【引言】
钙钛矿型材料是目前科研界的研究热点,今天我们来看看美俄两国科学家通力合作将钙钛矿材料应用在能源催化领域的最新报道。持续增加的全球能源需求需要更多的电解水槽以低成本大量产生氢气,并使用相应的装置和器件进行存储与使用,例如金属空气电池可充电电池。鉴于这种类型的能量储存装置的效率很大程度上受析氧反应的缓慢动力学(OER,4OH–→O2- + 2H2O + 4e–)的限制,如何减少氧析出所需的过电位成为亟待解决的难题。
已知Ni-M羟基氧化物如Ni1-xFexOOH对OER非常活跃,然而,这类催化剂OER活性的机理研究十分复杂。事实上,最近的报道质疑Fe是催化循环的一部分还是促进Ni和Fe金属中心之间的部分电荷转移。研究表明具有ABO3±δ型结构的钙钛矿氧化物,其中A是稀土或碱土元素,B是过渡金属,通过增加离子和电子传导性促进OER催化,这些催化剂具有良好的结构稳定性和多功能性。重要的是,将不同价态,电负性或离子尺寸的元素来替换催化剂中A位和B位的元素可以直接影响这些催化剂的性能。这方面的一个例子是将Cu置换到四重钙钛矿CaCu3Fe4O12的A位中以增加催化剂的稳定性。该研究证明SrCoO2.7中的高共价Co 3d-O 2p键合通过更加能量有利的晶格氧介导(LOM)反应途径改善了其OER活性,与先前的报道和理论一致。该LOM机制不需要过渡金属位点的氧化还原转换,而是当费米能级EF0位于过渡金属3d-O 2p杂化带时,利用OER中的晶格氧。这导致配体孔激活晶格氧,晶格O可与化学吸附的OH结合产生O2-。此后,其他人已经使用同位素标记实验来确认该机制,以检测来自SrCoO3晶格的交换氧。在另一个工作中,预测了SrNiO3钙钛矿更具共价性,甚至更容易缺氧,因此比SrCoO3具有更高的析氧催化活性。不幸的是,这种预测很难通过实验验证,因为SrNiO3采用基于Sr和O原子的六方密堆积的非钙钛矿结构。此外,已知Sr取代成LaNiO3限于约5-20%,之后出现杂质相,导致催化活性差。
为了克服这种限制,本文研究了钙钛矿相SrNiO3的替代晶体结构,其在促进OER活性同时不会受到有限的Sr溶解度的影响,并且可以稳定高度氧化的、共价键合的Ni。Ruddlesden Popper(RP)晶体结构表示为An+1BnO3n+1或等效(AO)(ABO3±δ)n,其中厚度为n(BO6)八面体的钙钛矿层被岩盐(AO)(OA)双层分隔。该RP相可以适应钙钛矿可用的所有元素取代以及钙钛矿结构中不稳定的其他化合物。Ruddlesden-Popper材料由于其化学柔韧性和不稳定的晶格氧被用作固体氧化物燃料电池阴极,但是尚未有研究者对其进行室温水氧化进行全面的详细检测。
在这里,本文报道了一系列La0.5Sr1.5Ni1-xFexO4±δ(LSNF,x = 0-1)OER催化剂,这使在具有小OER Tafel斜率的低过电位下实现极高的催化活性成为可能。本文表明,Sr取代通过电荷补偿进一步氧化Ni,提高Ni-O共价性和电子传导性,从而实现高催化活性。Fe对Ni的化学取代引入并调整Ni和Fe 3d带与O 2p带之间的重叠。密度泛函理论(DFT)建模证实,费米能级上的eg(Ni),p(O)和eg(Fe)带之间的交叉间隙杂化增强了Fe-O-Ni桥上的电荷转移。过渡金属3d态和O 2p轨道的共价和交叉间隙杂化增加是一种有效的用于改善催化剂OER活性的新设计标准。同时这种催化剂通过LOM机制发生的析氧反应,这种机制已经证明适用于其他催化剂。总之,该研究发现了RP LSNF系列催化剂具有卓越的催化活性,并且能够阐明其中关键的结构-化学-电子关系和OER机制。而对RP LSNF催化剂进行的一系列的化学替代和电子配置调变在其他结晶金属氧化物相中难以实现。
【成果简介】
近日,俄罗斯斯科尔科沃科学技术研究所的Keith J. Stevenson教授(通讯作者)联合美国德克萨斯大学的Robin P. Forslund(第一作者)以及麻省理工、斯坦福大学和莫斯科国立大学的研究人员,于2018年8月8日,在国际顶级综合性期刊Nat. Common.上发表了文章:“Exceptional electrocatalytic oxygen evolution via tunable charge transfer interactions in La0.5Sr1.5Ni1-xFexO4±δ Ruddlesden-Popper oxides”。本文报道了一系列的Ruddlesden-Popper型钙钛矿氧化物:La0.5Sr1.5Ni1-xFexO4±δ。它们通过交叉间隙杂化(cross-gap hybridization)促进电荷转移,以增强电催化水分解性能。本文使用锶和镍与铁选择性取代镧以调节过渡金属和氧价带杂化的程度,证明了该钙钛矿型催化剂通过利用晶格氧的催化机制在360 mV过电位下可以达到10 mA cm-2的催化电流,在1.63 V下可以达到1930 mA mg-1ox的质量活性。这项工作表明,Ruddlesden-Popper型钙钛矿材料可以通过合理设计结构和电子配置用作氧析出的活性催化剂,而在许多其他结晶金属氧化物相中无法实现。
【图文导读】
图1. La0.5Sr1.5Ni1-xFexO4±δ材料的晶体学表征。
a. La5Sr1.5Ni1-xFexO4±δ的PXRD图谱;
b. LSNF30的电子衍射图证实没有阳离子和/或阴离子有序;
c. LSNF30的[100]ABF-STEM图像直接显示(BO2)八面体(白色箭头,B = Ni,Fe)和(AO)(OA)层(黑色箭头,A = La,Sr)的堆叠。Ruddlesden-Popper结构。比例尺为2纳米;
d. 0≤x≤1均匀范围内,a和c的单位晶胞参数与元素组成比例的依赖性。
图2. 30 wt% LSCF系列负载在XC72 Vulcan碳(VC)上的氧气析出结果和催化性能。

