【引言】
热无处不在:人类创造的能量中多于2/3都以热量的形式流失。热电材料可以无需旋转部件或温室排放,直接将未开发的浪费的热量转化为电能。因此,热电材料研究在近几十年来受到了广泛关注。提供热电材料性能的方法就像Slack提出的名为“电子-晶体 声子-玻璃”的双向策略一致,一方面通过能带结构工程使电导率、Seebeck系数和载流子热导率退耦合,得到较高的功率因数;另一方面,通过全方位层次结构抑制晶格热容。根植于高熵合金的核心效应,熵工程可实现高熵合金能带结构工程和多尺度层次结构的协同效应。
【成果简介】
近日,深圳大学的李均钦教授(通讯作者)团队在Advanced Energy Materials上发表了题为“Entropy Engineering of SnTe: Multi‐Principal‐Element Alloying Leading to Ultralow Lattice Thermal Conductivity and State-of-the-Art Thermoelectric Performance”的文章。增加合金元素的数目,需要补偿载流子迁移率,这一直是高熵合金应用于热电材料领域的挑战。而此篇文章作者考虑了多组元合金体系,即合金元素少于五种的“低配版”高熵合金。组元并不是等摩尔的,混合熵却足够高来引发高熵合金的核心效应。未验证多组元合金化体系的合理性,作者选择环境友好的SnTe作为最佳材料样本,其简单的fcc岩盐型结构易于展示多组元合金体系的效力,考虑到高熵合金效应,岩盐型结构也有利于形成单相高熵合金。
【图文导读】
图1:基于多组元合金(MPEA)的SnTe晶格形变的示意图。

(a)SnTe的完美晶格;
(b)Ge掺杂引发的晶格变形;
(c)Sn-Ge-Pb-Mn共合金引发的晶格严重变形;
(d)室温SnTe,Sn0.8Ge0.2Te,Sn0.7Ge0.2Pb0.1Te和(Sn0.7Ge0.2Pb0.1)0.9Mn0.11Te的混合熵、晶格热容、Seebeck系数、载流子浓度和载流子迁移率。
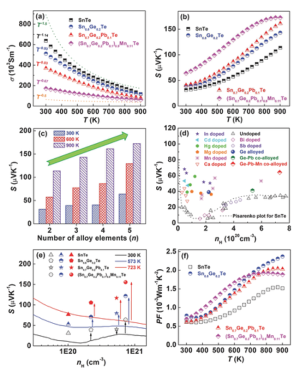
图2:几组SnTe样品热电性能的温度依赖性。

(a)电容率的温度依赖性;
(b)Seebeck系数的温度依赖性;
(c)多组元合金化在300K、600K和900K时,对Seebeck系数的影响;
(d)本工作研究样品的室温Seebeck系数与先前文献数据的比较;
(e)本工作所研究样品在300K、573K、723K时,Seebeck系数与载流子浓度之比;
(f)功率因数的温度依赖性。
图3:不同样品的原始布里渊区中超元胞的电子能带结构。

(a)Sn27Te27;
(b)Sn22Ge5Te27;
(c)Sn19Ge5Pb3Te27;
(d)Sn18Ge5Pb2Mn2Te27.
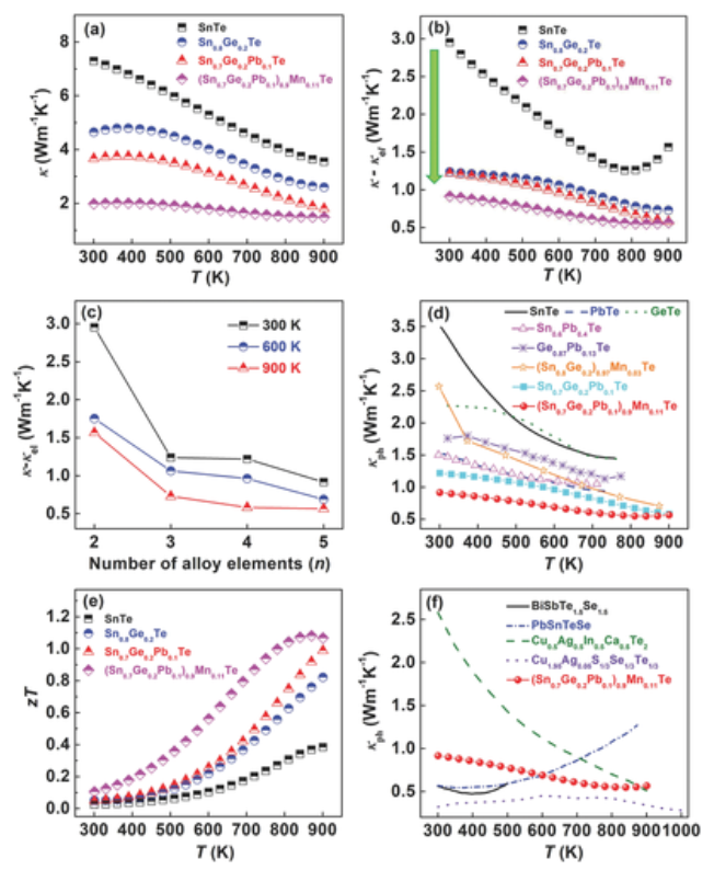
图4:SnTe基合金物理性质的温度依赖关系。

