【引言】
胶体半导体纳米晶,通常称作量子点纳米颗粒,有着带隙尺寸可调、光致发光光谱窄和长期稳定性等独特的光电性质,近些年来在很多领域实现了商业化。材料的原子排布及键合方式会对材料性质产生很大影响,对于纳米尺度的原子团簇来说,样品尺寸小难于直接测量,此外,制备与团簇性质相同的块体样品也十分困难。鉴于以上情况,缺乏对纳米颗粒结构-性质关系的深入理解,阻碍了其进一步发展。
【成果简介】
近日,美国哥伦比亚大学/布鲁克海文国家实验室的Simon J. L. Billinge教授在Physical Review Letters上发表了题为“Size-Dependent Lattice Dynamics of Atomically Precise Cadmium Selenide Quantum Dots”的文章,文章共同通讯作者兼第一作者为Chenyang Shi博士。作者制备得到几克相同半导体量子点纳米颗粒,结合高能分辨率非弹性X射线衍射测量小样品量的氢化材料晶格动力学,测量CdSe量子点中声子态密度的尺寸效应。此外,作者可以在原子级别精确建立这些纳米颗粒的结构模型,进而通过密度泛函理论计算声子态密度,从实验和理论两个角度出发,证实了表面覆盖物质的种类在决定晶格动力学方面起着重要作用。
【图文导读】
图1:本工作中CdSe量子点的结构示意图,其化学组成和表面包覆配体(capping ligands)如图所示。

图2:CdSe纳米颗粒和块体材料的声子态密度。
(a)HERIX测量得到的声子态密度;
(b)DFT计算得到的声子态密度。
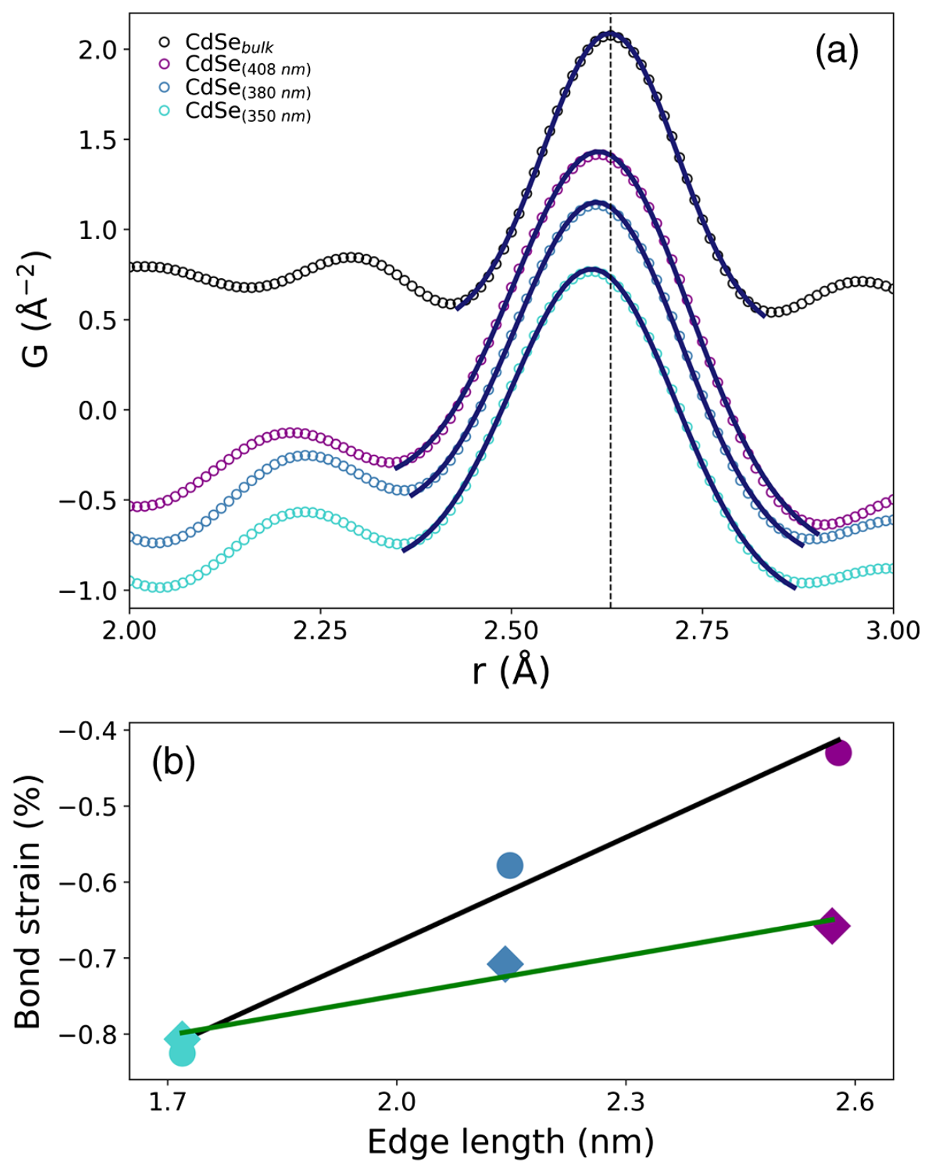
图3:CdSe量子点样品的对分布函数测量。

(a)温度为20K,实验测得CdSe纳米颗粒和块体CdSe的对分布函数;
(b)从对分布函数和DFT数据提取的键张力(bond strain)随纳米颗粒边缘长度变化情况。
【小结】
总的来说,作者借助同步辐射高能分辨率非弹性X射线衍射装置,测定了原子级精确的量子点颗粒的声子态密度。实验结果与原子对分布函数测量、第一性原理密度泛函理论计算相结合,提供了有关CdSe量子点纳米颗粒的结构、键合和动力学的关键信息。和块体材料比较,随着纳米颗粒尺寸增加,声学支出现蓝移。作者通过理论计算发现,蓝移对于计算中用到的拟配体(pseudo-ligand)的质量十分敏感,实际上,使用氢作为拟配体,会导致该分支中出现红移。这说明配体质量对纳米颗粒核的动力学光谱有着很强的影响,或许可以通过控制配体质量和覆盖范围来对材料的声子态密度光谱进行调控。
文献链接:Size-Dependent Lattice Dynamics of Atomically Precise Cadmium Selenide Quantum Dots(Phys. Rev. Lett.,2019,DOI:10.1103/PhysRevLett.122.026101)
本文由材料人计算材料组Isobel供稿,材料牛整理编辑。
欢迎大家到材料人宣传HTH官网地址 成果并对文献进行深入解读,投稿邮箱tougao@cailiaoren.com。
投稿以及内容合作可加编辑微信:cailiaokefu





