【引言】
由于钠资源丰富和成本低,使得钠离子电池(SIB)成为大规模电网储能最有前景的选择之一。然而,由于Na+的离子半径大,在其嵌入和脱出时通常伴随着大的体积变化和动力学过程缓慢等问题。因此开发合适的SIB电极材料是一个巨大的挑战。NASICON(钠超离子导体)凭借其稳定的三维框架和较大的钠离子通道被认为是一种极具吸引力的SIB电极材料。Na3V2(PO4)3是一种著名的NASICON结构电极材料。它具有117 mAhg-1的理论比容量,放电平台在3.4V左右。此外,还开发一系列更加廉价安全环保具有NASICON结构的电极材料(Na3MnTi(PO4)3、Na3MgTi(PO4)3等)用于储钠性能研究。然而,上述NASICON结构化合物的电化学反应中涉及的电子配位数量限于2。因此,探索具有三电子氧化还原反应和优异循环稳定性NASICON结构钠离子电池正极材料是一项重大的挑战。
【成果简介】
近日,武汉理工大学麦立强教授和周亮教授(共同通讯作者)通过喷雾干燥辅助法制备了Na3MnTi(PO4)3/C(NMTP/C)中空微球。有趣的是,得到的NMTP/C在2.1,3.5和4.0 V (vs Na+/Na)表现出高度可逆的三电子氧化还原反应,分别对应于Ti4+/Ti3+,Mn3+/Mn2+和Mn4+/Mn3+氧化还原电子对。可逆的三电子氧化还原反应赋予NMTP/C在0.2C的电流密度下具有160mAh g-1的高比容量。稳定和开放的NASICON框架确保了NMTP/C优异的循环稳定性(2C下500次循环后容量保持率为92%)。通过原位XRD研究了材料的储钠机理,发现在进行稳定可逆的三电子氧化还原反应时该材料的电化学反应过程是固溶与两相反应同时发生。组装NMTP/C-650 //碳的Na离子全电池,在0.5C时表现出139mAhg-1(基于正极材料的质量)的比容量。相关研究成果“Realizing Three-Electron Redox Reactions in NASICONStructured Na3MnTi(PO4)3 for Sodium-Ion Batteries”为题发表在Advanced Energy Materials上,该论文的第一作者为博士生朱婷。
【图文导读】
图一NMTP/C的结构和物相表征
(a)NMTP/C的Rietveld精修XRD图像
(b,c)Na3MnTi(PO4)3的示意性结构
(d,e,f)NMTP/C的TGA曲线、XPS光谱
图二NMTP/C的SEM和TEM表征
(a-d)a,b)SEM,c)TEM,和d)NMTP/C-650的HRTEM图像;
(e)相应的元素映射图像
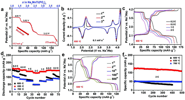
图三NMTP/C的电化学性能表征
(a)在放电过程中,电流密度为13.3mA g-1的NMTP/C-650的GITT曲线
(b)在1.5-4.2V (vs Na+/Na)的电化学窗口中,在0.1mV s-1的扫描速率下NMTP/ C-650的CV曲线
(c)NMTP/C-650在不同倍率下的充电/放电曲线
(d)NMTP/C-600,NMTP/C-650和NMTP/C-700的倍率性能
(e)NMTP/C-650在2C下的充电/放电曲线。
(f)2C下NMTP/C-600,NMTP/C-650和NMTP /C-700的循环性能
图四NMTP/C的充放电机理解释 
(a)在50mA g-1的恒电流充电/放电期间收集的NMTP /C-650的原位XRD图谱
(b)第一圈以及随后充放电过程中Na+脱嵌示意图
【小结】
该论文通过喷雾干燥辅助法制备了NMTP/C中空微球。与大多数NASICON结构材料不同,NMTP/C在2.1,3.5和4.0 V (vs Na+/Na)表现出完全可逆的三电子氧化还原反应,分别对应于Ti4+/Ti3+,Mn3+/Mn2+和Mn4+/Mn3+氧化还原电子对。NMTP/C在0.2 C时具有160 mAh g-1的高比容量且具有优异的循环稳定性(2C下500次循环后容量保持率92%),同时原位XRD揭示其储钠机理。这项工作阐明NASICON结构正极材料的合理设计,以实现过渡金属的多电子氧化还原反应。
文献链接:“Realizing Three‐Electron Redox Reactions in NASICON‐Structured Na3MnTi(PO4)3 for Sodium‐Ion Batteries”(Adv. Energy Mater.DOI:10.1002/aenm.201803436)
【麦立强教授课题组介绍】
麦立强教授课题组主要开展新型纳米储能材料与器件领域的前沿探索性研究,包括新能源材料、微纳器件、面向能源的生物纳电子界面等前沿方向。率先将纳米器件应用于电化学储能研究,重点开展了纳米电极材料可控生长、性能调控、器件组装、原位表征、电输运与储能等系统性的基础研究,取得了一系列国际认可的创新性成果。课题组近年来主持/承担了国家重点研究计划、国家国际HTH官网地址 合作专项、国家杰出青年基金、教育部“长江学者特聘教授”、创新团队发展计划、国家自然科学基金重点项目等20余项。目前,实验室在Nature,Nature Nanotechnology, Nature Communications, PNAS, JACS, Advanced Materials, Energy & Environmental Science, Nano Letter, Joule等国际著名期刊发表学术论文300余篇,包括Nature及其子刊11篇,影响因子大于10的100余篇,55篇论文入选ESI 近十年高被引论文,11篇入选ESI全球TOP 0.1%热点论文;取得授权国家发明专利90余项。获中国青年HTH官网地址 奖、光华工程HTH官网地址 奖(青年奖)、湖北省自然科学一等奖、侯德榜化工科学技术奖(青年奖)、中国新锐HTH官网地址 知社特别奖、EEST2018 Research Excellence Awards、Nanoscience Research Leader奖;入选“百千万人才工程计划”、国家“万人计划”领军人才,并被授予“有突出贡献中青年专家”荣誉称号,享受国务院政府特殊津贴;被评为英国皇家化学会中国“高被引学者”,入选英国皇家化学学会会士(Fellow of the Royal Society of Chemistry);指导学生获得 “中国青少年HTH官网地址 创新奖”(3届),全国大学生“挑战杯”特等奖(1届)、一等奖(2届)、二等奖(4届),中国大学生自强之星标兵(1届)和2014年大学生“小平HTH官网地址 创新团队” 等。
