【引言】
固体基本有晶体和无序玻璃态两种。长期以来,它们被当做两个独立的领域分别地研究。晶体往往以多晶的形式存在,即由许多晶格取向不同的晶畴组成。晶畴交界处为无序粒子区域叫做晶界。随着晶畴变小,晶界处的无序粒子比例增多。当晶界的比列增加到一定程度会对晶体的物理性能产生很大影响而出现许多有趣实用的性能。平均晶畴直径小于100纳米的多晶也叫纳晶,目前超细纳晶直径有几纳米,即十几个原子直径,更加细小的晶畴往往不稳定。 如果晶畴平均直径小到仅一两个原子时,显然是无序固体,即玻璃态。因此,如何区分超细晶畴的多晶和无序的玻璃态?还是说这个问题意义不大,因为二者之间可能并没有明显界限,所谓超细多晶和玻璃态只是名词定义问题?多晶-玻璃转变的特征是什么?它是一个连续过渡还是某一点发生的急剧转变?这些基础问题很少被探索甚至被提问,部分原因是超细多晶不稳定,难以制备。

【成果简介】
近日,来自香港HTH官网地址 大学物理系张会军博后和韩一龙教授题为“Compression-Induced Polycrystal-Glass Transition in Binary Crystals” 的相关研究成果发表在物理top期刊 Phys. Rev. X 上。作者等人用分子动力学模拟的方法将软硬两种粒子混合组成二元单晶,将其压缩成多晶,再进一步压缩成玻璃态。在压强较低时(对应于堆积密度ϕ较小),两种粒子尺寸相同所以形成单晶。当压强增加,软粒子被压缩变小,由尺寸不匹配引入的缺陷积累导致体系变成多晶,并进一步变成无序占主导的玻璃态。在合适的参数下,晶畴平均直径可连续地减小到一、两个粒子,这完全涵盖了多晶-玻璃态转变区间,为首次研究多晶-玻璃态转变提供了一个平台。随着压力增加,作者发现系统出现两种多晶态和三种玻璃态,尤其是在多晶-玻璃转变点处具有丰富的结构,机械,动力学和热力学特征,比如取向序涨落呈现尖锐的峰。压缩三维软硬球混合组成的晶体也会造成玻璃态,并在转变点出具有与二维系统相似的特征。这种简单系统为玻璃态的形成提供了一个新的角度,并开辟了研究晶体玻璃转变的方法。另外,作者等人还研究了什么样的软球作用势和软硬球比例组成的晶体可以被压缩成超细多晶,这可以指导超细多晶的制备。
【图文简介】
图一:压缩诱导的二元多晶到玻璃转变

a) 软硬球模型,软球有一个可被压缩的软壳,厚度为λ
b)放大的晶体和玻璃的实空间图,对应于e)和i)中红色格子
c)多晶晶粒尺寸随堆积密度ϕ连续减小
d)径向分布函数
e)-i) 不同堆积密度下的结构(上)和动力学(下)
j) 相图, 展示两个多晶区域和三个玻璃区域,多晶和玻璃的边界在堆积密度为0.7处
图二: 结构和动力学

a) 结构的涨落在0.7处有个峰
b) 无序态粒子团簇的数量在0.7处下降
c) 无序态粒子(黑色)从0.7开始各向渝渗
d) 动力学参量L的相对标准方差在0.7处有个峰
e) 相对于邻居的动力学参量
的方差在0.7处有个峰
f) 动力学与无序度的相关度在0.7处最大
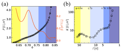
图三:转变过程的状态方程及力学响应

a) 黑色方块对应压强与堆积密度关系,红色曲线对应压缩率在0.7处有个峰
b) 体弹性模量与晶粒尺寸的关系显示五个区域
图四: 力学性能

a) 在剪切作用下应力与应变的关系,对平台段求平均得到屈服应力
b) 屈服应力和晶粒尺寸的关系显示多晶区域存在Hall-Petch和Inverse Hall-Petch 两个区域
c) 屈服应力和正应力的关系在玻璃区域满足Mohr-Coulomb关系,两个线性关系对应两个摩擦系数不同的区域确定出一个玻璃边界
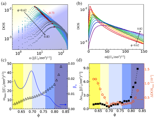
图五:转变过程的态密度

a) 态密度随压缩向高频移动
b) 态密度曲线的半对数绘制显示在高频段多晶是下凹型而玻璃是上凸型,说明无序玻璃具有分布更宽的热激发单元
c) 态密度的峰位类似于压强的变化
d) 态密度峰位在0.7处移动最慢
图六

a)多晶与b)和c)玻璃态中三个低频振动模ω=1.0 (A),5.5(B), 13.5(C).
图七:残余比热容cV显示能量涨落在0.7处最大

a) cV在多晶段关于堆积密度ϕ是二次函数。在低密度玻璃和高密度玻璃区域显示两段线性关系并确定出其边界
b) 无序态粒子关于堆积密度ϕ是二次函数,说明在多晶区域比热与缺陷相关,而在玻璃区域比热与密度相关
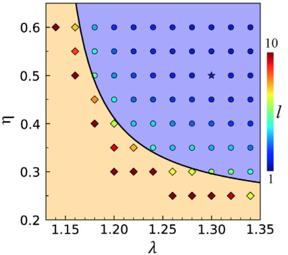
图八:出现多晶-玻璃转变的系统中软粒子软壳的厚度λ和 软粒子的量η需要满足的条件(紫色区域)

文章链接:Huijun Zhang & Yilong Han. Compression-Induced Polycrystal-Glass Transition in Binary Crystals. Phys. Rev. X 8, 041023 (2018) https://journals.aps.org/prx/abstract/10.1103/PhysRevX.8.041023
团队介绍
香港HTH官网地址 大学韩一龙教授团队近年来使用胶体系统在软凝聚态物理和材料领域取得了一系列国际领先的成果。 他们使用胶体系统作为统计模型研究了椭球微粒的布朗动力学,晶体的熔化,晶体中的固-固转变,晶体界面的预熔化,椭球系统的玻璃转变,玻璃界面的弛豫,多晶境界动力学,以及多晶与玻璃的边界等问题。这些工作主要发表在Science, Nature, Nature Review Materials, Nat. Mater., Phys. Rev. X, Nat. Commun., Phys. Rev. Lett. 等国际顶级期刊。
团队主页:http://www.phys.ust.hk/yilong/index.htm
本文由香港HTH官网地址 大学张会军博后和韩一龙教授团队供稿,材料人编辑部编辑整理。
投稿以及内容合作可加编辑微信:cailiaorenVIP
欢迎大家到材料人宣传HTH官网地址 成果并对文献进行深入解读,投稿邮箱tougao@cailiaoren.com。





