氧还原反应(Oxygen Reduction Reaction,ORR)是金属-空气电池以及燃料电池实现能源转化的重要反应。氧气经过二电子过程形成过氧化物或经过四电子过程形成水完成电子转移。氧还原反应路径较复杂,中间体生成较多,反应活化能较高,本征动力学速率缓慢,因而氧还原反应效率成为限制两类器件性能的关键因素。传统的铂、铂合金以及其他贵金属催化剂具有良好的氧还原催化活性但成本高昂、储量稀缺,且在工作环境中易发生毒化现象(如受到甲醇、CO影响),从而使其规模化应用受到限制,从成本和可持续发展的角度来看,发展高性能(兼具高活性和高稳定性)、低成本的氧还原电催化剂是推动燃料电池以及金属-空气电池发展的重要方向之一。其中碳基催化剂种类丰富,衍生材料多样,受到了相当广泛的研究。
2018年,科研工作者在碳基氧还原电催化剂领域持续取得进展。本文撷取部分国内外该领域热点文献,研究包含碳基过渡金属化合物、单原子/双原子金属-氮-碳材料、碳基非金属催化材料等主要方面。希望对从事相关材料开发的研究者有所启发。
1.碳基过渡金属化合物
(1)磷化铜纳米颗粒
金属-有机骨架(MOF)是近年来发展起来的一种化学反应前驱体和高效的自牺牲模板,2月,郑州大学臧双全团队利用用于制备层状多孔碳纳米结构功能材料。团队以含氮杂原子和磷杂原子的铜基MOF(Cu-NPMOF)为前驱体,以Cu-NPMOF为模板,制备了N,P共掺杂碳壳包覆的新型Cu3P纳米粒子(NPs),进一步制备了氮磷双掺杂(Cu3P@NPPC)的多孔碳基电催化剂。Cu3P@NPPC具有高比表面积,同时得益于Cu3P NPs展现出协同效应,材料在氧还原反应中显示出优异的活性。
图1.Cu3P@NPPC材料制备图示

图2.材料电化学性能表征

文献链接:Adv.Mater.2018, 30, 1703711
(2)水凝胶基镍/氧化锰
氧还原催化剂与析氧反应催化剂对金属-空气电池性能有重要影响。铂合金常用作氧还原催化剂,Ir/RuO2常用作析氧反应(OER)催化剂。2月,南京师范大学唐亚文团队通过简单易行的水凝胶法制备了三维多孔石墨烯气凝胶负载Ni/MnO(Ni-MnO/rGO气凝胶)双功能催化剂,成果发表于Advanced Materials。水凝胶允许在热解之后高效地捕获高活性的Ni/MnO颗粒。值得注意的是,所得到的Ni-MnO/rGO气凝胶在碱性电解质中对ORR和OER都表现出与贵金属催化剂可比的优异的双功能催化性能。MnO对ORR的高活性起主要作用,而金属Ni对OER的活性起主要作用。此外,这种双功能催化剂比混合Pt/C+RuO2催化剂具有更好的功率密度、比容量和循环稳定性,证明了其应用于可充电金属-空气电池的潜在可行性。
图3.材料制备流程以及活性位点图示

图4.材料电化学性能表征

文献链接:Adv.Mater.2018, 30, 1704609
(3) 钴纳米颗粒
8月,中佛罗里达大学杨阳教授团队开发了一种兼具产氧(OER)与氧还原(ORR)催化活性的双功能钴硫掺杂的多孔氮化碳/石墨烯材料(CoSx@-PCN/rGO),成果发表于Advan ced Energy Materials。团队使用三聚氰胺为原料,经钴离子配合后,在空气中与氧气反应发生反应聚合形成钴掺杂的多孔氮/碳材料;之后,材料在氮气环境下与硫磺、氧化石墨烯作用,最终得到CoSx@-PCN/rGO材料。石墨烯的引入增强了材料的电子传输性能,而多孔碳结构增添了更多催化活性微店。最终,材料展现出优于商用铂、RuO2催化剂以及其他碳氮化物的催化活性与稳定性。同时,由此材料构成的锌-空气电极材料有着更优的充电性能。
图5.CoSx@-PCN/rGO材料制备过程