a. 几何电流密度(5 mm GCE,A = 0.196 cm2)中的平均(阳极和阴极)OER极化曲线;
b. LSNF系列在63 V vs RHE-iR的氧化物质活性与VC上的主要OER催化SrCoO2.7,LaNiO3和IrO2相比,均在相同的实验设置和条件下进行测试。误差棒是进行三次测量的标准偏差;
c. 每种LSNF催化剂的塔菲尔图;
d. RRDE测试。
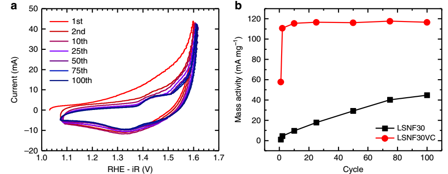
图3. 催化稳定性测试。

a. LSNF30的一百个CV循环测试;
b. 催化剂的质量活性分析。
图4. LSNF催化剂在O2饱和的0.1 M KOH溶液中的循环伏安图谱。

a. LSNF的CV为100 mV s-1,显示出Ni取代时Ni2+/3+氧化/插层电位的系统阳极位移;b. 对氧化波积分产生的特定氧化电荷(μC cm-2氧化物)。使用特定电流密度(μA cm-2氧化物)进行积分以归一化催化剂表面积的差异。
图5. 铁磁结构体LSNF原子和电子结构的密度泛函理论建模。

a. La5Sr1.5NiO4的基态2×2×1晶胞,在每个[001] AO层中均匀分布La;
b. 每个基态La5Sr1.5Ni1-xFexO4的两个B(B’)O2层的表示,x为0,0.25,0.5,0.75和1;对于每个x,基态Fe排列的特征在于两个B(B’)O2层中相等数量的Fe,每层中的Fe被布置成使Fe-O-Ni桥的数量最大化;
c. 相对于B-O-B’桥的费米能级(EF0),相应的自旋极化PDOS eg(Ni:灰色阴影区域和Fe:蓝线)和2p(O:红线); PDOS是现有B-O-B’桥的平均值;
d. 顶部:O-p波段中心的计算值,La2NiO4计算为参考。中间:带重叠的大小,由eg(B)和eg(B’)之间的最大PDOS从-2到2 eV的积分确定,归一化为eg LSN中的(Ni)。底部:eg(B)和eg(B’)之间的最大PDOS的相应重叠中心(质心)。
【小结】
本文成功合成了一系列具有高度氧化和共价的Ni 3d-O 2p-Fe 3d键的RP钙钛矿催化剂,这些催化剂具有出色的OER活性。作者利用RP晶体结构避免由于Sr在钙钛矿相中溶解性差而导致的非活性第二相的产生。此外,通过使用La0.5Sr1.5NiO4±δ作为主晶格,在整个组成范围内实现了Fe对Ni的完全取代。RP型钙钛矿氧化物的结晶结构和高度的相纯度,使得精确研究Fe取代对LSNF系列的氧化物化学和电子性质的影响成为可能,这是用其他无定型材料无法实现的。碘量滴定与穆斯堡尔谱相结合表明,随着Fe取代的增加,LSNF系列中的平均Ni氧化态从+3.46增加到+3.95,而Ni2+/3+氧化还原峰也转移到更正的电位,与Ni的氧化态增强相一致。尽管具有统计上等效的Ni氧化态,但是因为电催化活性从LSN增加到LSNF30超过一个数量级,Fe取代对催化剂性能的影响超过增加Ni的氧化强度。DFT计算显示Fe取代导致交叉间隙杂化,其中Fe 3d eg带与Ni 3d eg和O 2p的顶部杂化使得态密度跨越了费米能级。由于Fe的掺入,Ni-O键的共价增加以及通过Fe-O-Ni桥电荷转移变得更加容易,这些解释了从LSN到LSNF催化活性的增强。此外,通过计算LSNF的部分态密度和简化的SNF证明了共价性的增加,而这是通过LOM机制发生OER的必要条件。在LSNF上可以看到氧空位形成能量的减少和氧扩散速率的增加,进一步支持在LSNF上通过LOM机制进行OER反应的假设。这种选择RP型钙钛矿氧化物中A-和B-位点进行取代从而促进RP氧化物中的间隙杂化的方法给出了催化剂结构与其优异性能相关的重要基础性理解。
文章链接:Exceptional electrocatalytic oxygen evolution via tunable charge transfer interactions in La0.5Sr1.5Ni1-xFexO4±δ Ruddlesden-Popper oxides. (Nat. Common., 2018, 9, 3150.)
本文由材料人编辑部金属材料学术组艾超供稿,材料牛编辑整理。
欢迎大家到材料人宣传HTH官网地址 成果并对文献进行深入解读,投稿邮箱tougao@cailiaoren.com。
材料人投稿以及内容合作可加编辑微信:cailiaokefu 。





