当前位置: 材料牛 » HTH官网地址 » 导读 » 日本北海道大学&台交大Nature Nanotech.:1+1>2!模态强耦合促进高效的水裂解反应

日本北海道大学&台交大Nature Nanotech.:1+1>2!模态强耦合促进高效的水裂解反应

【引言】

等离子体激元诱导的热电子转移作为光电子器件、光伏器件和人工光合作用的新机制已经受到相当大的关注。然而,单层金纳米颗粒(Au NP)不能有效地捕获光。为了提高光利用效率,已经开发了具有三维结构的光电极。其中,使用偶极子-图像(dipole–image)相互作用的等离子体吸收剂,即使TiO2层很薄时,对于提高光吸收仍然非常有效,这种方法最近被应用于光电流产生和水分解。等离子体和光学模式之间的强耦合,例如波导或谐振器模式,导致等离子体吸收带中的分裂。这一结果形成两种新的混合模式,其表现出近场增强效果。研究表明,这些混合模式可以用来改善系统中的光吸收。

【成果简介】

近日,日本北海道大学的Xu Shi(第一作者)在日本北海道大学和台湾交通大学Hiroaki Misawa教授(通讯作者)的指导下,在国际顶级期刊Nat. Nanotech.上发表了文章:“Enhanced water splitting under modal strong coupling conditions”。本文表明Fabry-Pérot纳米腔模式和局部表面等离子体共振(LSPR)之间的这种模态强耦合可以促进水分解反应。本文中作者们使用金纳米粒子(Au-NP)/TiO2/Au膜结构作为水裂解光阳极。该结构表现出TiO2薄膜/Au膜的Fabry-Pérot纳米腔模式与Au NPs的LSPR之间的模态强耦合。通过在宽波长范围内的光学混合模式促进Au NP的电子激发,然后将热电子转移到TiO2。本文研究的结构中的一个关键特征是Au NPs部分镶嵌在TiO2层中,这导致耦合强度和水氧化效率的增强。我们观察到相对于没有Au膜的光电阳极结构,该结构的入射光子-电流转换效率增加了11倍。此外,相较于非耦合态,强耦合态下的内量子效率提高了1.5倍。

【图文导读】

1. 具有超薄TiO2薄膜的Au-NP/TiO2/Au薄膜。

a. 具有部分镶嵌的Au NP的Au-NP/TiO2/Au膜的示意图;

b. 镶嵌深度为0,7和14nm的Au-NP/TiO2/Au膜结构的照片(左图)。没有Au NP的28nm-TiO2/Au膜结构和没有Au膜的Au NP/28nm-TiO2结构的照片(右图);

c. 具有各种TiO2薄膜厚度的Au-NP/TiO2/Au薄膜结构的吸收光谱。Au NP的镶嵌深度保持在7nm;

d. 分裂吸收带的色散曲线。从分裂吸收带获得耦合状态的能量(上分支和下分支)。红色曲线是使用耦合谐振子模型的配件。蓝色虚线描绘了Au NP LSPR能量;

e. TiO2薄膜中空腔模式与Au纳米颗粒的等离子体共振之间强耦合的能级图。

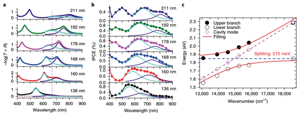
2. Au-NP镶嵌深度与吸收和IPCE作用光谱的依赖关系。

a. 通过-log(T+R)计算的Au-NP/TiO2/Au膜结构的吸收光谱,其中Au-NP镶嵌深度不同。TiO2的厚度为28nm。将具有相同镶嵌Au NP的Au-NP/TiO2/Au的吸收光谱绘制为虚线。青色和品红色曲线表示双吸收带的洛伦兹拟合;

b. 具有不同镶嵌深度的Au-NP/TiO2/Au薄膜光电极的IPCE光谱,与a中的相对应。青色和品红色曲线表示双IPCE频带的洛伦兹拟合。空心圆图表示Au-NP / TiO2 / ITO的IPCE光谱,镶嵌深度为0nm。请注意,重新调整y轴以便更好地进行比较;

