【引语】
重大突破专栏
材料人现在已经推出了很多优质的专栏文章,所涉及领域也正在慢慢完善。有很多小伙伴已经加入了我们,但是还满足不了我们的需求,期待更多的优秀作者加入,有意向的可直接微信联系 cailiaorenVIP。我在材料人等你哟,期待您的加入!
多孔材料包括共价有机骨架材料(COFs)、共轭微孔聚合物(CMPs)、多孔芳香骨架材料(PAFs)等,是一类新型的具有高比表面积、丰富孔内环境的多孔高分子材料。这类材料在气体吸附与贮存、催化、电子等领域表现出优异的应用前景。有机多孔材料到底有多厉害呢?最近又活跃在什么领域?就跟随小编一起去开开眼界吧!
一、骨架的“魔鬼身材”从基因重塑开始
前段时间基因编辑婴儿被推倒风口浪尖,通过基因编辑技术把发生改变的错误的DNA序列剪下来,使人类拥有更加强大的记忆、免疫力、智力甚至是更长的寿命。这一点在有机多孔材料中得以实现,最重要的是符合伦理道德哟。材料基因组计划(MGI)正引领一种崭新的材料研发模式,基于材料基因组学理念构筑出具有丰富拓扑类型和孔道化学性质的庞大结构空间,以用于识别最佳的可能材料,为实验研究人员提供理论指导,进而达到提高新材料研发效率和降低人力物力成本的目标。
最近,北京化工大学仲崇立教授科研团队通过模仿COFs的自然生长过程,开发出了一种基于“似反应连接组装算法”(QReaxAA)的高通量材料构筑算法。该材料基因组学构筑方法可高效率地组装出COF结构,满足高通量计算材料设计与筛选的需求,促进COF材料新结构的定向合成。他们与上海有机所的赵新教授课题组合作,成功定向合成出两个具有ffc拓扑的3D-COFs及两个具有现有hcb拓扑的2D-COF新材料。
如图1a所示,该工作中材料基因组学研究思路的第一步是建立用于COF结构构筑的基因库。MOFs通常采用有机配体和金属盐溶液进行合成,其中即使采用相同的两者,最终所合成材料的次级无机结构单元类型取决于反应合成条件,很难提前进行预测。与此不同,COF合成是基于有机单体(或分子)的缩聚反应,并且单体的原始构象基本上仍会保持在所得材料结构中。考虑到这一特征,该工作提出一个命名为“遗传结构单元”(GSUs)的材料基因概念,它是通过模仿COF材料自然生长过程,衍生得到的带有反应位点信息的结构单元,因此具有遗传性(图1b),进而建立了一个包含130种GSUs的材料基因库,并将其分成连接中心、配体和官能基团三种类型。
图1

通过模仿COF材料的自然生长过程,开发出了一种基于“似反应连接组装算法”(QReaxAA)的高通量构筑方法,对2D和3D材料的自组装构筑具有很高的成功率(图2)。为了方便地生成各种COF结构和提高组装成功率,该构筑方法采用三种不同的几何定位方式来连接各种GSU中预先设定的反应位点,并针对2D材料的大规模构筑,提出一种“自适应算法”来解决如何设置材料层间距的问题。
图2

该工作利用提出的基因组学构筑方法,实现了目前最大COF材料结构库(471,990万)的建立,其中不仅涵盖实验已报道的材料结构,而且在构筑的471,671个COF材料中还发现10种尚未报道的拓扑结构(图3)。
图3

为了对所提出的材料基因组学构筑方法进行概念示例验证,该工作通过实验对一些设计的COFs进行了定向合成。与2D-COFs相比,3D-COFs的合成具有非常大的挑战性,尤其是迄今尚未报道的拓扑结构。当前已知的3D材料均是基于具有四面体或八面体空间立体结构的GSUs,然而所设计的ffc拓扑结构,使用的是具有四边形几何形状的GSU作为核心构建单元,其四连接的平面状图案与现有3D-COFs的构筑方式形成了鲜明对比。鉴于此,他们成功地展示了两个具有ffc拓扑材料的定向合成,同时还合成出两个具有现有hcb拓扑的2D-COF新材料,以丰富COFs的化学结构(图4)。
图4

