Mn0.7O2正极的同步辐射XRD比较图

图七 在不同充电/放电状态下收集的Na0.66Li0.18Fe0.12Mn0.7O2电极的非原位XANES光谱

图八 Na0.66Li0.18Fe0.12Mn0.7O2电极样品在长期充放电循环过程中的7Li pjMATPASS NMR谱

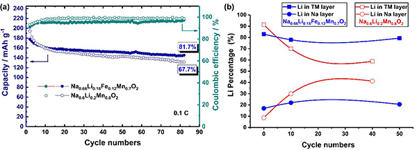
图九Na0.66Li0.18Fe0.12Mn0.7O2和Na0.6Li0.2Mn0.8O2正极的容量保持率比较和掺杂Li在两种材料中变化的比较

(a)Na0.6Li0.2Mn0.8O2和Na0.66Li0.18Fe0.12Mn0.7O2正极在1.5-4.5V范围内的容量保持率比较
(b)Na0.6Li0.2Mn0.8O2和Na0.66Li0.18Fe0.12Mn0.7O2中TM层中的Li和Na层中的Li的占有比率变化的比较
【小结】
本文在基于过渡金属层中进行锂掺杂来稳定层状材料结构的策略,设计并成功合成了一种新型的钠离子电池正极材料Na0.66Li0.18Fe0.12Mn0.7O2。高放电容量和出色的循环稳定性表明该材料具有很好的应用前景。原位和非原位的结构表征表明,该正极具有高性能的关键因素在于:1)在1.5-4.5 V的宽电压范围内消除了不可逆的P2-O2相变,从而实现充放电过程中高度可逆的单相固溶体储钠途径;2)掺杂Li被有效地保留在材料晶格中,并且在过渡金属层和碱金属层之间可逆迁移。Na0.66Li0.18Fe0.12Mn0.7O2优异的电化学性能证实了Li和Fe共掺杂对提升正极材料循环稳定性的关键作用,并为设计其他结构稳定的高容量长寿命的层状氧化物正极提供技术参考。
文献链接:“Lithium-doping stabilized high-performance P2-Na0.66Li0.18Fe0.12Mn0.7O2 cathode for sodium ion batteries”(JACS, 2019, DOI: DOI: 10.1021/jacs.9b01855)
参考文献(选填):
- Yang, L.; Li, X.; Ma, X.; Xiong, S.; Liu, P.; Tang, Y.; Cheng, S.; Hu, Y.-Y.; Liu, M.; Chen, H., Design of high-performance cathode materials with single-phase pathway for sodium ion batteries: A study on P2-Nax(LiyMn1-y)O2 Journal of Power Sources 2018, 381, 171-180.
- Bai, Q.; Yang, L.; Chen, H.; Mo, Y., Computational Studies of Electrode Materials in Sodium‐Ion Batteries. Advanced Energy Materials 2018, 8(17), 1702998.
课题组介绍:
佐治亚理工学院Hailong Chen 课题组是以Materials by Design为主题,使用先进的原位表征手段和计算设计研发储能新材料和新器件的研究组。研究组的主要课题包括: 新型高能钠电池正极和负极材料, 新型超快速固体离子导体和全固态电池,锂离子电池和稀有金属的回收和再利用,纳米金属和合金材料等。 研究组还致力于发展多种先进的原位表征技术以及其在能源和纳米材料领域的应用,包括基于实验室X-ray光源的原位XRD,基于同步辐射的原位XRD,PDF, XAS,以及原位电子显微技术等。
本课题组科研资源丰富,欢迎对于基础科研和储能技术有热情的年轻才俊加入。
本文通讯作者: Hailong Chen
联系方式: hailong.chen@me.gatech.edu
课题组网站链接:https://hlchen.gatech.edu/
本文由材料人编辑部学术组微观世界编译,论文通讯作者Hailong Chen教授修正供稿。
欢迎大家到材料人宣传HTH官网地址 成果并对文献进行深入解读,投稿邮箱tougao@cailiaoren.com。
材料人投稿以及内容合作可加编辑微信:cailiaokefu