c. Au NP的横截面,镶嵌深度约为7nm;

d. 能量色散X射线光谱测绘c的横截面。绿色,红色和黑色分别描绘了Ti,Au和C元素LSNF系列在63 V vs RHE-iR的氧化物质活性与VC上的主要OER催化SrCoO2.7,LaNiO3和IrO2相比,均在相同的实验设置和条件下进行测试。误差棒是进行三次测量的标准偏差;

3. 具有厚TiO2膜的Au-NP/TiO2/Au膜。

a. 不同TiO2厚度的Au-NP/TiO2/Au薄膜结构的吸收光谱。Au-NP镶嵌深度约为7nm。底部面板中的粉红色虚线曲线表示Au NP的消光光谱,垂直虚线表示其峰值位置。青色和紫色曲线表示在某些波长下双吸收带的洛伦兹拟合;

b. 对应于a的Au-NP/TiO2/Au膜光电极的IPCE光谱。请注意,重新调整y轴以便更好地进行比较。青色和紫色曲线表示双IPCE频带的洛伦兹拟合;

c. 具有较厚TiO2膜的Au-NP/TiO2/Au膜结构的分散曲线。耦合态的能量是从a的吸收光谱中获得的。红色曲线是使用耦合谐振子模型的拟合。蓝色虚线描绘了Au NP的LSPR能量。粉红色虚线表示没有Au纳米颗粒的TiO2/Au膜的纯腔模式。

4. IQE计算。

a. 1-T-R光谱在与光电流测量相同的条件下测量(电位溶液,施加电位3V对SCE);

b. IPCE作用光谱;

c. IQE光谱。Au-NP / TiO2 / Au膜(绿色)和Au-NP / TiO2(黑色)光电极具有相同的TiO2厚度28nm和Au-NP镶嵌深度7nm。

5. 使用双电极系统进行水分解。

a. 使用具有恒电位仪的双电极系统的光电化学测量装置的示意图;

b. 在可见光照射(>400nm,550mW cm-2)下,在具有7nm镶嵌Au NP的Pt阴极和Au-NP/TiO2/Au膜光阳极上的H2和O2析出;

c. 具有7nm镶嵌Au纳米颗粒的Au-NP/TiO2/Au膜光电极的H2-析出作用光谱。 还绘制了在与光电化学测量相同的条件下测量的相应吸收光谱(绿色)。

【小结】

本文证明了在Au-NP/TiO2/Au膜结构中仅具有单层Au纳米颗粒的强耦合诱导的吸收带分裂。由于腔模式和Au NP的LSPR之间的强耦合,实现了在耦合状态的上部和下部分支处的高光吸收,吸光效率高于98%。值得注意的是,部分镶嵌在TiO2纳米腔薄膜中的Au NP在强耦合以及等离子体激发诱导的水分解反应中起关键作用。我们发现强耦合系统的上部和下部分支都可以促进电子从Au NPs转移到TiO2,用于等离子体激发诱导的水分解反应,从而使IQE在上部和下部分支波长的增强高达1.5倍。这种强耦合等离子体结构有望用于实际的薄膜太阳能转换和光电器件。

文章链接:Enhanced water splitting under modal strong coupling conditions. (Nat. Nanotech., DOI: 10.1038/s41565-018-0208-x.)

本文由材料人编辑部新能源学术组艾越供稿,材料牛编辑整理。

欢迎大家到材料人宣传HTH官网地址 成果并对文献进行深入解读,投稿邮箱tougao@cailiaoren.com。

材料人投稿以及内容合作可加编辑微信:cailiaokefu 。

未经允许不得转载:材料牛 » 日本北海道大学&台交大Nature Nanotech.:1+1>2!模态强耦合促进高效的水裂解反应

相关文章

Baidu
map