【引言】
由于科学家在高效有机-无机卤化物钙钛矿太阳能电池开发中的努力,这个领域得到了快速的发展。凭借其较高的吸光系数、较低的激子结合能和长电荷载体扩散长度,钙钛矿太阳能电池在过去的八年中以前所未有的速度发展,能量转化效率可达23%。
限制钙钛矿太阳能电池商业化进程的重要原因是其在环境中的不稳定性,比如MAPbI3可在水份的存在下分解成PbI2和CH3NHI3。为了解决这个问题,研究目光集中在更稳定的无机钙钛矿太阳能电池上,比如CsPbI3。立方CsPbI3的相转化温度高达350℃,当放置在外界环境中时,其会转化为正交晶相。许多种方法被开发用于稳定立方晶型,然而这些方法在溶液-薄膜的结晶过程中需要精确控制。近来,钙钛矿量子点太阳能电池在解决稳定的问题上吸引了广大的注意。
【成果简介】
近日,苏州大学马万里教授团队(通讯作者)和张桥教授合作(通讯作者)报导了一种可进行低温溶液加工的、在大气环境中制备的全无机钙钛矿纳米晶体太阳能电池。CsPbI3钙钛矿量子点太阳能电池拥有接近13%的效率,在无掺杂的聚合物空穴传输材料使用中,具有极低的能量损失。这种CsPbI3量子点太阳能电池利用聚合物空穴传输材料,在聚合物空穴传输材料和量子点界面可获得有效的电荷分离,以及有效地避免器件不稳定。这个工作对未来钙钛矿量子点在太阳能电池上的应用会有很大的帮助。该成果以题为”Band-Aligned Polymeric Hole Transport Materials for Extremely Low Energy Loss α-CsPbI3 Perovskite Nanocrystal Solar Cells“发表在Joule上。
【图文导读】
Figure 1.材料和量子点太阳能电池器件

(a).器件结构和截面SEM图
(b).空穴传输材料化学结构
(c).MeOAc处理过的CsPbI3量子点和共轭聚合物能级
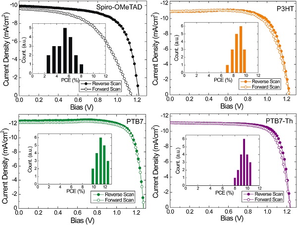
Figure 2.CsPbI3量子点太阳能电池的器件性能

图3.CsPbI3量子点晶体和组份信息

(a).CsPbI3量子点薄膜的2D GIWAXS图案
(b).用饱和Pb(NO3)2,MeOAc溶液处理过的CsPbI3量子点薄膜的2D GIWAXS图案
(c).2D GIWAXS的垂直方向一维积分曲线
(d).CsPbI3量子点薄膜和处理过后的CsPbI3量子点薄膜的Cs和Pb XPS图
图4. CsPbI3量子点薄膜的时间分辨激光共聚焦成像

(a).CsPbI3量子点薄膜,和顶部有spiro-OMeTAD、P3HT、PTB7的CsPbI3量子点薄膜的光致发光结果
(b).CsPbI3量子点薄膜,和顶部有spiro-OMeTAD、P3HT、PTB7的CsPbI3量子点薄膜的寿命成像
(c).每一种样品二维寿命成像的直方图
(d).二维薄膜矢量图
图5.器件效率

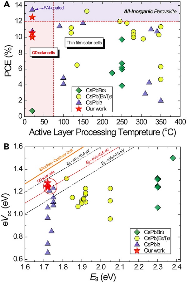
(a).文献报道的全无机钙钛矿电池PCE和钙钛矿活性层制备温度变化
(b). 文献报道的全无机钙钛矿电池eVoc随钙钛矿活性层Eg的变化
【小结】
在这个工作中,作者在室温大气条件下制备了可溶液加工的FTO/TiO2/CsPbI3量子点/HTM/MoO3/Ag太阳能电池。利用传统的共轭聚合物作为空穴传输层,在无需进行掺杂的条件下,基于钙钛矿量子点太阳能电池具有较高的器件效率和极低的能量损失。这个工作会为未来钙钛矿量子点在太阳能电池的器件结构设计和应用提供重要的实验路径。
(Joule, 2018, DOI: 10.1016/j.joule.2018.08.011)
本文由材料人学术组gaxy供稿,材料牛整理编辑。
材料牛网专注于跟踪材料领域HTH官网地址 及行业进展,这里汇集了各大高校硕博生、一线科研人员以及行业从业者,如果您对于跟踪材料领域HTH官网地址 进展,解读高水平文章或是评述行业有兴趣,点我加入编辑部大家庭。
欢迎大家到材料人宣传HTH官网地址 成果并对文献进行深入解读,投稿邮箱tougao@cailiaoren.com。
投稿以及内容合作可加编辑微信:cailiaokefu,我们会邀请各位老师加入专家群。