该工作不仅为高通量材料构筑提供了有用的方法和工具,而且可为如何基于材料基因组学思想进行新材料开发给予借鉴,有助于材料研发模式的变革,使材料开发更环保和高效。相关研究成果发表在自然通讯上(Nature Communications, 2018, 9: 5274),共同第一作者是兰友世、韩向豪和童敏曼,共同通讯作者是阳庆元教授、赵新教授和仲崇立教授。
二、我的光不仅照亮自己也可以照亮世界,来和我正面刚!
尽管三维COF在吸附与分离、催化等方面具有独特优势,但由于在合成、结构解析方面存在较多困难,相关报道较少。针对三维COF构筑基元有限以及拓扑结构匮乏的问题,武汉大学汪成教授课题组提出了[4 + 4]拓扑结构设计策略,即由四面体节点与四边形连接单元构筑成三维框架结构, 鉴于三维COF结构及性质方面的优越性,汪成课题组在先前工作的基础上将典型的聚集诱导发光基团(AIEgens)——四苯乙烯(TPE)引入三维框架,以期获得性能独特的多孔材料(如图5)。由于TPE具有优良的固态发光效率和灵活的荧光调控性,在光电转换以及荧光传感等领域应用广泛,因而将TPE基团引入三维COF材料有望赋予COF独特的性质。考虑到COF的刚性骨架可以限制TPE分子内的振动、转动,因此所得的三维COF有可能具有荧光特性,一方面可为理解AIE产生机理提供新平台,另一方面有望开拓更多不同的应用领域,比如传感、光电子器件等。
图5. 3D-TPE-COF的合成

基于此,他们采用[4+4]亚胺反应构筑了基于四苯乙烯的三维COF(3D-TPE-COF),并联合北京大学孙俊良研究员课题组利用连续旋转电子衍射确定其晶体结构(如图6所示)。
图6. 3D-TPE-COF的XRD以及晶体结构示意图

研究表明,3D-TPE-COF具有较高的热稳定性及化学稳定性,而且在450 nm蓝光激发下可发出黄色荧光。进一步,他们将该COF材料均匀涂覆到日常使用的450 nm峰值波长的蓝色发光二极管(LED)表面,点亮后器件发出白光,成功地制备了第一个基于COF的白色发光二极管(如图7所示)。值得注意的是,该器件在电流驱动下连续工作1200小时后,亮度未见任何衰减,表明其具有较高的稳定性和实用价值。此研究为后续三维COF材料的应用拓展奠定了重要的实验基础。
图7. LEDs的表征

(a) CIE-1931色坐标示意图,蓝光LED (0.15, 0.03; A), 3D-TPE-COF (0.38, 0.57; B) (λex= 450 nm), 3D-TPE-COF涂覆的LED (0.30, 0.35; C). (b) 3D-TPE-COF涂覆的WLED的光强随时间变化图(驱动电流2 mA). LEDs照片(c) 未点亮的参比蓝光LED, (d) 点亮的参比蓝光LED, (e) 未通电的3D-TPE-COF涂覆的LED, (f) 通电后3D-TPE-COF涂覆的LED发白光.
该研究成果发表于Nature Communications. An AIEgen-Based 3D Covalent Organic Framework for White Light-Emitting Diodes. Nat. Commun. 2018, 9, 5234. (DOI: 10.1038/s41467-018-07670-4),得到了国家自然科学基金、湖北省创新团队以及北京分子科学国家实验室的支持。
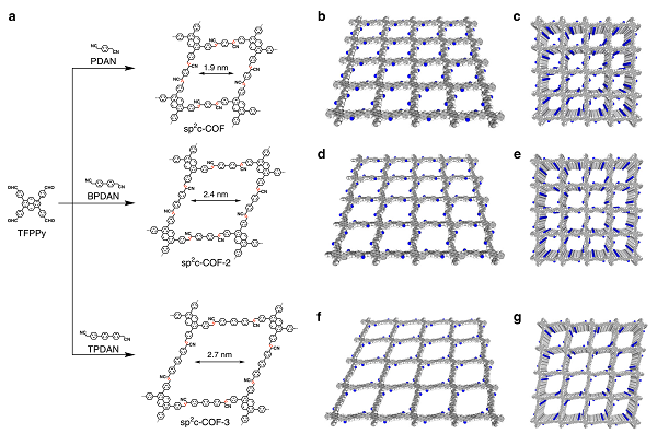
另外,COFs可以通过拓扑关系图进行预设计,该拓扑关系图支持基于不同几何形状的建筑单元组合开发各种网格。为合成不同空间基团的光功能化和半导体化的COFs探索了多种生色团, 但是目前缺乏一种合适的结合稳定性与发光性的键联结构,导致稳定COFs的荧光强度较低,且荧光COFs的化学稳定性较差,最近新加坡国立大学江东林教授团队设计合成的sp2杂化碳-共轭框架的COF结果,将有机骨架的稳定性和发光活性结合在一起。碳碳双键的拓扑结构中连接1,3,6,8-tetrakis(4-formylphenyl)pyrene作为节点,2,2’-(1,4-phenylene)diacetonitrile等作为配体被设计成π-π共轭(如图8)。在x和y方向上生长成二维sp2碳晶格的层状结构,大π键创建了异常稳定的骨架。即使浸泡在酸碱溶液中或长时间暴露在空气中骨架结构依然非常稳定。所得到的骨架能够调整连接体的带隙和发射,在各种条件下都具有很高的发光性能,并且可以剥落,产生明亮的纳米薄片。
图8. sp2c-COFs的设计与结构

