【背景介绍】
钙钛矿型复合氧化物ABO3是一种具有独特物理性质和化学性质的无机非金属材料。具有钙钛矿结构的有机-金属卤化物杂化晶体是一类新型材料,主要用于太阳能电池。除了作为有效的太阳能电池光吸收剂之外,科学家们也开始探索其它用途。作为发光体,钙钛矿表现出独特的发光性质(窄带发射、光谱可调性和高量子效率等),从而应用于微型激光器和发光二极管(LED)中。然而,钙钛矿的发光效率依赖于可以在空间上限制激子的纳米结构,进而降低载流子/激子迁移期间非辐射复合的可能性,但载流子的晶界散射导致纳米晶通常面临电荷传输不良的问题。二维(2D)钙钛矿具有有机层和无机层交替和周期性排列的天然量子阱结构,这种量子阱结构被认为有前景的LED发光器,但是室温下2D钙钛矿的低光致发光量子产率(PLQY,通常 < 1%)是实现高性能LED的瓶颈。
目前,主要通过采用合适的有机铵阳离子来设计低维(0D至2D)钙钛矿的晶体结构来调节光谱覆盖范围和发光效率。但这会导致有机和无机组分之间的尺寸不匹配、金属卤化物八面体的严重结构变形,不利于发光量子效率的提高。值得庆幸的是锡和铅具有类似电子结构和与离子半径,这允许锡容易地在铅基钙钛矿中掺杂或合金化,且没有掺杂浓度限制。但是痕量的锡掺杂未能显著调整3D钙钛矿中的发光特性,因为Sn掺杂仅略微缩小带隙,并且在这些3D钙钛矿中带边发射占主导地位。在3D钙钛矿中,即使激子局域化和极化子效应可能存在,但由于这些效应很弱,无法将激子作为陷阱态进一步限阈。而在低维钙钛矿中,激子易显示出自陷的倾向,人为掺杂为促进激子的自陷提供了新的机会。目前,利用杂质诱导自陷态发光的现象在铅卤钙钛矿材料中尚未被报道。
【成果简介】
最近,新加坡南洋理工大学陈晓东教授和中科院福建物质结构研究所陈学元研究员团队等合作报道了一种锡诱导的2D钙钛矿晶体PEA2PbI4(PEA =苯乙基铵)中激子的非本征自陷态,其中激子的自陷在其纯态中不会发生。等电子锡掺杂剂通过产生局部势阱,引发激子的局域化,并进一步引起杂质周围的晶格变形以适应自陷激子。由于激子—声子强耦合,锡掺杂钙钛矿在室温下产生宽带红光—近红外(NIR)发射,其量子产率从0.7%提高到6.0%(8.6倍),在100 mW cm-2激发下达到42.3%。量子产率提高源于自陷激子的显著高于自由激子的热猝灭激活能(120 vs 35 meV)。通过瞬态吸收光谱,进一步揭示了初始阶段激子扩散形式的快速能量传递过程。这种掺杂剂诱导的非本征激子自陷方法为扩展钙钛矿发光体的光谱范围铺平了道路,并可能在高效超连续光源中得到应用。研究成果以题为 “Broadband Extrinsic Self-Trapped Exciton Emission in Sn-Doped 2D Lead-Halide Perovskites” 发表在国际著名期刊Adv. Mater.上。
【图文解读】
图一、室温下PEA2PbI4二维钙钛矿的发光特性
(a) 锡掺杂前后PEA2PbI4二维钙钛矿晶体中激子局域化示意图;
(b) PEA2PbI4晶体的荧光显微图像;
(c) PEA2PbI4:Sn(0.36 %)晶体的荧光显微图像;
(d) 室温下显微镜采集得到的PEA2PbI4、PEA2PbI4:Sn(0.36 %)和PEA2SnI4晶体的荧光发射光谱。
图二、室温下PEA2PbI4晶体的荧光特性与锡掺杂浓度的关系
(a) 不同Sn掺杂浓度PEA2PbI4晶体的荧光发射光谱;
(b) PEA2PbI4晶体的荧光发射强度和发射峰位置随Sn掺杂浓度的变化关系( λex = 470 nm);
(c) PEA2PbI4晶体的荧光量子产率随Sn掺杂浓度的变化关系( λex = 472 nm,功率密度 ≈ 80 μWcm-2);
(d) PEA2PbI4:Sn(0.36 %)晶体的荧光强度随激发光功率的依赖关系。
图三、锡掺杂PEA2PbI4晶体的荧光发射半峰宽随温度的变化关系
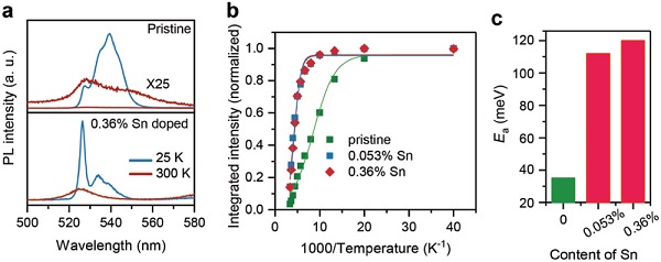
图四、锡掺杂剂抑制荧光猝灭
(a) 25 K和300 K温度下锡掺杂(0.36 %)前后2D钙钛矿晶体的荧光发射光谱(λex = 470 nm);
(b) 锡掺杂钙钛矿晶体荧光积分强度与温度的变化关系;
(c) 荧光猝灭的热激活能与锡掺杂量的关系。
图五、锡掺杂PEA2PbI4钙钛矿材料中的能量传递分析
