【引语】
干货专栏
材料人现在已经推出了很多优质的专栏文章,所涉及领域也正在慢慢完善。有很多小伙伴已经加入了我们,但是还满足不了我们的需求,期待更多的优秀作者加入,有意向的可直接微信联系 cailiaorenVIP。我在材料人等你哟,期待您的加入!
一、背景介绍
为了满足现代社会的能源需求,寻求可持续、清洁和高效率的能源生产尤为重要。电解水是一种高效的可持续氢生成途径,被认为是未来可再生能源生产、储存和使用的有效方法。电解水由两个半反应组成,分别是阴极析氢Hydrogen evolution reaction(HER)和阳极析氧Oxygen evolution reaction(OER)。其中HER是两电子转移反应而OER是一个四电子-质子耦合反应,需要更高的能量(更高的过电位),使得析氧过电位远高于水的理论分解电压(1.23V)。高效OER催化剂的设计和合成是提高水电解制氢能效的关键。目前最有效的OER催化剂是贵金属铱和钌的氧化物(IrO2和RuO2等),但其稀缺性和高成本性严重限制了其大规模应用。近几十年来,大量的文章报道了具有显著OER活性的材料,如钙钛矿,尖晶石,层状结构类型材料,金属硫族化物,金属氮族化物,金属有机化合物,非金属电催化剂等等。
二、OER反应机理
OER析氧反应是四电子转移过程,其机理非常复杂,反应动力学缓慢,因此过电位高,这是限制电解水效率的关键因素。电解水的总反应是:2H2O
2H2 + O2



蓝色线表示酸性/红色线表示碱性条件下OER反应机理。黑色线表示O的演化涉及中间体过氧化氢(M-OOH)的形成,而两个相邻的氧(M-O)直接反应生产氧气(绿色)也是可以的。
热力学过程:OER催化剂用于促进电化学反应(涉及电荷转移反应)。它既可以在电极表面修饰,也可以作为电极本身。一般来说,OER电催化剂的主要作用是将反应物吸附在表面形成吸附中间体,从而促进电极与反应物之间的电荷转移。OER电催化剂的过电位(η)、
交换电流密度(i0)、Tafel斜率(b)等电催化动力学参数可以较好地评价电催化剂的性能。这些参数是至关重要的,可以提供有关电化学反应机理的深刻信息。电荷转移反应式:
![]()
三、OER测试手段
反应机理虽然清楚了,但在动手实践做实验过程中不免会遇到很多问题,小编总结了一下大家在实验过程中问过最多的问题,快来看看有没有你的问题。在测LSV极化曲线时,所加过电势为0时,电流却大幅度偏离0,怎么办?稳态Tafel曲线有什么意义,怎么测量?电催化剂的稳定性如何测量,有什么常规方法?电解质中的杂质对催化活性有何影响?如何解决电解质中的杂质问题?TOF的计算方法如何?有何难点?如何与其他工作进行对比?下面在理论和实践上为你解疑答惑,带你上王者!
1.电极的制备
催化剂材料为粉末时,需要将催化剂粉末分散在乙醇和去离子水混合溶液中,加入萘酚溶后混合超声处理,然后取一定的混合溶液分散在预处理的玻碳圆盘上,干燥后待用。若催化剂材料是长在导电基底上,则可以直接裁剪出合适的形状后直接用作电极。
2.电化学三电极测试系统
电化学测定的数据由电化学工作站完成,将制作好的电极作为工作电极,碳棒/Pt丝作为对电极,Ag/AgCl,Hg/HgO或饱和甘汞电极作为参比电极组装成三电极测试系统,以单独研究工作电极的催化性能。电解液分为酸性1.0M H2SO4溶液和碱性1.0M KOH溶液,并且在测试前需电解液中通入一段时间的O2,以确保参比电极的稳定性。

