【引言】
刺激响应性聚合物囊泡由于其固有的中空结构和药物对环境刺激的“按需”释放而在药物递送应用方面中引起了人们极大的关注。聚合物囊泡的药物释放动力学通常取决于聚合物囊泡的刺激响应行为,对治疗功效具有很大影响。在过去的十年中,聚合诱导的自组装(PISA)已被证明是制备聚合物囊泡的有效方法。然而,通过PISA制备具有可调节药物释放动力学的刺激响应性囊泡的报道却很少,这可能是由于PISA系统中功能性成核(膜)聚合物的选择性比较单一。本文通过(甲基丙烯酸二异丙基氨基)乙酯(DIPEMA)和甲基丙烯酸苄酯(BzMA)的RAFT分散共聚制备了一系列具有不同pH响应行为的囊泡。疏水性P(DIPEMA-co-BzMA)嵌段中DIPEMA单元的含量和P(DIPEMA-co-BzMA)的DP均对囊泡的pH响应行为有很大影响,可用于调节同一pH转换下囊泡中RhB的释放速率。
【成果简介】
在过去的几十年中,通过后聚合方法自组装嵌段共聚物常用于制备聚合物囊泡,但该策略限于非常低浓度的聚合物(<1wt%)。 近年来,聚合诱导自组装(PISA)由于其可以在高浓度(10%-50%)条件下处获得各种形貌(球形胶束,纳米线,囊泡等)的聚合物纳米颗粒的而引起了极大的关注。此外,PISA将聚合和自组装结合在一锅中进行,这极大地简化了聚合物纳米颗粒的制造过程。
刺激响应性聚合物囊泡能够对外部环境如pH, 温度,光产生响应从而引发药物的“按需”释放,因此其在药物递送应用方面中引起了人们极大的关注。一般来说,药物的缓释能够减少给药频率,从而改善病人的生活质量。但是,在一些情况下,如癌症治疗中,药物在细胞质中的快速释放能够抑制癌细胞的耐药性的产生,因此比缓释有更好的治疗效果。总的来说,药物的释放行为对治疗效果有很大的影响。
近日,中国科学技术大学的洪春雁教授和张文建副研究员(共同通讯),研究生徐效飞(一作)等人在Macromolecules上发表了一篇题为 “Polymerization-Induced Self-Assembly Generating Vesicles with Adjustable pH-Responsive Release Performance” 的文章,以聚乙二醇(PEG)为大分子链转移剂通过甲基丙烯酸2-(二异丙基氨基)乙酯(DIPEMA)和甲基丙烯酸苄酯(BzMA)的RAFT分散共聚合合成了一系列pH响应的囊泡。囊泡膜内DIPEMA的叔胺基团赋予囊泡pH敏感性。在酸性溶液中,DIPEMA的叔胺基团被质子化,导致囊泡膜内P(DIPEMA-co-BzMA)嵌段的亲水性增加。疏水性P(DIPEMA-co-BzMA)嵌段中DIPEMA/BzMA的摩尔比和P(DIPEMA-co-BzMA)的聚合度(DP)对囊泡的pH响应动力学以及负载物的释放动力学都具有很大影响。
【图文导读】
图1. 使用PEG-CPADB作为大分子链转移剂,通过DIPEMA和BzMA的RAFT分散共聚合制备pH响应性囊泡

图2. DIPEMA与BzMA的RAFT分散共聚合动力学

(A)PEG-CPADB在CDCl3中的1 H NMR谱图。
(B)DIPEMA(黑色方块)和BzMA(红色圆圈)的在不同聚合时间时的转化率。在乙醇/水混合物(80/20,w / w)中,[DIPEMA&BzMA]0 / [macro-RAFT]0 / [AIBN]0 = 80:1:1/3的摩尔比进行聚合(DIPEMA/BzMA = 3/7,固含量 = 15wt%)。
图3 . DIPEMA和BzMA的RAFT分散共聚合制备的囊泡的TEM图像以及所得囊泡的pH响应性行为

(a)D7B3-80,(b)D5B5-80,(c)D3B7-80,(d)D5B7.5-80,和(e)D1B9-80;
(f)D7B3-80和(g)D5B5-80在乙醇/水(8/2,w / w)和酸性水溶液(pH = 4.0)中(黑线:乙醇/水;红线:酸性水溶液)的DLS数据。(h)D3B7 -80,(i)D2.5B7.5 -80和(j)D1B9 -80在酸性水溶液(pH = 4.0)中的TEM图像。D表示PDIPEMA,B代表PBzMA,80代表P(DIPEMA-co-BzMA)的聚合度为80,D和B下标数字的比值是DIPEMA/BzMA的投料比。
图4. 疏水性链段的聚合度(DP)对囊泡pH响应行为的影响