sp2cCOF、sp2c-COF-2、sp2c-COF-3保留了15-20%的荧光量子产率。荧光寿命测定表明,这些分散在不同溶剂中的sp2c- cof具有1.3-3.0 ns的荧光寿命。因此,sp2c-COFs具有很高的发光性能,在各种溶剂中都具有很强的发光能力(图9)。固相样品sp2c-COF、sp2c-COF-2、sp2c-COF-3在497、475、462 nm处有电子吸收带,在622、606、和发射分别为609 nm,sp2c-COF、sp2c-COF-2、sp2c-COF-3固体的绝对荧光量子产率分别为14%、10%、6%相比之下,胺基芘COF在固态或分散在有机溶剂中时不发光。令人惊讶的是,sp2c-COF和sp2c-COF-2即使在室温下暴露于空气中1年,也能保持荧光波长、量子产率和寿命等发射特性长期以来一直追求稳定性与发光活性的结合;sp2碳共轭框架为设计发光稳定的材料提供了一个很有前途的平台。该研究成果发表于Nature Communications. Designed synthesis of stable light-emitting two-dimensional sp2 carbon-conjugated covalent organic frameworks. Nat. Commun. 2018, 9,4143 (DOI: 10.1038/s41467-018-06719-8)
图9. sp2c-COFs的发光特性。

a sp2c-COF、b sp2c-COF-2、c sp2c-COF-3的a – c固相吸收光谱(黑色曲线)和荧光光谱(红色曲线)。UV灯下分散在水中的sp2c-COF、sp2c-COF-2、sp2c-COF-3、模型化合物和TFPPy单体的d照片图像。e不同溶剂和固态下sp2c-COF(红色条)、sp2c-COF-2(蓝色条)和sp2c-COF-3(黑色条)的绝对荧光量子产额。sp2c-COF荧光衰减曲线(紫色曲线)、sp2c-COF-2荧光衰减曲线(蓝色曲线)、sp2c-COF-3荧光衰减曲线(红色曲线)。黑色曲线是仪器仪表。
三、催化抗氧化—这样—– 我可以永远18岁吗?
吉林大学方千荣教授联合美国特拉华大学Yushan Yan教授报告第一个基于盐酚基的3D COF的例子及其含金属的对应物(3D – M – Salphen -COFs)如图10。这些盐基COFs除了具有良好的化学稳定性外,还具有较高的结晶度和比表面积。此外,Cu(II)-Salphen COF在去除超氧自由基方面表现出较高的活性。众所周知,产生过量的O2•-会导致组织损伤和损坏,具有氧化还原活性金属中心的Salens或Salphens被认为是催化O2•−的突变反应的主要催化抗氧化剂,类似于超氧化物歧化酶(SODs),然而,由于稳定性和可回收性的问题,盐酚的传统使用受到了很大的限制。因此,选择3D- M – Salpheno – COFs作为有效的氧自由基清除剂,是因为它们不仅具有较高的表面积、化学稳定性和可重用性。此外,与用于去除超氧自由基的盐基金属配合物类似,该类COFs也具有生物相容性。
文章通过红外光谱及XRD表征了材料的结构特征。通过BET测试显示JUC-508的表面积为1513 m2 g−1,JUC-508的表面积为1443 m2 g−1用非局部密度泛函理论计算了3D-Salphen-COFs的孔径分布显示JUC-508和JUC-509的孔隙大小为1.3 nm及1.2 nm。值得注意的是,一些非晶态金属辅助Salphen有机框架(MaSOFs)由类似的建筑单元构建。因为它们具有较高的结晶度,3D-Salphen-COFs具有更高的表面积(MaSOFs < 820 m2 g−1)和较大的规则孔隙(MaSOFs < 0.6 nm),随后进一步探讨了COFs在去除超氧自由基阴离子(O2•−)中的应用。
图10. 3D- M – Salpheno – COFs设计路线

图11.