3.极化曲线LSV
极化曲线由线性伏安法测得,扫速足够慢,一般1-5mV/s,电极表面基本处于稳态,此时电流随电压的响应即为极化曲线。稳态的电流全部是由于电极反应所产生的,它代表着在电极反应进行的净速度。测试前先要进行几十个CV循环,并保证扫速足够小,以确保LSV曲线的准确性和稳定性。在极化曲线测试时,为了补偿工作电极和参比电极之间的欧姆压降,需要对工作电极进行iR补偿。iR补偿通常分为自动补偿和手动补偿,自动补偿是仪器自带的功能,在测试过程中进行补偿,测试得到的LSV曲线是补偿之后的曲线。手动补偿是根据溶液电阻R和电流I的乘积对测得的曲线进行修正,LSV曲线有无iR补偿要特别指出。过电势(η)是评估催化剂性能的重要指标之一。在理想条件下,驱动特定反应的外加电压应该等于平衡时反应的势。然而在现实中应用中,为了克服反应电极的动力学势垒,通常施加的电势比平衡时高很多。根据能斯脱方程:

(E是外加电压,E0’是整个反应的电势,n是反应中转移电子的数量,F是法拉第常数,R表示大气压,T是绝对温度, Co和CR表示氧化和还原物浓度。)
过电势(η):
(Eeq是平衡电势)
同一电流密度下,过电位越小,或同电势下,电流密度越大,表示催化性能越好。

问题:在测LSV极化曲线时,所加过电势为0时,电流却大幅度偏离0,怎么办?
回答:由极化曲线的定义可知,如所加过电势为0而电流大幅度偏离0时,此时电极表面并没有处于稳态,所以此时只要降低扫描速率使电极表面达到稳态即可。
4.塔菲尔斜率曲线
在实际应用中,为了使电流密度(i)增大,需要施加高过电位(η)。一般来说,希望过电位(η)越小,对应的电流密度(i)增长越快。电流密度(i)和过电位可以用已知的Butler-Volmer方程来描述:

在高阳极过电位条件下,整体电流主要来自阳极端部,而阴极部分的贡献可以忽略不计。因此,Butler-Volmer方程可以简化为:

也称为Tafel方程。
将Tafel方程转化为对数函数形式:

据此公式计算交换电流密度(i0)和Tafel斜率(b)。
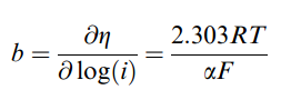
Tafel斜率(b)可以表示为:
由此可知Tafel斜率(b)的定义为:电流对过电位(η)的增长速度及其值主要取决于传递系数。Tafel斜率(b)越小,说明电流密度增长越快,过电位(η)变化越小(即,反应速率常数较快),说明电催化性能越好。Tafel斜率(b)是揭示反应机理的重要参数,特别是在阐明速率决定步骤方面。不同的塔菲尔斜率值意味着不同的速率决定步骤,塔菲尔斜率越小,表明速率决定步骤在多电子转移反应的末端,这通常是一个好的电催化剂的标志。

问题:稳态Tafel曲线有什么意义,怎么测量?过渡金属(Fe,Co, Ni,Mn)的OER活性顺序?
回答:稳态Tafel曲线是有稳态的LSV极化曲线转化而来,Tafel斜率越小,说明电流密度增长越快,过电位(η)变化越小,说明电催化性能越好。塔菲尔斜率越小,表明速率决定步骤在多电子转移反应的末端,这通常是一个好的电催化剂的标志。通过Tafel曲线,在origin中运用斜率插件,测出Tafel曲线的斜率。过渡金属的OER活性顺序:Ni>Co>Fe>Mn。
5.电化学阻抗(EIS)
电化学阻抗法是用小幅度交流信号扰动电极,观察体系在稳态时对扰动的跟随情况。交流阻抗法已成为研究电极过程动力学以及电极界面现象的重要手段。交流阻抗法通过在很宽频率范围内的阻抗图谱来研究电极体系,可以检测电极反应的方式(如电极反应的控制步骤是电荷转移还是物质扩散,或是化学反应), 测定扩散系数及转移电子数等有关反应的参数,推测电极的界面结构和界面反应过程的机理,因而能得到比其它常规电化学方法更多的动力学和有关界面结构的信息。Conway等通过电化学吸附过程的交流阻抗谱法,研究氢在铂单晶电极上欠电位吸附(UPD)和析出反应(HER)的动力学过程。交流阻抗测试可以得到溶液电阻R,也即是iR补偿中的R。通过拟合阻抗谱,可以评估催化电极的电阻和电导率,部分揭示OER反应机理。

