【引言】
目前有机-无机杂化钙钛矿太阳能电池(PSC)的能量转换效率(PCE)已经高达23.3%,已经达到或超过产业化所需的要求。与此同时,无机铯-卤化铅PSC的研究也受到了广泛的关注,目前报道的CsPbI3和CsPbI2Br 无机PSCs的PCE也分别超过了17%和16%。基于无机钙钛矿太阳电池进一步开发的全无机PSC由于其各功能层均具有优异的热稳定性,有望从根本上解决传统有机-无机杂化PSC的热不稳定问题,从而显示出更具竞争力的发展前景。新型全无机功能层材料及器件结构不断被开发,器件的PCE也得到了节节攀升,小面积PSC已经能够获得超过13%的PCE,然而要实现这种光伏技术的工业化生产还需要进一步的提升其物相稳定性和大面积均匀性。在物相稳定性方面,无机钙钛矿材料从黑相(α相)到黄相(δ相)的相变被广泛认为是无机PSC退化的主要原因。因此,需要制备α相稳定的铯-卤化铅钙钛矿薄膜,以实现全无机PSC的效率和稳定性的进一步提升。
【成果简介】
近日,暨南大学和上海光源、华南理工大学合作,将InCl3引入无机CsPbI2Br钙钛矿晶格结构中发展了一种In3+和Cl–的共掺杂策略,从而成功获得了α相纯净且稳定的钙钛矿薄膜,其与CsPbI2Br钙钛矿的共掺杂诱导的结构重建有关。研究中,所制备的全无机PSC不仅PCE有所提升,并且在空气环境中表现出更优的湿度稳定性和热稳定性。进一步地,通过辐射加热方法,对于小面积(0.09 cm2)和平方厘米(1.00 cm2)的全无机InCl3:CsPbI2Br PSC,分别获得13.74%和11.4%的最高PCE。该成果以题为” Structurally Reconstructed CsPbI2Br Perovskite for Highly Stable and Square-Centimeter All-Inorganic Perovskite Solar Cells”发表在国际著名能源期刊Adv. Energy Mater.上。暨南大学博士生刘冲与副研究员李闻哲为共同第一作者,麦耀华教授和范建东教授为文章共同通讯作者。
【图文导读】
图1 无机CsPbIxBr3−x薄膜中白色斑点的确认
(a) 对于白点区域的SEM图像:a1) 背散射电子图像和a2)二次电子图像;
(b) 对应薄膜的XRD结果:b1) 新鲜薄膜和b2) 空气老化薄膜;
(c) 对应区域的高分辨拉曼光谱,插图为白色斑点的光学显微镜图像。
图2 InCl3:CsPbI2Br薄膜在不同掺杂比下的SEM和FLIM图像

(a-c) InCl3:CsPbI2Br薄膜在不同掺杂比下的SEM图像:(a) 空白样;(b) 0.25%; (c) 2%;
(d-f) InCl3:CsPbI2Br薄膜在不同掺杂比下的FLIM图像:(a) 空白样;(b) 0.25%; (c) 2%;
(g) 量化后相应薄膜的荧光衰减曲线。
图3 InCl3掺杂CsPbI2Br薄膜的GIXRD 衍射图样和晶体结构演变

(a) 空白样CsPbI2Br的GIXRD 衍射图样;
(b) 0.25% InCl3掺杂的CsPbI2Br薄膜的GIXRD 衍射图样;
(c) 在q = 10 nm-1处沿着环的径向积分强度图;
(d) 含InCl3掺杂前后CsPbBr3单晶晶体结构和空间群的演变。
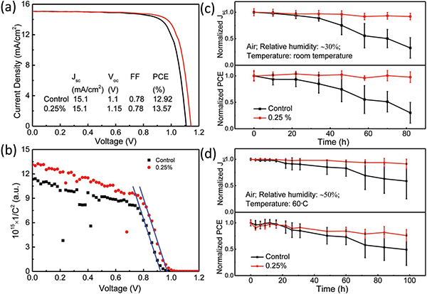
图4 全无机CsPbI2Br PSC的J-V、Mott-Schottky曲线及稳定性测试

(a) 空白样(黑线)和0.25% InCl3掺杂(红线)的全无机CsPbI2Br PSC的J–V曲线;
(b) 空白样(黑线)和0.25% InCl3掺杂(红线)的全无机CsPbI2Br PSC的Mott-Schottky曲线;
(c) 空白样(黑线)和0.25% InCl3掺杂(红线)的全无机CsPbI2Br PSC的Jsc和PCE的稳定性追踪。保存条件:空气,湿度≈30%,温度:室温;
(d) 空白样(黑线)和0.25% InCl3掺杂(红线)的全无机CsPbI2Br PSC的Jsc和PCE的稳定性追踪。保存条件:空气,湿度≈50%,温度:60 °C。
图5 辐射加热方法制备InCl3:CsPbI2Br薄膜及对应器件的性能测试

