【引言】
具有无能隙和螺旋狄拉克锥的拓扑保护表面态是三维拓扑绝缘体的显著特性之一。拓扑表面态电子的自旋被锁定在其动量上,当在量子扩散区域中绝热地通过时间反演保护的自相交路径后会产生一个非平庸的π 贝利相位。这种非平庸的π 贝利相位导致拓扑绝缘体在低磁场范围出现弱反局域化 (WAL)效应,即对经典电子电导产生量子修正。最近,三维拓扑绝缘体中拓扑表面态的WAL效应的观察结果已得到广泛报道。通常,假设拓扑绝缘体体态的磁导是各向同性的,在减去在平行方向(电流平行于磁场方向)中测量的体态的磁导之后使用Hikami-Larkin-Nagaoka (HLN) 方程可以定量地分析二维拓扑表面态的WAL效应。然而最近的研究表明,拓扑绝缘体体态的磁导是各向异性的。因此,非常需要发展一种可以更准确地消除体态磁导贡献的方法,以定量分析拓扑表面态的WAL效应。
【成果简介】
近日,香港HTH官网地址
大学王建农教授(通讯作者)课题组的李惠博士等人提出可通过测量各向异性磁导来准确定分析拓扑绝缘体BiSbTeSe2 (BSTS)中拓扑表面态的WAL效应,并在Nano Lett.上发表了题为“Quantitative Analysis of Weak Antilocalization Effect of Topological Surface States in Topological Insulator BiSbTeSe2”的研究论文。作者观察到由BSTS拓扑表面态的WAL效应引起的异常电导峰以及体态的各向异性磁导。在减去体态的各向异性磁导后,可使用HLN表达式定量分析拓扑表面态的WAL效应。该研究结果为定量分析拓扑绝缘体中拓扑表面态的WAL效应提供了一种可能替代途径。
【图文简介】
图1 BSTS器件和磁电输运特性

a) BSTS器件的光学图像;
b) 零磁场下,BSTS器件电阻(R)随温度(T)的变化;
c) x-z平面中,T = 2 K时,BSTS器件在施加磁场方向与电流(I)方向垂直(θ = 0°,黑色曲线)和平行(θ = 90°,红色曲线)时的磁阻曲线;
d) T = 2 K和低磁场范围下的BSTS器件在不同的倾斜角θ下测量的磁导率随磁场法线分量的变化曲线,红色实线是使用HLN方程的拟合曲线。
图2 各向异性磁阻(AMC)在x-z平面倾斜中随磁场的变化

a) T = 2 K、B = 2 T时,BSTS器件纵向电导Gxx (黑色空心方块)随角度的变化,红色和绿色曲线分别是用不同公式拟合的对照结果;
b) T = 2 K、B = 2 T时,BSTS器件纵向电导Gxx (黑色空心方块)随角度的变化,红色曲线是文中公式(1)拟合的结果,蓝色曲线是拟合得到的体态各向异性磁导。
c) ΔGxx (黑色空心方块)随角度的变化,ΔGxx即T = 2 K、B = 2 T时,测量的纵向电导Gxx(θ)与图b中的蓝色曲线之间的差值,红色曲线是HLN表达式拟合结果。
d) 在T = 2 K时表面态贡献率随磁场的变化。
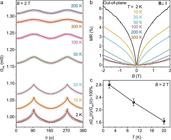
图3 各向异性磁阻(AMC)在x-z平面倾斜中随温度的变化

a) 不同温度下的BSTS器件的各向异性磁导,测量磁场大小为2 T;
b) 不同温度下BSTS器件的磁电阻曲线,其中在T <50 K时可以观察到BSTS在低磁场下的WAL效应;
c) B =2 T时BSTS表面态贡献率随测量温度的变化。
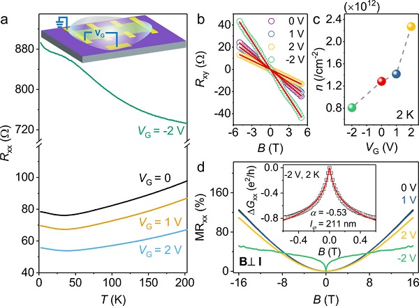
图4 BSTS器件栅极电压可调的磁电输运特性

a) 不同栅极电压下BSTS器件在零磁场中的R-T曲线;
b) 不同栅极电压下BSTS器件的霍尔电阻 (Rxy) 随测量磁场的变化,红线为线性拟合结果;
c) BSTS器件的载流子密度与栅极电压的关系;
d) 不同栅极电压下,BSTS器件的磁阻曲线,内插为VG = -2 V、T = 2 K的低磁场中测量的WAL效应,红色实线是使用HLN方程的拟合曲线。
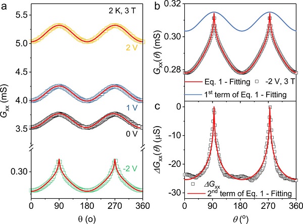
图5 BSTS器件栅极电压可调的各向异性磁导

a) 不同栅极电压下,BSTS器件在B = 3 T、T = 2 K的各向异性磁导曲线;
b) VG = -2 V、B = 3 T、T = 2 K时,BSTS器件纵向电导Gxx(黑色空心方块)随角度的变化,红色曲线是文中公式(1)拟合的结果,蓝色曲线是拟合得到的体态各向异性磁导。
c) ΔGxx(黑色空心方块)随角度的变化,ΔGxx即测量的纵向电导Gxx(θ)与图b中蓝色曲线之间的差值,红色曲线是HLN表达式的拟合结果。
【小结】
综上所述,作者通过测量各向异性磁导率对拓扑绝缘体BiSbTeSe2(BSTS)中拓扑表面态的WAL效应进行了定量和精确分析。作者观察到源自BSTS拓扑表面态的WAL效应平行取向的异常电导峰以及体态的各向异性磁导。通过消除体相态的各向异性磁导的贡献,使用HLN方程进一步定量和精确地分析拓扑表面态的WAL效应。该研究结果为拓扑绝缘子中拓扑表面态WAL效应的精确的定量分析提供了一种替代途径。
文献链接:Quantitative Analysis of Weak Antilocalization Effect of Topological Surface States in Topological Insulator BiSbTeSe2 (Nano Lett., 2019, DOI: 10.1021/acs.nanolett.8b05186)
本文由材料人编辑部abc940504【肖杰】编译整理。
投稿以及内容合作可加编辑微信:cailiaokefu,我们会邀请各位老师加入专家群。
欢迎大家到材料人宣传HTH官网地址 成果并对文献进行深入解读,投稿邮箱tougao@cailiaoren.com。