问题:电极导电性如何测量,对OER性能有什么影响?
回答:电极导电性通过电化学阻抗的拟合阻抗谱的半圆直径,测量电极的电阻,电阻越小代表电极导电性越好。电极导电性越好,电子转移速度越快,OER电催化性能越好。
6.电化学活性比表面积(ESCA)
在线性扫描过程中,电极上的电流由两部风组成:一部分用于双电层充放电的电流ic,这部分电流称为非法拉第电流;还有一部分电流用于电化学反应,称为法拉第电流if。I=ic+if。其中ic非法拉第电流又分为两部分:一部分是当电极电位发生变化时,对双电层充放电,进而改变电极/溶液界面的荷电变化产生的电流;另一部分是电容发生变化时,引起的双电层电流的改变。
当电势扫描范围比较小时,双电层电容近似保持不变,即是上式中的第二项为零。而线性扫描速率不变,即电势随时间的变化是一个常数,当用双电层电流对扫描速率作图时,得到的时一条直线,得到直线的斜率即是双电层电容Cdl。双电层电容和催化剂活性比表面积成正比。在测试循环伏安(CV)时要选择没有发生氧化还原的电压范围,得到的CV曲线应是标准的类矩形。电化学活性比表面积与催化性能成正比。

7.稳定性测试
稳定性测试:稳定性测试可以用计时电流法或者计时电位法,评估催化剂的稳定性。计时电流法稳定性测试,通过控制电压技术,控制工作电极的电压,同时测定工作电极的电流随时间的变化。计时电位法反之。

问题:电催化剂稳定性的有何局限?怎样的测试方法相对而言比较准确?
回答:计时电流法和计时电位法在测量电催化剂稳定性时,都有一个局限,就是只能在同一电流或同一电压下进行测量。相对而言,多步计时电流法,即控制电压,从无电化学反应的电位阶跃到发生电化学反应的电位,同时测量流过电极的电流随时间的变化。这样可以同时测量不同电位下电催化剂的稳定性。
参考文献
1.M.B. Stevens, L.J. Enman, A.S. Batchellor, M.R. Cosby, A.E. Vise, C.D.M. Trang, S.W. Boettcher, Measurement Techniques for the Study of Thin Film Heterogeneous Water Oxidation Electrocatalysts, Chem. Mater., 29 (2016) 120-140.
2.T.Y. Ma, S. Dai, M. Jaroniec, S.Z. Qiao, Metal-organic framework derived hybrid Co3O4-carbon porous nanowire arrays as reversible oxygen evolution electrodes, J. Am. Chem. Soc., 136 (2014) 13925-13931.
3.Nai, Y. Lu, L. Yu, X. Wang, X.W.D. Lou, Formation of Ni-Fe Mixed Diselenide Nanocages as a Superior Oxygen Evolution Electrocatalyst, Adv. Mater., 29 (2017).
4.Chauhan, K.P. Reddy, C.S. Gopinath, S. Deka, Copper Cobalt Sulfide Nanosheets Realizing a Promising Electrocatalytic Oxygen Evolution Reaction, ACS Catal., 7 (2017) 5871-5879.
5.Zeng, Y. Li, Recent advances in heterogeneous electrocatalysts for the hydrogen evolution reaction, J. Mater. Chem. A, 3 (2015) 14942-14962.
6.Barber, S. Morin , B.E. Conway,Specificity of the kinetics of H2 evolution to the structure of single-crystal Pt surfaces, and the relation between opd and upd H, J. Electroanal. Chem., 1998, 446: 125
7.Subbaraman, D. Tripkovic, K.C. Chang, D. Strmcnik, A.P. Paulikas, P. Hirunsit, M. Chan, J. Greeley, V. Stamenkovic, N.M. Markovic, Trends in activity for the water electrolyser reactions on 3d M(Ni,Co,Fe,Mn) hydr(oxy)oxide catalysts, Nat. Mater., 11 (2012) 550-557.
四、电催化OER大牛
1.俄勒冈大学Shannon W. Boettcher课题组
课题组链接:· https://wiki.uoregon.edu//display/BOETTCHERLAB/
研究成果:Angew. Chem. Int. Ed. 2018, 57;ChemSusChem 2018, 11, 1–8;J. Am. Chem. Soc., 2019, 141 (4), pp 1394–1405;PRL 112, 148304 (2014);ACS Appl. Mater. Interfaces, 2019, 11 (6), pp 5590–5594;J. Am. Chem. Soc., 2017, 139 (33), pp 11361–11364;Acc. Chem. Res., 2016, 49 (4), pp 733–740;J. Phys. Chem. Lett., 2015, 6 (18), pp 3737–3742;J. Am. Chem. Soc., 2015, 137 (10), pp 3638–3648;Chem. Commun., 2015, 51, 5261;Angew. Chem. Int. Ed. 2018, 57, 12840 –12844;

