【前言】
自从石墨烯被发现以来,基于二维(2D)材料的超薄器件的开发已经引起了科研人员极大的兴趣。与在未掺杂时是具有半金属性的石墨烯相反,过度金属硫属化物具有化学式MX2 (M = Mo, W; X = S, Se, Te)是具有直接带隙的半导体。单层TMDs已经被用作场效应晶体管和微处理器中的沟道材料,以及太阳能电池中的吸收层和传感器,并取得了具有可观前景的结果。
在实际条件下,缺陷对器件的性能起着至关重要的作用。类似于传统的块体半导体,具有浅施主或受主状态的杂质可以用于通过缺陷工程控制TMDs中的载流子浓度。吸附的原子和分子在TMD中是一类有前景的杂质,因为它们倾向于仅仅微弱地扰动TMD衬底的原子结构,从而限制了可能由杂质散射或俘获导致的载流子迁移率的退化。
对TMDs上带电吸附物性质的详细理论理解对于新器件的合理设计很重要。一方面,许多课题组已经使用ab initio密度泛函理论(DFT)来研究吸附的原子和分子与TMDs的相互作用。这种计算产生了关于吸附几何形状、吸附质结合能和电荷转移的重要材料特有的见解。然而,ab initio计算在可以考虑的系统的尺寸方面受到限制(通常包含多达几百或几千个原子),这些系统太小,无法描述浅缺陷状态的特性,这些浅缺陷状态可以延伸到100或更多,正如最近使用扫描隧道光谱(STS)观察到的石墨烯中的库仑杂质
另一方面,连续电子结构方法,如石墨烯的Dirac理论或体半导体的有效质量理论,可以描述扩展杂质态的行为,但需要来自实验或ab initio计算的参数,如费米速度、有效质量,更重要的是,缺陷势通常被主体材料的电子屏蔽。
【成果简介】
近日,来自英国帝国理工学院的Johannes Lischner教授(通讯作者)在Scientific Reports 发文,题为:Tuning electronic properties of transition-metal dichalcogenides via defect charge。作者证明二硫化钼的电子结构敏感地依赖于缺陷电荷。作者利用筛选缺陷电位的大规模紧束缚模拟研究带电缺陷引起的浅束缚态,并观察最低位杂质态的轨道特性随杂质电荷的变化。为了获得进一步的理解,作者使用有效质量理论分析了源自TMD能带结构不同谷的杂质态的竞争,发现杂质态结合能受相应谷的有效质量控制,但是由于缺陷势的非常规筛选,杂质态结合能与氢的行为存在显著偏差。
【图文导读】
图1. 屏蔽电势

与未屏蔽的库仑电势(红色虚线)相比,强度Z=1 (蓝色实线)的位于MoS2中Mo原子上方d = 2 Å的带电原子的RPA屏蔽电势;
图2. 束缚杂质态的平方波函数

(a–e)束缚杂质态的平方波函数(带有RPA屏蔽电势的TB模型),对于放置在Mo位点上方2 Å的杂质电荷Q = – 0.3e。
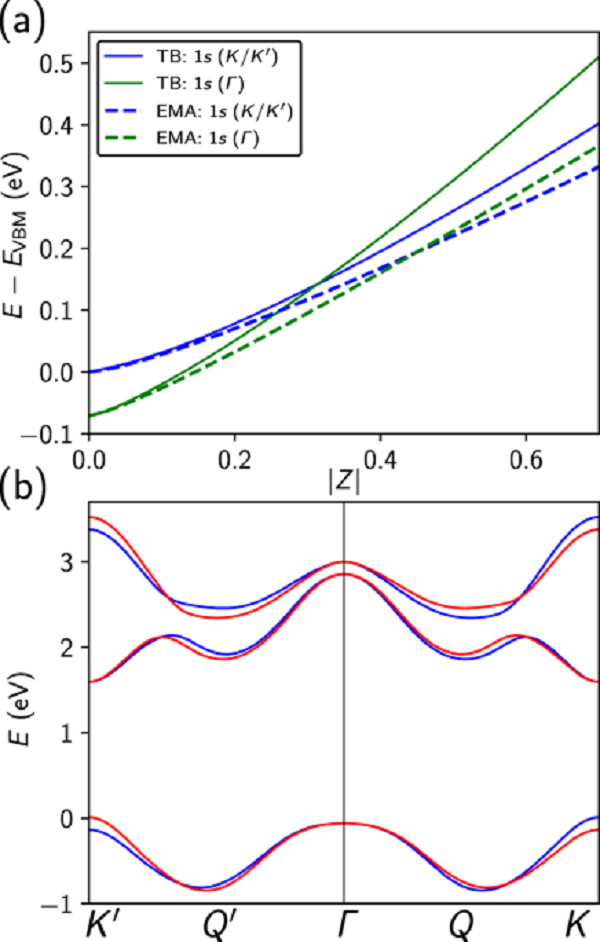
图3. 紧束缚带结构

(a)1s (K/K′) (蓝色)和1s (Γ) (绿色)杂质态的结合能Eb = E − EVBM,作为紧密结合计算(实线)和有效质量近似( EMA ) (虚线)中MoS2上带负电荷原子的原子电荷Z的函数。
(b)紧束缚带结构,其中具有自旋向上(自旋向下)特征的带是红色(蓝色)。
图4. 振荡模式

(a–h)杂质电荷Q = + 0.3e的束缚杂质态的平方波函数;
(i)杂交1s (K/K′) (绿色和蓝色)和1s (Q) (品红色)杂质态的结合能Eb,作为来自TB (实线)和EMA (虚线)的MoS2上带正电荷的原子的原子电荷Z的函数。
图5. 紧密结合的LDOS

(a,b)靠近(a)价带和(b)导带边缘的二氧化硅(+二氧化硅衬底)上锂(Li)原子的LDOS;
(c,d)靠近(c)价带和(d)导带边缘的二氧化硅(+二氧化硅衬底)上碳(C)原子的LDOS;
【总结】
作者研究了过渡金属硫属化合物中带电缺陷的电子性质。通过对包含多达8000个原子的单元晶胞进行筛选杂质势的紧密结合模拟,作者计算了浅杂质束缚态的结合能和波函数。作者的关键发现是,最低位杂质态的轨道特性敏感地取决于缺陷电荷的大小。对于受体状态,即带负电荷的缺陷,在Q =-0.32 e的临界缺陷电荷(其中e是质子电荷)处出现具有不同轨道特征的杂质状态的交叉。为了理解不同杂质态之间的竞争,作者使用有效质量理论分析它们的性质,发现杂质结合能可以用缺陷电荷的幂律来描述,但是由于屏蔽,与氢的行为有显著的偏差。重要的是,幂律的前导是由有效质量决定的,TMD带结构在不同谷中有效质量的显著差异提供了交叉观察的可能。因此,作者的计算将缺陷电荷确定为通过缺陷工程来调谐TMDs电子结构的重要控制参数。
文献链接:Tuning electronic properties of transition-metal dichalcogenides via defect charge, (Scientific Reports, 2018, DOI: 10.1038/s41598-018-31941-1)
本文由材料人计算组Z. Chen供稿,材料牛整理编辑。
欢迎大家到材料人宣传HTH官网地址 成果并对文献进行深入解读,投稿邮箱:tougao@cailiaoren.com。
投稿以及内容合作可加编辑微信:cailiaokefu





