【引言】
开发可持续能源来驱动自供电、便携式设备一直是能源研究中的一个挑战。机械能是一种常见的可持续能源,通过压电效应可将环境中丰富的机械能转化为可用电能。压电发电机具有优异的机电转换性能,在近期的能源研究中受到广泛关注。有机-无机金属卤化物钙钛矿(organic-inorganic metal halide perovskites,简称OMHPs)具有较高的功率转换效率,还易于用溶液法制备,有着较强的光吸收能力、可调的带隙、较高的载流子浓度,在太阳能光伏领域中作为电子元器件应用很多。此外,OMHPs还具有很好的介电和压电性能,可达到的水平和无机压电材料的相近,在机械能量收集器中也有用武之地。
【成果简介】
近日,韩国忠南大学的Soon-Gil Yoon教授、Jihoon Choi副教授和韩国电子通信研究院的Hye-Jin Kim研究员(共同通讯作者)合作,在Nano Energy上发表了题为“A comprehensive review of flexible piezoelectric generators based on organic-inorganic metal halide perovskites”的综述文章。该综述回顾了近期基于有机-无机金属卤化物钙钛矿(OMHPs)的纳米压电发电机的最新相关进展,包括材料分类、结构性质和基于现有文献的介电、铁电和压电性质。此外,还提及了大量用于合成高质量钙钛矿薄膜和晶体的方法。在对压电发电机(piezoelectric generators, PEGs)的概述中,文章介绍了基于OMHPs和聚合物复合材料的各类柔性压电发电机,对柔性压电发电机制备、结构设计和决定输出的参数以及应用作了详尽阐述。最后,就这一领域内重要的实验特性、观点和热点话题展开了一些讨论及建议。
【图文导读】
图1:有机-无机金属卤化物钙钛矿的晶体结构。

(a)通式为ABX3的钙钛矿的晶体结构;
(b)不同的常用有机无机杂化钙钛矿化合物,经计算得到的八面体和容差因子。
图2:分别在界面/空间电荷极化、取向极化、离子极化和电子极化机制下,介电常数的实部和虚部与频率的依赖关系。

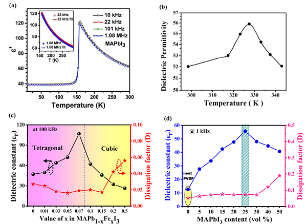
图3:MAPbI3介电常数的温度依赖关系。

(a)正交-四方相变;
(b)四方-立方相变;
(c)含不同体积分数的Fe2+的MAPbI3,在100kHz下测量的四方-立方相变;
(d)含不同体积分数的MAPbI3的MAPbI3-PVDF复合物薄膜,在1kHz下测得的介电常数和损耗角正切。
图4:压电力显微镜对OMHPs铁电性能的表征。
(a)直流极化后,原子力显微镜地形图(上方一行),和对应的表现A·sin(φ)压电响应的压电力显微镜图像,表明β-MAPbI3薄膜中部分可逆铁电畴在不同偏压过程后发生了转换;
(b)TMCM-MnCl3的铁电畴结构的压电力显微镜相位图像;
(c)TMCM-MnCl3的铁电畴结构的压电力显微镜幅值图像。
图5:压电力显微镜对OMHPs压电性能的表征。
(a)不同环境条件下,挠度和VAC的关系;
(b)强度调制△I和穿过晶体、频率为1kHz的交流外加电场幅值Vac关系中得到的,MAPbI3单晶的压电系数;
(c)压电力显微镜测量样品的示意图,以及在PZT,Au,ITO 和STO上的MAPbI3的d33与tMA的关系图;
(d)在光照下的MAPbI3的分子排列示意图以及其光照增强的压电性。
(e)TMCM-MnCl3的压电系数d33随温度变化曲线;
(f)TMCM-MnCl3与无机分子压电材料的压电系数比较。
图6:钙钛矿多晶薄膜的典型合成方法示意图。
(a)在DMF中溶解PbI2和MAI混合物的一步溶液制备法;
(b)PbI2和MAI顺序涂布形成MAPbI3;
(c)PbI2和MAI顺序涂布结合旋涂和浸涂制备法;
(d)根据不同前驱体溶液浓度得到不同晶粒大小的MAPbI3薄膜的SEM形貌图;
(e)使用不良溶剂经快速沉积结晶技术制备MAPbI3薄膜和对应的SEM图像;
(f)使用PbCl2和MAI源进行双源真空蒸镀;
(g)两步辅助化学气相沉积法将MAI有机蒸汽沉积在PbI2薄膜上。
图7:低维OMHP纳米晶的典型合成过程的示意图描述。
(a)LARP过程和合成所得纳米晶的TEM图像;
(b)无水乳液合成过程以及所得纳米晶粉末的照片;
(c)超声破碎法和所得OMHP纳米晶的TEM图像;
(d)通过配位体辅助球磨法得到的10g MAPbBr3纳米晶。
图8:OMHP基压电发电机。
(a)MAPbI3薄膜压电发电机的发电机制示意图;
(b,c)含Fe2+的MAPbI3压电发电机的示意图和实物照片;
(d)含Fe2+的MAPbI3压电发电机输出电压和电流密度随Fe2+浓度变化的比较;
(e)外加机械压力期间LED瞬时发光的图像;
(f)使用双区域CVD系统进行MAPbI3沉积的示意图;
(g)MAPbI3压敏和光敏双峰传感器的示意图;
(h)从电压-压力曲线可评价MAPbI3压力传感器的敏感度。
图9:MAPbI3钙钛矿薄膜构成的单一结构TPS(热电、压电、太阳能)融合能量收集器。
(a)制备步骤;
(b)捕捉到的形电极(IDE)基MAPbI3压电发电机数字图像;
(c)捕捉到的形电极(IDE)基MAPbI3压电发电机光学图像;
(d)基于形电极(IDE)的MAPbI3压电发电机的示意图和SEM横截面图像;
(e)基于形电极(IDE)的MAPbI3压电发电机在2MPa外加压力下,输出电压和电流情况;
(f)基于形电极(IDE)的MAPbI3压电发电机运行机制的示意图描述。
图10:基于OMHP-PDMS聚合物复合材料的压电发电机。

