【引言】
等离子半导体纳米结构作为金属纳米结构的替换物,在近年内吸引了大量的研究目光。和由金和银构成的纳米结构相反,半导体和金属氧化物纳米晶体可以通过异价掺杂、化学计量的控制、光掺杂和电化学注射等方法来实现电荷载体的类型和浓度。因此,简并掺杂的半导体和金属氧化物纳米晶体在光谱的近红外到中红外部分表现出了共振等离子体震荡,并在光电器件、传感和光谱等方面具有应用前景。除此之外,可以通过改变纳米晶体组份和表面化学来实现载流子活化、俘获和散射的性质,使局域表面等离子体共振的能量、带宽和品质因数的精调成为可能。
半导体纳米晶体除了将应用范围从可见光区域扩展到近红外,LSPR也为半导体纳米晶体带来了新的应用前景。如果LSPR和激子跃迁是共振的,那么等离子共振和激子的相互耦合就可以在单相纳米结构中实现,而非含有金属-半导体界面的纳米复合物。等离子体激发可以导致激子吸收和发射的增强,或者通过光学斯塔克效应、双光子吸收增强、光子上转换等方式实现激子跃迁的移动和分离。
【成果简介】
近日,加拿大滑铁卢大学利用圆偏振光在外部磁场中的激发,通过给体缺陷电子结构和纳米晶体主晶格的同时控制,来实现In2O3纳米晶体中激子分裂的控制。通过变温-变场磁圆二色性谱图,可以在等离子In2O3纳米晶体中观测到纳米晶体能带分离的影响。温度无关的分离来源于回旋加速器磁等离子模式;温度相关的分离与缺陷状态的定域电子旋转有关。两种组份的比例可以通过氧空位的形成和异价掺杂的引入来控制。该成果以题为”Controlling the Mechanism of Excitonic Splitting in In2O3 Nanocrystals by Carrier Delocalization“发表在ACS Nano上。
【图文导读】
Figure 1.In2O3纳米晶体的表征

(a).在空气中合成的In2O3纳米晶体的TEM图
(b).1% Sn4+掺杂的In2O3纳米晶体的TEM图
(c).空气中和氩气中合成的In2O3纳米晶体的XRD图
(d). 空气中和氩气中合成的In2O3纳米晶体的拉曼图谱
Figure 2.纳米晶体性能表征

(a).空气中和氩气中合成的In2O3纳米晶体的LSPR吸收谱图
(b).图a中纳米晶体的tauc图
图3.纳米晶体性能表征

(a).空气中和氩气中合成的In2O3纳米晶体,以及10% ITO纳米晶体的MCD谱图
(b). 空气中和氩气中合成的In2O3纳米晶体,以及10% ITO纳米晶体磁场依赖的MCD强度
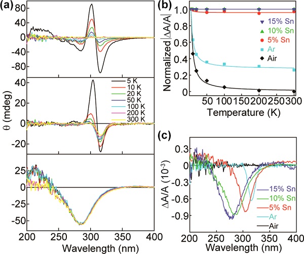
图4.纳米晶体性能表征

(a).空气中和氩气中合成的In2O3纳米晶体,以及10% ITO纳米晶体在不同温度下的MCD图
(b).空气中和氩气中合成的In2O3纳米晶体,以及不同掺杂浓度的ITO纳米晶体的MCD强度的温度依赖
(c).图b中的纳米晶体在激子吸收范围内的MCD谱图
图5.纳米晶体的模拟计算

(a,b).In2O3纳米晶体和3.125% Sn4+掺杂的In2O3纳米晶体的计算能带结构图
(c).自由电子浓度增加所导致的能带分离示意图
【小结】
在这个工作中,作者利用圆偏振光在外部磁场中的激发,通过给体缺陷电子结构和纳米晶体主晶格的同时控制,来实现In2O3纳米晶体中激子分裂的控制。这个工作证实了在非磁性金属氧化物纳米晶体中实现控制载流子极化的能力。
Controlling the Mechanism of Excitonic Splitting in In2O3 Nanocrystals by Carrier Delocalization
(ACS Nano, 2018, DOI: 10.1021/acsnano.8b05782)
本文由材料人学术组gaxy供稿,材料牛整理编辑。
材料牛网专注于跟踪材料领域HTH官网地址 及行业进展,这里汇集了各大高校硕博生、一线科研人员以及行业从业者,如果您对于跟踪材料领域HTH官网地址 进展,解读高水平文章或是评述行业有兴趣,点我加入编辑部大家庭。
欢迎大家到材料人宣传HTH官网地址 成果并对文献进行深入解读,投稿邮箱tougao@cailiaoren.com。
投稿以及内容合作可加编辑微信:cailiaokefu,我们会邀请各位老师加入专家群。