JUC-509- Cu (a)、JUC-509- Mn (b)、JUC-509- Eu (c)、JUC-509 (d)在抗氧化实验中的吸附光谱。(f) JUC-509- Cu、JUC-509- Mn、JUC-509- Eu、JUC-509的可回收性研究。
通常情况下,O2•−是在阳光下,蛋氨酸和核黄素存在的情况下产生的,并与硝基四唑蓝氯(NBT)进一步反应形成深蓝色络合物,在紫外可见光谱约560 nm处表现出特征吸收。随着催化剂浓度的变化,3D – M – salpheno – COFs在清除超氧自由基方面具有不同的活性。其中,JUC-509-Eu没有明显的抗氧化活性,而JUC-509-Cu表现出最好的性能(去除率接近100%,仅为0.875 mg/ mL),这可以归因于Cu(II)离子具有较高的催化作用。作为对比,无金属的原始材料,JUC-509,在相同的条件下进行了测试,没有发现O2•−被去除的证据(图11d,e),这进一步证明了氧化还原活性金属中心在抗氧化活性中的关键作用。本研究成功制备的基于salphen的三维COFs不仅为构建三维功能化COFs开辟了新的途径,而且还将拓展COF材料在生物学和医学上的应用。相关成果以题为“Three-dimensional Salphen-based Covalent-Organic Frameworks as Catalytic Antioxidants”的文章在线发表在J. Am. Chem. Soc.上
四、开放通道,奉献自我,实现离子高速传导
具有合适通道的共价有机骨架(COFs)能够容纳离子并提供离子的传导途径,具有良好可调谐性的开放通道除了具有电绝缘性外,还可作为研究原子精细骨架内离子输运行为的理想平台,这对于实现具有高离子传导能力的固体电解质具有重要的基础意义。尽管困难重重,但已经有一些开创性的研究报道了提高它们的离子导电性,例如,设计具有开放金属位点的MOFs,制备阳离子COF纳米薄片,机械地将COFs塑造成良好的定向,将柔性链共价锚定到孔壁等。然而,这些离子导体通常包括一些残留在通道中的液体电解质,以加速离子对的离解和离子输运。这些有机液体在高温下会不可避免地带来汽化、泄漏、易燃性等安全隐患。
在前期工作中( Angew. Chem. Int. Ed., 2017, 56 , 16313,第一作者为博士生张媛媛,通讯作者为冯霄),该团队曾成功开发出基于环糊精的三维共价有机骨架材料(CD-COFs),该系列COFs为首次利用柔性基元构筑的具有 rra 拓扑学结构并通过离子型硼元素连接的三维COFs材料。其中,CD-COF-Li的室温锂离子电导率可以达到2.7 mS cm-1。然而,其中残留的微量电解液可能会在实际应用过程中带来一定的安全隐患。为解决这一问题,该团队将低分子量聚乙二醇(PEG)装载入COF孔道中加速锂离子传导,制备出没有溶剂残留的全固态电解质,并系统性研究了COF骨架电荷对于锂离子传导行为的影响,实现大于0.6的锂离子迁移数以及120 °C 下1.8 mS cm−1的离子传导速率。这一简单的通过担载PEG加速离子传导并提高工作温度范围的策略为将多孔材料进一步应用于全固态电池领域提供了可能。一个多用途的促进离子传导的策略,可以充分利用晶体多孔材料的多样性,而不需要繁琐的合成过程,在很大程度上值得去探索。该研究工作发表在美国化学会志上,并被选为封面文章( J. Am. Chem. Soc. , 2019, 141, 1923),文章第一作者为硕士生郭振彬和博士生张媛媛,通讯作者为王博教授和冯霄教授。
图12. 封面文章,(a)COFs中Li+转运示意图及(b) COFs的结构


说了这么多,有机多孔材料本领还真是大,在茫茫的科研生涯上,小编也希望您可以发现各个领域的新奇观点。那个时候我们和它一教高下!
往期回顾:
梳理:近期Nature子刊报道的催化材料的最新进展
梳理:新型镁电池的最新发展动态
从顶刊文章看纳米复合水凝胶在药物递送领域的发展
全球顶尖仿生材料研究团队及其近期进展梳理
梳理:全球柔性可穿戴电子研究团队及其研究进展
材料人报告|近一年纳米领域的突破进展
本文由材料人HTH官网地址 顾问 Junas 供稿,材料人编辑部Alisa编辑。
欢迎大家到材料人宣传HTH官网地址 成果并对文献进行深入解读,投稿邮箱: tougao@cailiaoren.com.
投稿以及内容合作可加编辑微信:cailiaorenVIP.





