石墨烯因具有极高的抗拉强度、杨氏模量、电导率、载流量以及创纪录的高热导,而且原料来源广泛、低廉,一直以来被认为是制备多功能、高性能含碳纤维的理想材料。石墨烯纤维(GFs)应运而生,然而它与传统的碳纤维(CFs)截然不同。首先,石墨烯纤维由石墨制备而成,而碳纤维源自自然或合成聚合物的氧化与热解;其次,石墨烯纤维由沿纤维轴取向一致的石石墨烯片组成,而碳纤维是由石墨纳米晶在乱层石墨结构中相互连接而成。此外,石墨烯的横向晶粒尺寸要远大于碳纤维的,最大可达三个数量级,因此,石墨烯纤维具有非常优越的电导和热导。
但是,相比单个石墨烯的优越性能,石墨烯纤维的性能远没有达到人们的预期。这主要是是由于石墨烯纤维多级结构中存在很多致命缺陷,如单个石墨烯片的原子缺陷、纳米尺度的边界与空洞,以及心-壳结构与在宏观、微观尺度无序取向的表面。目前,虽然研究人员通过一些途径在一定程度上降低了这些缺陷对石墨烯纤维性能的影响,但是也只能从某一方面改善石墨烯纤维的性能。
日前,来自浙江大学的研究人员,通过对纺丝过程、纺丝液浓度以及后续处理等过程进行优化、调整,实现对石墨烯纤维缺陷全方位控制,获得了高性能石墨烯纤维,硬度达到282GPa,抗拉1.45GPa,电导0.8×106S/m,载流量2.3×1010A/m2。
【图文导读】
图1 石墨烯纤维缺陷从原子尺寸到宏观尺寸的控制工艺

a: 石墨烯纤维多尺度缺陷结构模型
b: 高品质石墨烯纤维全方位缺陷控制结构模型
图2 石墨烯纤维缺陷控制工艺与纤维细节描述

a: 湿纺石墨烯氧化物纤维,在两个阶段伴随连续拉伸,随后在3000℃将石墨烯氧化物纤维(GOFs)石墨化为石墨烯纤维,V0为石墨烯氧化物液晶(GO LC)挤压速度,V1,V2分别为为中间卷与最终卷的线速度,V1 = 1.2V0,V2 = 1.1V1;GOFs的厚度可以通过调整GO LC的浓度以及喷嘴直径来进一步调节
b: GO LC浓度为2mg/mL时,正交偏光镜间典型的向列纹理
c: 凝固浴中50丝GOF从喷丝器中挤出的近距离快照
d: 纺纱过程中GOFs在石墨辊上进行收集
e: 50丝黄色GOFs在辊上收集
f: 50丝500m长具有金属光泽的石墨烯卷
g: 左图为超细石墨烯纱SEM图,右图为单个石墨烯与单个头发丝的对比,尽管石墨烯超细(直径约为2um,为头发丝的1/50-1/100),但是纤维厚度与直径均匀且连续
图b,c,d,e,f,g的比例尺分别为200um,2cm,20cm,2cm,2cm以及50um
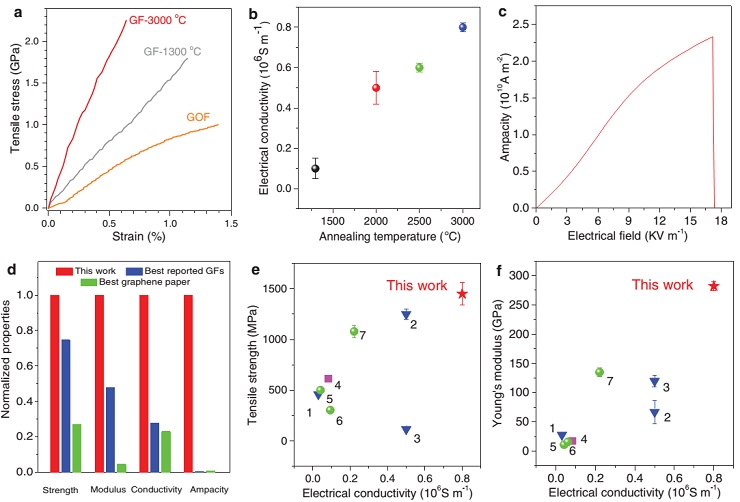
图3 石墨烯纤维性能

a: 单个石墨烯纤维典型抗拉曲线
b: 从1300℃到3000℃连续增温热处理后的石墨烯纤维电导
c: 电场与石墨烯载流量的关系
d: 与先前报道的性能最优石墨烯纤维和石墨烯纸性能对比,所有性能均与本研究的性能做了归一化的处理
e: 本研究的石墨烯纤维性能与先前报道的碳纳米管纤维、石墨烯纸以及石墨烯纤维抗拉强度对比
f: 本研究的石墨烯纤维性能与先前报道的碳纳米管纤维、石墨烯纸以及石墨烯纤维杨氏模量对比
图中数字:1. 扭曲多壁碳纳米管纤维;2. 化学气相沉淀(CVD)纺丝工艺制备的多层碳纳米管纤维;3. 湿纺单壁碳纳米管纤维;4. 原始化学改性的石墨烯膜;5.由石墨氧化物片制备的低HI含量石墨烯纤维;6. 银掺杂石墨烯纤维;7.不同尺寸石墨烯氧化物搭配组合优化后的石墨烯纤维。
图4 石墨烯纤维结构分析

a: 石墨烯纤维(GFs)多尺度缺陷控制试验检查,包括粗糙表面无序起皱、不均匀心-壳机构、缺陷对金与空洞(SEM),以及有缺陷石墨烯片非晶复合材料,比例尺从左到右依次为5um,2um,100nm和2nm
b: 高品质石墨烯纤维的多尺度结构,比例尺从左到右依次为 2 um, 500 nm, 100 nm和2 nm
c: 从1300℃到3000℃热处理后的GOFs与GFs的拉曼光谱
d: 在1300℃, 2000℃以及3000℃热处理后广角X射线散射(WAXS)花样2D图
e: 图d中2D WAXS方位扫描曲线,强化沿纤维轴向石墨烯片取向
图5 石墨烯纤维性能及应用

a: 不同直径石墨烯纤维SEM图片以及对应的小角度X射线衍射(SAXS)图案,比例尺为5um
b: 石墨烯纤维取向角度与线密度的关系
c: 石墨烯纤维比强度与线密度的关系,插图为比强度与线密度的对数图
d: 正在工作的用石墨烯纤维替代钨灯丝的白炽灯泡
e: 纺丝电动机(500转/min),转子线圈用石墨烯纤维纺丝(0.55g)替代铜线(4.4g)制成
f: 用金线(黑色)与石墨烯纤维(红色)作为连接线的二极管伏安曲线设备,插图为用石墨烯纤维连接的二极管设备(红色虚线指引)
感谢材料人编辑部糯米提供素材。
文献链接:Ultrastiff and Strong Graphene Fibers via Full-Scale Synergetic Defect Engineering