麦立强教授课题组链接:http://mai.group.whut.edu.cn
麦立强教授课题组微信公众号:MLQ_group
麦立强教授课题组近五年围绕一维纳米材料进行可控的结构设计与优化,构筑了一系列具有高能量密度、高功率密度、长循环寿命的储能材料及器件(Nature Communications, 2015, 6, 7402;Angewandte Chemie International Edition, 2017, 201707064; Nano Letters, 2016, 16, 2644–2650),撰写了相关综述(Chemical Reviews, 2014, 114: 11828–11862;Advanced Materials, 2017, 1602300;Accounts of Chemical Research, 2018, 51, 950−959; Joule, 2017, 08, 001);在国际上率先设计和组装了单根纳米线电化学器件,揭示了其容量衰减的本质(Nano Letters, 2016, 16, 1523–1529;Nano Letters, 2015, 15, 3879−3884);提出了原位监测电极材料的新型表征手段和技术,实时监测了电化学反应过程,深入解释了电池的工作机制(Nano Letters, 2015, 15, 3879−3884;Advanced Functional Materials, 2016, 1602134),并在Nature杂志上撰写发表了评述(Nature 2017 546,469)。不仅如此,还深入研究了多种能源存储及转化体系:锂离子电池(Advanced Materials, 2013, 25, 2969–2973),钠离子电池(Nature Communications, 2017, 8, 460; Advanced Materials, 2018, 1707122),锌离子电池(Advanced Energy Materials, 2018, 201702463; Advanced Energy Materials, 2017, 1601920),钾离子电池(Nano Letters, 2016, 17(1): 544-550),超级电容器(Nature Communications, 2013, 4: 2923; Nature Communications, 2017, 8:14264),电催化(Nature Communications, 2017, 8, 645; Angewandte Chemie, 2017, 201708748; J. Am. Chem. Soc. 2017, 139 : 8212–8221),撰写了锂硫电池相关综述(Advanced Materials, 2017, 1601759)等;利用多种表征技术对各个体系中纳米储能材料的工作机制进行了深入的研究,提出了复杂纳米结构设计、离子预嵌入等多种优化手段,进而大幅度提升性能(Nature Communications, 2014, 5: 4565;J. Am. Chem. Soc. 2013, 135: 18176–18182; Energy & Environmental Science, 2015, 8, 1267-1275;Nano Letters, 2015, 15: 2180–2185)。
相关优质文献推荐:
- Track batteries degrading in real time, Nature, 2017, 546, 469.
- Sodium extraction from NASICON-structured Na3MnTi(PO4)3through Mn (III)/Mn (II) and Mn (IV)/Mn (III) redox couples. Chemistry of Materials, 2016, 28(18): 6553-6559.
- NaxMV(PO4)3(M= Mn, Fe, Ni) Structure and Properties for Sodium Extraction. Nano letters, 2016, 16(12): 7836-7841.
- Na3MnZr(PO4)3: A High-Voltage Cathode for Sodium Batteries. Journal of the American Chemical Society, 2018, DOI: 10.1021/jacs.8b11388.
- A Synergistic Na-Mn-O Composite Cathodes for High-Capacity Na-Ion Storage.Advanced Energy Materials,2018,1802180.
- Rational Architecture Design Enables Superior Na Storagein Greener NASICON-Na4MnV(PO4)3 Cathode. Advanced Energy Material. 2018, 1801418.
- Defect-Rich Soft Carbon Porous Nanosheets for Fast and High-Capacity Sodium-Ion Storage. Advanced Energy Materials, 2018,1803260.
本文由材料人编辑部学术组微观世界编译供稿,材料牛整理编辑。
欢迎大家到材料人宣传HTH官网地址 成果并对文献进行深入解读,投稿邮箱tougao@cailiaoren.com。
材料人投稿以及内容合作可加编辑微信:cailiaokefu 。