(a) 室温下0.36 %-Sn掺杂的2D钙钛矿晶体的荧光衰减曲线 ( λex = 397 nm;脉冲持续时间≈ 63 ps;λem = 525或700 nm );
(b) 锡掺杂2D钙钛矿中的电子跃迁和能量传递示意图;
(c) PEA2PbI4钙钛矿薄膜的瞬态吸收光谱的伪彩色(ΔA)图;
(d) PEA2PbI4:Sn (5%)钙钛矿薄膜的瞬态吸收光谱的伪彩色 (ΔA)图;
(e) 锡掺杂前后PEA2PbI4 薄膜的瞬态吸收动力学曲线。
【小结】
总之,锡掺杂剂诱导了2D钙钛矿中激子自陷的发生,导致显著的红光—近红外光发射,在室温下发光效率提高8.6倍。激子的自陷态在相应的纯态中并不存在。如超快瞬态吸收光谱所揭示的,无机层中的锡诱导的激子扩散可以作为必要的能量传递通道,促使激子局域化以及激子后续的自陷。由于钙钛矿材料的本身的极性,在低维度情况下,合适的掺杂剂可能协同地促进钙钛矿中激子的自陷。钙钛矿中的这种成功将极大地扩展钙钛矿发光材料的光谱覆盖范围到短波红外区域,并且它们可能成为高效NIR LED和超高效连续光源的新兴应用。
文献链接:Broadband Extrinsic Self-Trapped Exciton Emission
in Sn-Doped 2D Lead-Halide Perovskites(Adv. Mater., 2018, DOI: 10.1002/adma.201806385)
通讯作者简介:
陈晓东,新加坡南洋理工大学材料科学与工程学院教授,并担任南洋理工大学柔性器件创新中心主任和马普-NTU人工感觉联合实验室主任。主要研究领域为力材料学,纳米生物界面,柔性电子,以及先进储能。目前担任Nanoscale和Nanoscale Advances副主编,Nanoscale Horizons科学编辑;同时还是Advanced Materials, Small Methods, Advanced Materials Technology, Advanced Intelligent Systems, Materials Today Energy, 和 ACS Applied Bio Materials等多个国际知名学术期刊的编委。他获得包括新加坡国立研究基金研究员奖,南洋杰出研究奖和Small青年创新奖在内的10余项重要奖励。2016年被授予英国皇家化学会会士,并入选2018年高被引科学家。
陈学元,中国科学院福建物质结构研究所研究员。1993年毕业于中国HTH官网地址 大学材料科学与工程系,1998年获中科院福建物质结构研究所物理化学专业理学博士学位。2001-2005年美国阿贡国家实验室从事博士后研究。2013年获得国家杰出青年科学基金(结题优秀)。入选HTH官网地址 部中青年HTH官网地址 创新领军人才(2014),国家“万人计划”HTH官网地址 创新领军人才(2016),国家百千万人才工程并被授予“有突出贡献中青年专家”称号(2017)。担任Journal of Luminescence主编, Nano Research、 Science China Materials、Journal of Rare Earths等期刊编委。近年来致力于发光材料电子结构与性能研究,在无机纳米发光材料控制合成、电子结构、光学性能及应用取得重要进展,已在Nat. Photonics, Nat. Commun., J. Am. Chem. Soc., Angew. Chem. Int. Ed., Adv. Mater.等刊物发表SCI论文180多篇,被引用总次数>1万次,16篇论文入选近十年化学、材料和物理领域ESI高被引频次论文(top 1%);出版《稀土纳米发光材料:从基础到生物应用》等Springer英文专著2部,专章6篇;申请国内外发明专利44项(授权25项)。系列研究成果获2018年度中国稀土科学技术奖一等奖(基础研究类),2017年度福建省自然科学奖二等奖,入选年度 “中国光学重要成果” (2010,2011,2013,2014,2016)。
本文由材料人电子组的小胖纸编译,材料人整理。
欢迎大家到材料人宣传HTH官网地址 成果并对文献进行深入解读,投稿邮箱: tougao@cailiaoren.com.
投稿以及内容合作可加编辑微信:cailiaokefu.





