【引言】
物联网和柔性电子技术的兴起,对电子材料提出了更高的要求,既要求其性能卓越,也需要具备良好的柔性及延展性。柔性电子器件由于其轻质便携、智能可穿戴等突出特点可用于柔性传感器、存储器、储能设备、植入式生物医疗电子、可卷曲电子显示屏等领域。作为高能脉冲功率技术设备中最关键的元件之一,高储能密度和高效率的电介质储能材料与器件已成为当前功能材料领域的研究热点。为了满足相关器件集成化、小型化、轻量化和柔性化的需求,高储能、低成本、高可靠性、易集成等优点的薄膜电容器备受青睐。现有的有机聚合物基电容器虽然具有一定的伸展性和弯曲性,但其本征介电常数较小,且不耐高温,限制了其在极端环境条件下的应用。无机介电薄膜储能电容器通常具有更好的温度稳定性和较高的储能性能,如何实现无机介电储能电容器的柔性弯曲仍然是柔性储能设备开发过程中面临的重要问题。
【成果简介】
近日,济南大学杨长红副教授(第一作者)、济南大学黄世峰教授和澳大利亚伍伦贡大学Cheng Zhenxiang教授(共同通讯作者)等合作报道了一种超高储能密度的柔性全无机介电薄膜储能电容器。采用耐高温的柔性无机云母材料作为基底,通过“一步法”制备了Mn:NBT-BT-BFO体系无铅介电薄膜电容器,并同时获得了高储能密度、储能效率以及优异的耐弯折性。其主要原理是通过固溶物的添加增强抗击穿电场强度,增强体系弛豫性,提高材料的储能密度与效率,并借助衬底良好的可弯曲性,有效减小了机械变形引起的性能退化。所制备的柔性Mn:NBT-BT-BFO薄膜电容器储能密度高达81.9J/cm3、储能效率达64.4%。同时,该电容器在25-200°C温度范围表现出良好的稳定性,在弯曲半径低至2mm及小半径重复弯曲103次后仍然无性能衰减,可满足柔性储能元器件的要求。这一研究结果为设计高性能的柔性无机介电储能材料与器件提供了理论基础与技术指导。相关成果以“Fatigue-Free and Bending-Endurable Flexible Mn-Doped Na0.5Bi0.5TiO3-BaTiO3-BiFeO3 Film Capacitor with an Ultrahigh Energy Storage Performance”为题发表在材料学科领域权威期刊Advanced Energy Materials(影响因子21.875)上。
【图文导读】
图1

(a)柔性Mn:NBT-BT-BFO/Pt/mica的制备过程示意图; (b)mica衬底、Pt/mica及Mn:NBT-BT-BFO/Pt/mica的XRD图谱; (c)mica衬底的AFM表面形貌; (d) Mn:NBT-BT-BFO/Pt/mica的AFM表面形貌; (e)Mn:NBT-BT-BFO/Pt/mica的FESEM断面结构
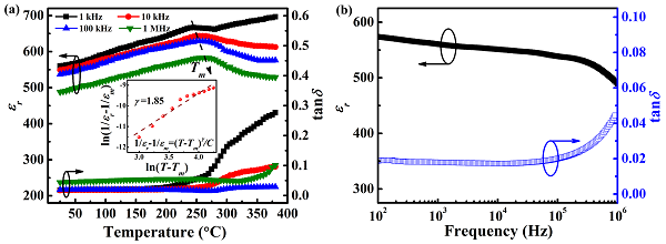
图2