(a,b) 制得的FAPbBr3-PDMS复合物基压电发电机的示意图和SEM横截面图像;
(c)FAPbBr3-PDMS复合物基压电发电机的输出电压;
(d) MAPbI3颗粒经15min研磨后的FE-SEM图像;
(e,f) MAPbI3-PDMS复合物发电机的示意图和实物照片。
图11:基于OMHP-PVDF聚合物复合材料的压电发电机。

(a)FAPbBr3-PVDF复合物压电发电机的制备步骤;
(b)制得的压电发电机的SEM横截面图像;
(c)放大的横截面图像表示FAPbBr3纳米颗粒在PVDF聚合物中的分布;
(d)FAPbBr3-PVDF复合物薄膜中电活性相形成示意图;
(e)基于FAPbBr3-PVDF复合物薄膜的压电发电机的制备过程图;
(f)基于OMHP-PVDF复合物的压电发电机的输出电压测量;
(g)FAPbBr3-PVDF复合电纺纤维的FE-SEM图像;
(h)基于声学纳米发电机的FAPbBr3-PVDF复合材料的输出电压;
(i)使用具有FAPbBr3-PVDF复合物声学纳米发电机的带电电容器为手表供能。
图12:高性能、柔性、稳定的MAPbI3-PVDF复合物基压电能量收集器。
(a)MAPbI3-PVDF复合物薄膜的SEM-EDS表面分布图;
(b)MAPbI3-PVDF复合物压电发电机的工作机制示意图;
(c)MAPbI3-PVDF复合物压电发电机的示意图;
(d)MAPbI3-PVDF复合物压电发电机的输出电压和电流密度;
(e)整流电路中在50N外加压力下LED瞬时发光的图像;
(f)手指敲击过程中LED瞬时发光的图像。
【小结】
此篇综述总结了基于OMHPs的柔性压电发电机的近期研究进展,系统阐释了OMHPs的机体结构、介电、铁电和压电性能。OMHPs的功率转换效率高达22%以上,是光伏应用领域的一个突破,而且其介电和压电性能可媲美无机压电材料,有望在压电和铁电领域作出新的突破。OMHPs易于低温制备、在分子层次结合了有机、无机物质,具有独特的结构,这些优势性能可以弥补传统无机钙钛矿压电材料合成复杂、需要高温制备且几乎无柔性的不足,可应用于柔性可穿戴设备和可植入传感器中。尽管目前OMHPs在压电发电机中的应用还很有限,但作者预期不久的将来,高效率柔性纳米发电机的重要进展和研究成果,将是可持续能源收集的出色平台。就基于OMHPs的压电发电机发展和可预期的应用,作者还提出了几点基本实验技术和其余研究方向的建议。
文献链接:A Comprehensive Review of Flexible Piezoelectric Generators Based on Organic-Inorganic Metal Halide Perovskites(Nano Energy,2018,DOI:10.1016/j.nanoen.2018.12.038)
本文由材料人计算材料组Isobel供稿,材料牛整理编辑。
欢迎大家到材料人宣传HTH官网地址 成果并对文献进行深入解读,投稿邮箱tougao@cailiaoren.com。
投稿以及内容合作可加编辑微信:cailiaokefu