图6.CoSx@-PCN/rGO材料电化学性能表征

文献链接:Adv. Energy Mater.2018, 8, 1701642
2.金属-氮-碳材料
(1)单原子钴
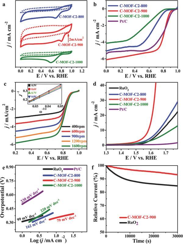
1月,凯斯西储大学戴黎明团队报道了一类新型钴掺杂的金属-氮-碳材料(C-MOF-C2-T),团队利用MOF作前驱体,对材料结构进行了精细设计,成果发表于Advanced Materials。新研制的C-MOF-C2-900具有独特的三维分级棒状结构,由沿棒长的部分石墨化氮掺杂碳环包覆的均匀分布的钴纳米颗粒组成。与钴相比,Co@N-C具有更高的氧还原和产氧反应的电催化活性(ORR和OER)。基于C-MOF-900的氧还原反应(ORR)初级锌空气电池,放电电位为1.30V,比容量为741mA h g(Zn)-1(10mA cm-2)。以C-MOF-C2-900为ORR和OER双功能催化剂的可充电锌-空气电池在展现出良好的初始充放电电位,且在120小时后仍具有优异的循环稳定性,且极化程度没有增加,优于基于贵金属空气电极。由此材料得到的可充电锌空气电池可以有效地为电化学水分离系统供电,展现出实际应用潜力。
图15.Co@N-C材料分级结构表征

图16.Co@N-C材料电化学性能表征

文献链接Adv.Mater.2018, 30, 1705431
(2)单原子钴
5月,纽约州立大学布法罗分校的武刚教授团队报道了一种氮配位的单原子钴碳基催化剂。铁的Fenton效应以及热处理过程中的团聚问题困扰了铁基金属-氮-碳材料制备与应用,电极中铁自由基、过氧化物的存在有可能导致有机质子交换膜降解。因此,无铂和无铁阴极催化剂是质子交换膜燃料电池(PEMFC)的重点研究方向。团队利用金属有机框架(MOFs)前驱体,经过一步热化学反应够造了一种含Co-N4活性位点的催化材料。像差校正电子显微技术结合X射线吸收光谱学实际上证实了Co-N4活性位点的存在。同时,均匀分散的活性位点大大增强了材料的催化活性。最终得到了性能与Fe-N/C材料、商用铂黑材料可比的钴催化材料。
图7.催化材料结构表征

图8.材料电化学性能表征

文献链接:Adv.Mater.2018, 30, 1706758
(3) 双原子钴
6月,中科院长春所邢巍课题组于Nano Energy报道了一种双原子中心型碳基催化剂。该工作利用金属有机框架作为前驱体,通过调节钴含量,精准制备了双原子中心钴催化剂。球差校正电镜和扩展的X-射线吸收近边谱证实了双原子Co中心活性位结构的存在。而双原子催化剂活性相比单原子提升一个数量级(13倍),应用前景得以改善。
图9.双中心原子Co2N5催化过程图示

图10.材料电化学性能表征对比

文献链接 ;Nano Energy, 2018, 46: 396-403
(4)单原子铁
6月,清华大学李亚栋院士团队报道了一种硫和氮共掺碳(Fe-ISA/SNC)材料,成果发表于Advanced Materials。杂原子掺杂的Fe-NC催化剂是取代贵金属基催化剂的最有应用前景的催化剂之一。然而,对其结构参数的精细控制以优化催化效率和对催化机理的分子水平理解仍然是具有挑战性。团队创造性设计出一种新的吡咯-噻吩共聚物热解合成方案,在硫和氮共掺碳(Fe-ISA/SNC)上以可控的S,N掺杂方式合成Fe孤立的单原子位点。Fe-ISA/SNC的催化效率随硫掺杂量的增加呈火山型曲线变化。优化后的Fe-ISA/SNC半波电位为0.896V(vs RHE),相比铁氮共掺杂碳(Fe-ISA/NC,0.839V)、工业Pt/C(0.841V)和大多数其他铁单原子非贵金属催化剂有更高的半波电位。Fe-ISA/SNC有良好甲醇耐受性,经历15000扫描循环,在碱性条件下表现出可忽略的活性衰减。X射线吸收精细结构分析以及密度泛函理论计算表明,掺入的硫增加了环绕在铁原子周围的氮原子处电荷。富集的电荷促进了反应中间体OH*的还原释放,因此提高了总的ORR效率。
图11.催化剂制备与形貌表征

图12.材料电化学性能表征

文献链接:Li et al./Adv.Mater. 2018 (30) 1800588
(5)单原子铜
10月,李亚栋院士团队报道了一种具有大规模制备前景的碳基铜单原子分散催化剂。单原子催化剂因其在促进各种催化反应方面的高效性而颇受关注。然而,合成这些材料的常用方法通常需要繁琐的步骤,并且金属原子与载体之间缺乏适当的相互作用。团队创造性利用铜原子与氨气的路易斯酸碱相互作用,在氨气环境下将铜原子引入到MOF前驱体(ZIF-8)上,得到氮掺杂的单原子分散的铜催化剂,成果发表于Nature Catalysis。此工作实现了单原子分散催化剂的大尺度制备,同时材料展现出良好的氧还原催化活性,在5000次CV扫描后并未出现较大的电化学性能下降。
图13.单原子分散铜催化剂合成路径图示