研究领域:太阳能电池,能源存储和转化,多相OER催化剂。
2.加州大学伯克利分校Alexis T.Bell 课题组
课题组链接:http://www.cchem.berkeley.edu/atbgrp/
研究成果: Green Chem., 2018, 20, 2903-2912; Phys. Chem. Chem. Phys., 2018, 20, 16973-16984;Catalysis Today 312 (2018) 51–65;: Chem. Commun., 2017, 53, 10870;T. Kessler et al. / Fuel 206 (2017) 171–179;Synlett 2017; 28(17): 2299-2302;J. Am. Chem. Soc. 137, 1305–1313 (2015).;Energy Fuels 29, 1743–1750 (2015).;J. Phys. Chem. C 119, 7243–7254 (2015).;J. Catal. 328, 111–122 (2015).;J. Am. Chem. Soc. 137, 9595–9603 (2015);J. Phys. Chem. C 119, 18303–18316 (2015).

研究领域:多相催化剂,
3.瑞士联邦理工学院Xile Hu课题组
课题组链接:http://lsci.epfl.ch/
研究成果:Nature communications, 2014, 5, 4477., Chemical Science 2 (7), 1262-1267,Angewandte Chemie International Edition 51 (51), 12703-12706, Energy & Environmental Science 4 (10), 3878-3888, Energy & Environmental Science 8 (8), 2347-2351, Energy & Environmental Science 7 (1), 387-392, Journal of the American Chemical Society 136 (47), 16481-16484,Chemical Science 3 (8), 2515-2525, Journal of the American Chemical Society 129 (29), 8988-8998,Nature communications 7, 12324, Journal of the American Chemical Society 137 (31), 9927-9936,Journal of the American Chemical Society 138 (28), 8946-8957.

研究领域:有机金属化学,太阳能燃料,电催化,光催化,无机材料。
4.大连理工大学Licheng Sun课题组
课题组链接:http://solar.dlut.edu.cn/
研究成果:Nature Commun. 2018, 9, 381.;Adv. Energy Mater. 2018, 8, 1702598.;Adv. Funct. Mater. 2018, 28, 1803278.;Adv. Funct. Mater. 2018, 28, 1801397.;Adv. Funct. Mater. 2018, 28, 1704447.;ACS Catal. 2018, 8, 4612-4621.;ACS Catal. 2018, 8, 4375-4382.;CHEMSUSCHEM 2018, 11, 1761-1767.;Chem. Commun. 2018, 54, 4979-4982.;ChemElectroChem 2018, 5, 2064-2068.

研究领域:电催化,光催化,太阳能电池,新型储能器件。
5.斯坦福大学Hongjie Dai课题组
课题组链接:http://web.stanford.edu/group/dailab/
研究成果:Science 273 (5274), 483-487;science 287 (5453), 622-625;science 319 (5867), 1229-1232;Science 280 (5367), 1253-1256;Science 283 (5401), 512-514;Nature 386 (6624), 474;Nature materials 10 (10), 780;nature 424 (6949), 654;Nature 384 (6605), 147;Journal of the American Chemical Society 133 (19), 7296-7299;Journal of the American Chemical Society 135 (23), 8452-8455;Journal of the American Chemical Society 134 (7), 3517-3523;Nature communications 5, 4695;Nano Research 8 (1), 23-39;Proceedings of the National Academy of Sciences 102 (45), 16141-16145;Science 342 (6160), 836-840.

研究方向:新型纳米材料,物理化学,电催化和铝离子电池
本文由材料人HTH官网地址 顾问 luna 供稿,材料人编辑部Alisa编辑。
欢迎大家到材料人宣传HTH官网地址 成果并对文献进行深入解读,投稿邮箱: tougao@cailiaoren.com.
投稿以及内容合作可加编辑微信:cailiaorenVIP.