(a)总热导率的温度依赖关系;
(b)晶格热导率的温度依赖关系;
(c)300,600和900K下,kph随合金元素种类变化情况;
(d)(Sn7Ge0.2Pb0.1)0.9Mn0.11Te样品的kph值与几类iv-vi固溶体的比较;
(e)zT的温度依赖关系;
(f)(Sn7Ge0.2Pb0.1)0.9Mn0.11Te样品的kph值与高熵热电材料的比较。
图5:XRD精细结构表征。

(a)粉末XRD图像;
(b)(Sn0.7Ge0.2Pb0.1)1-xMn1.1xTe(x=0.1-0.3)样品中(200)布拉格峰的放大图;
(c)(Sn0.7Ge0.2Pb0.1)1-xMn1.1xTe样品当x=0.2时的结构精修结果;
(d)(Sn0.7Ge0.2Pb0.1)1-xMn1.1xTe样品当x=0.25时的结构精修结果。
图6:MnTe夹杂物的亚微米显微结构图。
(a)几个亚微米尺度MnTe夹杂物的STEM-HAADF图像;
(b)依次为Sn,Te,Pb,Ge和Mn的STEM-EDS元素分布;
(c)MnTe夹杂物和SnTe基体的边界处的HRTEM,STEM-ABF和STEM-HAADF图像;
(d)相界的HRTEM图像放大及其200和220反射点的GPA结果;
(e)200和220反射点的GPA结果。
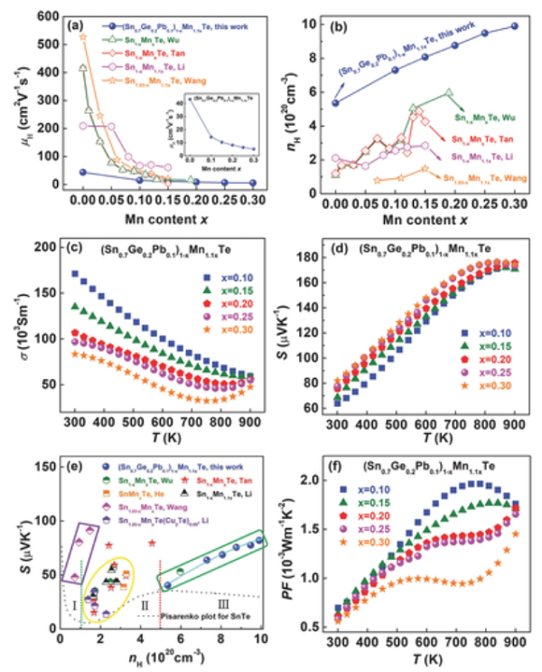
图7:(Sn0.7Ge0.2Pb0.1)1-xMn1.1xTe样品热电性能随温度变化情况。

(a&b) 室温下,空穴迁移率和空穴浓度随Mn在(Sn0.7Ge0.2Pb0.1)1-xMn1.1xTe样品中比例变化的函数关系;
(c)样品电导率的温度依赖性;
(d)样品Seebeck系数的温度依赖性;
(e)室温下样品的Pisarenko图和其他Mn掺杂SnTe合金的比较;
(f)样品功率因子的温度依赖性.
【小结】
在熵工程的背景下,作者在SnTe热电材料中,使用多重元素合金体系在结构有序和无序之间得到精妙平衡,进而观察了由声学声子散射到合金元素数目增加的合金散射的系统转变。由于高熵合金的核心效应,Mn的溶解度大大增加,多尺度层次结构使简单面心立方样品获得低于无序界限的晶格热导率。且在高熵热点材料中首次报道了相互纠结的线缺陷和应变团簇。多重元素合金体系还促使能带汇聚,增加了能带有效质量,步长了载流子迁移率的损失,从而提高了功率因子。
文献链接:Entropy Engineering of SnTe: Multi‐Principal‐Element Alloying Leading to Ultralow Lattice Thermal Conductivity and State‐of‐the‐Art Thermoelectric Performance(Adv. Energy Mater.,2018,DOI:abs/10.1002/aenm.201802116)
本文由材料人计算材料组Isobel供稿,材料牛整理编辑。
欢迎大家到材料人宣传HTH官网地址 成果并对文献进行深入解读,投稿邮箱tougao@cailiaoren.com。
投稿以及内容合作可加编辑微信:cailiaokefu