(a)在0下,样品D3B7-100和D3B7-150的粒径随时间的变化;
(b)D3B7-100和(c)D3B7 -150的在不同条件下的TEM图像。
图5. RhB存在时,通过DIPEMA和BzMA的RAFT分散共聚合制备的负载RhB的囊泡的TEM图像

(a) D5B5 -80@RhB;(b) D3B7 -80@RhB;(c) D2.5B7.5 -80@RhB;(d) D1B9 -80@RhB;
(e) D3B7 -100@RhB;(f) D3B7 -150@RhB。D表示PDIPEMA,B代表PBzMA,破折号后面的数字80、100、150代表P(DIPEMA-co-BzMA)的聚合度分别为80、100、150,D和B下标数字的比值是DIPEMA/BzMA的投料比,@RhB表示负载RhB的囊泡。
图6 荧光光谱和1H NMR谱图

(A)包封在囊泡中的RhB(样品D3B7-80 @ RhB)的荧光发射光谱和等量的从囊泡释放出的RhB的荧光发射光谱(样品D3B7-80 @ RhB);
(B)负载RhB的囊泡(样品D3B7-80 @ RhB)的1H NMR谱图。
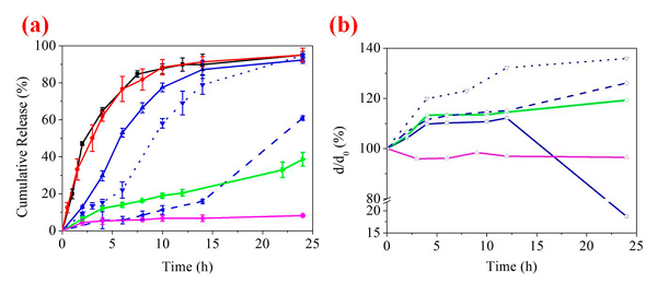
图7. pH响应性药物释放动力学和囊泡的pH响应性粒径转变

(A)负载RhB的各种聚合物囊泡在pH 4.0时RhB的累积释放曲线:黑线,D7B3-80 @ RhB; 红线,D5B5-80 @ RhB; 蓝色/实线,D3B7-80 @ RhB; 蓝色/点线,D3B7-100 @ RhB; 蓝色/虚线,D3B7-150 @ RhB; 绿线,D5B7.5 -80 @ RhB; 粉色线,D1B9 -80 @ RhB;
(B)负载RhB的各种聚合物囊泡在pH 4.0时的粒径转变:蓝色/实线,D3B7-80@RhB; 蓝色/虚线,D3B7-100@RhB; 蓝色/虚线,D3B7-150@RhB; 绿线,D5B7.5 -80@RhB; 粉色系,D1B9-80 @ RhB
图8. 负载RhB的各种聚合物囊泡在pH 4.0孵化不同时间后的TEM图像

(a)D5B5-80 @ RhB;(b)D2.5B7.5-80 @ RhB;(c)D1B9 -80 @RhB;
(d)D3B7-80 @ RhB;(e)D3B7-100 @ RhB;(f)D3B7-150 @ RhB。
【小结】
本文通过DIPEMA和BzMA的RAFT分散共聚合制备了一系列具有不同pH响应行为的囊泡。疏水性P(DIPEMA-co-BzMA)嵌段中DIPEMA单元的含量和P(DIPEMA-co-BzMA)的DP均对囊泡的pH响应行为具有很大影响,并用于调控负载物的响应性释放动力学。P(DIPEMA-co-BzMA)嵌段中较高DIPEMA含量导致RhB的爆释。较长的P(DIPEMA-co-BzMA)链段导致RhB的释放速率较慢,因为其较严重的链缠结导致形成pH响应性跨膜通道的时间更长。具有可控的响应性和药物释放动力学的囊泡可能会引起材料科学领域的高度关注。
文献链接:Polymerization-Induced Self-Assembly Generating Vesicles with Adjustable pH-Responsive Release Performance(Macromolecules,2019,DOI: 10.1021/acs.macromol.9b00144)
本文由材料人编辑部高分子学术组水手供稿,材料牛编辑整理。
材料牛网专注于跟踪材料领域HTH官网地址 及行业进展,这里汇集了各大高校硕博生、一线科研人员以及行业从业者,如果您对于跟踪材料领域HTH官网地址 进展,解读高水平文章或是评述行业有兴趣,点我加入材料人编辑部。参与高分子话题讨论或了解高分子组招募详情,请加高分子交流群(298064863)。
材料测试、数据分析,上测试谷!