(a) 辐射加热方法制备InCl3:CsPbI2Br薄膜过程的示意图;
(b) 表现最佳小面积(0.09 cm2)PSC的J-V曲线;
(c) 小面积器件在0.9V正向偏压下器件的稳定功率输出;
(d) 表现最佳大面积(1.00 cm2)PSC的J-V曲线;
(e) EQE曲线及积分电流密度曲线;
(f) 大面积器件在0.8V正向偏压下器件的稳定功率输出。
【小结】
在本文中,作者发现无机CsPbIxBr3−x薄膜上易出现白色斑点现象,结合扫描电子显微镜及高分辨拉曼光谱技术确定了白色斑点为δ相钙钛矿,该区域不仅极少贡献光生载流子,而且会作为相变中心加速无机钙钛矿薄膜分解。研究者们利用In3+和Cl–共掺杂策略实现了CsPbI2Br钙钛矿结构中的Pb2+以及X–的部分替代,并在微观水平上观察到明显的结构重组过程。通过进一步的热辐射退火方法,改善了过度膜的均匀性,从未获得了α相纯净且稳定的钙钛矿膜。小面积全无机InCl3: CsPbI2Br PSC的PCE为13.74%而平方厘米级器件的PCE为11.4%。值得注意的是,经InCl3掺杂的全无机CsPbI2Br PSC具有更优的稳定性,在空气中保存80小时没有出现效率的降低,而在空气中60 °C加热100小时后效率下降仅为20%。该研究提供了一种增强无机钙钛矿薄膜湿度稳定性及热稳定性的方法,并为实现更高效率和更大面积的全无机PSC提供了解决方案。
文献链接:Structurally Reconstructed CsPbI2Br Perovskite for Highly Stable and Square-Centimeter All-Inorganic Perovskite Solar Cells (Adv. Energy Mater. 2018, DOI: 10.1002/aenm.201803572)
【团队介绍】
新能源技术研究院是以国家“千人计划”特聘专家麦耀华教授为学术带头人,为打造高水平新能源技术创新研发平台而成立的研究团队。新能源技术研究院以技术创新和人才培养为工作重心,通过面向产业化的前沿技术研发、科研成果转化和创新型人才培养,推动学科建设和新能源产业的发展。目前,研究院有专职科研人员16名,拥有包括PECVD、溅射和SEM、XRD等大型材料与器件的制备与表征设备50余台(套),主要开展高效率晶体硅太阳电池、化合物薄膜太阳电池、钙钛矿太阳电池、锂电池和光伏系统等方向的研究。
团队近期在PSCs领域的工作汇总:
在全无机钙钛矿太阳电池方面,团队率先开发了两步控温方法,制备了高致密大晶粒的CsPbIBr2薄膜,并采用低功函超薄MoOx作为阴极缓冲层,制备了基于倒置结构的CsPbIBr2 PSC,该器件被证明在空气中可以忍受高达160℃的高温,相关结果发表在Nano Energy, 2017, 41: 75-83。在此基础上,该团队进一步采用了ZnO@C60双电子传输层,优化能级匹配,提升电子的萃取效率,并改善了界面接触状态,最终制备的CsPbI2Br 全无机PSC实现了超过13%的能量转换效率,并实现了在氮气中,85℃下加热360h,效率衰退在20%之内,相关成果发表在J. Am. Chem. Soc., 2018, 140(11): 3825-3828。
在有机-无机杂化钙钛矿太阳电池方面,团队创新性的将乙酰丙酮镓(GaAA3)与钙钛矿(CsxFA1-xPbI3)前驱体进行组装,通过原位生长获得了具有核壳结构的钙钛矿晶体薄膜。该器件在最大功率输出5h后的效率仍然可以稳定在18%以上,在50%相对湿度的条件下,800h后仍能保持最初器件效率的90%,相关成果发表在Energy Environ. Sci., 2018, 11(2): 286-293。此外,团队将1-(2-吡啶基)-1H-吡唑 (PZPY)与钙钛矿(Cs0.04MA0.16FA0.8PbI0.85Br0.15)前驱体进行组装,原位生长获得了具有1D-3D复合钙钛矿结构的晶体薄膜。该复合钙钛矿太阳电池在55%相对湿度的环境下85℃老化15h,器件在25min内可以恢复到初始效率的95%以上,在5个老化循环后器件效率的保持率在90%以上,相关工作发表在Adv. Energy Mater. 2018: 1703421。
【相关优质文献推荐】
[1] liu, Chong, et al. “Ultra-thin MoOx as cathode buffer layer for the improvement of all-inorganic CsPbIBr2 perovskite solar cells.” Nano Energy 41 (2017): 75-83.
[2] liu, Chong, et al. “All-inorganic CsPbI2Br perovskite solar cells with high efficiency exceeding 13%.” J. Am. Chem. Soc. 140.11 (2018): 3825-3828.
[3] Li, Wenzhe, et al. “In situ induced core/shell stabilized hybrid perovskites via gallium (III) acetylacetonate intermediate towards highly efficient and stable solar cells.” Energy Environ. Sci. 11.2 (2018): 286-293.
[4] Fan, Jiandong, et al. “Thermodynamically Self‐Healing 1D–3D Hybrid Perovskite Solar Cells.” Adv. Energy Mater. (2018): 1703421.
本文由材料人生物学术组biotech供稿,材料牛审核整理。
欢迎大家到材料人宣传HTH官网地址 成果并对文献进行深入解读,投稿邮箱tougao@cailiaoren.com。
投稿及内容合作可加编辑微信:cailiaorenkefu。





