【引言】
由于钠资源丰富、成本低廉,钠离子电池引起了研究人员的广泛的关注。然而,钠离子电池的发展受到钠本身固有缺陷的限制。首先,钠的标准电极电势(-2.71 V vs. SHE)高于锂(-3.04 V vs. SHE),导致钠离子电池具有较低的工作电压。其次,钠具有较大的离子半径,动力学过程缓慢,且电极材料体积膨胀效应更加明显,致使钠离子电池的倍率和循环性能较差。为了解决这些问题,研究人员进行了大量的努力来探索合适的电极材料,例如采用具有开放式框架结构或三维结构的电极材料来促进钠离子传输效率,或使用纳米结构设计来缩短钠离子的扩散路径。除了以上改性手段,通过改进电池结构设计来提升钠离子电池的电化学性能,可能是另一种新的解决方案。
【成果简介】
近日,中国科学院深圳先进技术研究院唐永炳研究员(通讯作者)及其团队成员蒋春磊博士(第一作者)报道了一种具有多离子 (Na+/Li+/PF6–)设计策略的新型钠离子全电池。其中,正极材料为膨胀石墨;负极采用可以同时与Na和Li发生合金化反应的金属材料,并进行集流体/活性材料一体化设计;同时采用具有多离子设计的Na+/Li+/PF6–有机电解液。这种多离子设计策略具有两大优势:(1)利用阴离子(PF6–)插层石墨具有高电势的特点,可显著提高钠离子电池的工作电压;(2)多离子设计策略可有效改善电池的反应动力学,并降低金属负极在合金化反应过程中的体积膨胀,从而大幅提升了倍率性能和循环寿命。研究结果表明,这种基于多离子设计策略的钠离子电池具有高达~4.0 V的工作电压,是目前已报道钠离子电池的最佳结果之一;同时获得了高达30 C(容量保持率87%)的倍率性能和500圈(容量保持率95%,5 C倍率)的循环寿命。该研究成果为提升钠离子电池电化学性能提供了新的解决思路。相关研究成果以“A Multi-Ion Strategy towards Rechargeable Sodium-Ion Full Batteries with High Working Voltage and Rate Capability”为题发表在Angewandte Chemie-International Edition上,并被遴选为VIP论文和封面文章(Inside back cover)。
【图文导读】
图一基于多离子设计策略的钠离子全电池的结构及电解液和负极材料优化

(a)基于多离子设计策略的钠离子全电池(SMIB)结构示意图
(b)在电解液中具有不同Li含量(at.%)的SMIB的电化学阻抗谱,和(c)相应的电荷传输阻抗(Rct)值
(d)电解液中具有不同Li含量(at.%)SMIB的充电/放电曲线
(e)采用不同金属箔负极(Fe,Li,Al和Sn)的SMIB的充电/放电曲线(电解液中Li含量为30 at.%)
图二优化的SMIB的相关表征

(a)优化的SMIB在2C倍率下的恒电流充电/放电曲线,和(b)相应的dQ/dV V微分曲线
(c)反应前和(d)5 C倍率下循环500圈的Sn负极表面SEM形貌
(e)初始态和完全充电态Sn负极的XRD谱图
(f)初始态和充电状态Sn负极的Sn 3d5/2 XPS特征峰,(g)Li 1s XPS特征峰和(h)Na 1s XPS特征峰
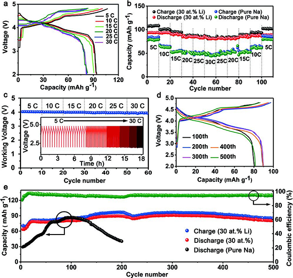
图三SMIB的电化学性能表征

(a)SMIB在5至30 C的不同倍率下的恒电流充电/放电曲线
(b)电解液中含有30 at.% Li与含有纯Na的SMIB的倍率循环性能比较(5-30 C)
(c)不同倍率条件(5-30 C)下SMIB的工作电压
(d)SMIB在第100、200、300、400和500圈的充电/放电曲线
(e)电解液中含有30 at.% Li与含有纯Na的SMIB的循环性能比较(5 C)
图四电化学反应及负极电化学应力的可逆性表征和DFT计算

(a)Sn负极的充放电曲线,和不同充电/放电状态下的(b,c)Sn负极及(d)石墨正极的非原位XRD等值线图
(e)在第二圈循环过程中(2 C倍率),Sn负极的电化学应力随电压的变化曲线
(f)Na和Li原子在Sn晶格中的扩散路径和(g)相应的扩散能垒
(h)合金相NaSn和(i)Li2Sn5的态密度图
【小结】
总之,本文报道了一种使用新型多离子设计策略的钠离子全电池。通过电解液及负极材料优化,SMIB表现出了非常高的工作电压(~4.0 V),并实现了30 C的高倍率性能(容量保持率为87%)和在5 C下循环500圈的长循环稳定性(容量保持率为95%)。研究结果表明,这种多离子设计策略对改善钠离子全电池的电化学性能具有良好的可行性。
文献链接:“A Multi-Ion Strategy towards Rechargeable Sodium-Ion Full Batteries with High Working Voltage and Rate Capability”(Angew. Chem. Int. Ed. DOI: 10.1002/anie.201810575)
本文由材料人编辑部学术组微观世界编译供稿,材料牛整理编辑。
欢迎大家到材料人宣传HTH官网地址 成果并对文献进行深入解读,投稿邮箱tougao@cailiaoren.com。
材料测试、数据分析,上测试谷!