(a)mica衬底上生长的Mn:NBT-BT-BFO薄膜的介电温谱, 插图为修正的居里-外斯方程拟合曲线; (b)Mn:NBT-BT-BFO薄膜的介电频谱图
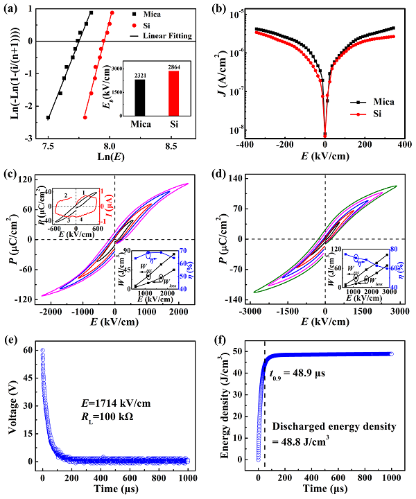
图3

柔性mica衬底及硬质Si衬底上生长的Mn:NBT-BT-BFO薄膜的(a)介电击穿场强的Weibull分布, (b)J-E曲线; (c)mica衬底上Mn:NBT-BT-BFO薄膜的P-E曲线, 左上角插图为极化电流随电场的变化曲线, 右下角插图为储能密度和效率随电场的变化曲线; (d)Si衬底上Mn:NBT-BT-BFO薄膜的P-E曲线, 插图为储能密度和效率随电场的变化曲线; mica衬底上Mn:NBT-BT-BFO薄膜的(e)放电电压, (f)放电能量密度随时间的变化曲线
图4

mica衬底上Mn:NBT-BT-BFO薄膜的储能密度和效率随测试(a)频率, (b)疲劳周期, (c)温度的变化, 插图为相应条件下的P-E曲线; (d)不同温度下薄膜的J-E曲线
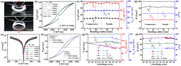
图5

(a)mica衬底上Mn:NBT-BT-BFO薄膜电容器在压缩和拉伸状态下进行电学性能测试的数码图像; (b)压缩和拉伸状态不同曲率半径下的P-E曲线; (c)Pr, Pmax, Pmax–Pr, (d)储能密度和效率随弯曲半径的变化曲线; (e)不同曲率半径下的J-E曲线; (f)弯曲半径为4mm状态下109疲劳前后的P-E曲线; 弯曲半径4mm时薄膜的(g)Pr, Pmax, Pmax–Pr, (h)储能密度和效率随疲劳循环次数的变化曲线
图6

(a)Mn:NBT-BT-BFO薄膜电容器进行重复弯曲前后的P-E曲线, 其中弯曲半径为4mm; (b) Pr, Pmax, Pmax–Pr, (c)储能密度和效率随弯曲次数的变化曲线; (d)薄膜重复弯曲前后的J-E曲线; (e)在4mm半径下经历103次重复弯曲后薄膜在109疲劳前后的P-E曲线; (f)103次弯曲后的薄膜的储能密度和效率随疲劳循环次数的变化曲线
【小结】
综上所述,作者采用化学溶液法在耐高温的柔性云母衬底上首次直接生长并制备了柔性全无机NBT基薄膜储能电容器,避免了后续剥离转移等工艺,在一定程度上降低了生产成本。该薄膜电容器具有超高储能密度81.9J/cm3、储能效率64.4%,优异的宽温热稳定性25-200°C,在弯曲半径低至2mm及小半径重复弯曲103次后仍然无性能性能退化。这是无铅介电储能薄膜材料方面取得的重要进展,也是柔性全无机介电储能电容器研究中的一个重大突破,有望推进柔性储能器件的技术革新。
文献链接:Fatigue-Free and Bending-Endurable Flexible Mn-Doped Na0.5Bi0.5TiO3-BaTiO3-BiFeO3 Film Capacitor with an Ultrahigh Energy Storage Performance (Advanced Energy Materials, 2019, DOI: 10.1002/aenm.201803949)
本文由济南大学杨长红副教授团队供稿,材料人编辑部Alisa编辑。
欢迎大家到材料人宣传HTH官网地址 成果并对文献进行深入解读,投稿邮箱: tougao@cailiaoren.com.
投稿以及内容合作可加编辑微信:cailiaorenVIP.