图14.单原子分散铜催化剂性能表征

文献链接:Yunteng Qu et al. /Nature Catalysis 2018 (1) 781–786
(6)单原子钴
1月,凯斯西储大学戴黎明团队报道了一类新型钴掺杂的金属-氮-碳材料(C-MOF-C2-T),团队利用MOF作前驱体,对材料结构进行了精细设计,成果发表于Advanced Materials。新研制的C-MOF-C2-900具有独特的三维分级棒状结构,由沿棒长的部分石墨化氮掺杂碳环包覆的均匀分布的钴纳米颗粒组成。与钴相比,Co@N-C具有更高的氧还原和产氧反应的电催化活性(ORR和OER)。基于C-MOF-900的氧还原反应(ORR)初级锌空气电池,放电电位为1.30V,比容量为741mA h g(Zn)-1(10mA cm-2)。以C-MOF-C2-900为ORR和OER双功能催化剂的可充电锌-空气电池在展现出良好的初始充放电电位,且在120小时后仍具有优异的循环稳定性,且极化程度没有增加,优于基于贵金属空气电极。由此材料得到的可充电锌空气电池可以有效地为电化学水分离系统供电,展现出实际应用潜力。
图15.Co@N-C材料分级结构表征

图16.Co@N-C材料电化学性能表征

文献链接Adv.Mater.2018, 30, 1705431
3.非金属催化剂
(1)三维氮掺杂催化剂
1月,湖南大学王双印课题组报道了一种利用富缺陷纳米片和多面体原位构建的三维氮掺杂的碳基电催化剂,成果发表于Advanced Functional Materials。团队通过金属有机骨架(MOF)的高温热解,在盐封反应器中原位连接碳多面体与纳米片,制备了三维碳电催化剂。MOF在向多面体的转化过程中,有机物被限制在盐封反应器中,部分分解并形成碳纳米片。原位形成的碳纳米片围绕着碳多面体形成三维碳网络。由于限制效应,MOFs在盐反应器中向碳网络的转化具有高产率,而活性碳没有显著损失,这增强了材料的电子和质量传输性能。所得材料缺陷丰富,这提供了更多电催化活性中心。材料展现处良好的ORR催化活性,甚至与Pt/C相当。由此构建的锌-空气电池也展现出良好性能。
图17.NLPC材料制备图示

图18.NLPC性能表征

文献链接:Advanced Functional Materials.2018,28,1705356
(2)氮掺杂多孔碳
11月,中科院合肥物质科学研究所赵惠军教授与国家纳米科学中心唐智勇教授团队合作报道了一种超薄的石墨烯复合的氮掺杂多孔碳材料,成果发表于Angewandte Chemie。团队利用水热法将氧化石墨烯与葡萄糖酸锌在氨水的作用下复合,并经过高温热处理实现去除锌得到氮掺杂多孔碳材料(N-HC@G-x)。材料在碱性条件下展现出良好的性能与稳定性,在酸环境下经过多周期电化学扫描后性能仅略有下降。石墨烯增强了体系的电子传输能力,进而大幅提高多孔碳材料催化性能。值得一提的是,材料还展现出较好的产氧(OER)反应性能。
图19.N-HC@G-x材料合成路径

图20.材料性能表征,其中a、b、c图为碱性环境下性能,d、e、f为酸环境下性能

文献链接:Huijun Zhao, Zhiyong Tang Angew. Chem. Int. Ed. 10.1002/anie.201811573
4.小结
2018年,科研工作者在碳基氧还原催化领域取得了丰富的成果。总的来看,金属-氮-碳材料(含碳基过渡金属化合物材料)方面研究最为充分,钴、铜、锰的碳基催化材料均得到了相当多关注;碳基纯非金属催化剂报道量有限但进步十分显著,部分材料催化性能已经接近商用Pt/C材料。催化剂的效率提升、活性位点数量提升与稳定性提升是目前非贵金属氧还原催化剂需要解决的主要问题。而催化剂设计与理论计算相结合是未来的重要潜在方向之一。
本文由材料人HTH官网地址 顾问吴同学供稿,材料人编辑部编辑。
欢迎大家到材料人宣传HTH官网地址 成果并对文献进行深入解读,投稿邮箱: tougao@cailiaoren.com.
投稿以及内容合作可加编辑微信:cailiaorenVIP.





