【前言】
开发操作电压低,可生物降解和具有柔性等特性的器件是未来有机电子学发展的重要趋势。科学技术的快速发展导致消费电子产品的预期寿命显着降低,加速了不可再生资源的消耗以及产生了大量的电子垃圾。电子垃圾会导致不良的人体健康影响和产生严重的环境污染。因此,开发“绿色”电子设备具有重要意义,因为“绿色电子”不仅仅是一个新的科学术语,也是一个新的领域,旨在研究具有环境安全(可生物降解)和/或生物相容的天然化合物在电子器件领域中的应用。此外,降低电子元件的操作电压对于获得高能效电子元件来说非常重要。有机场效应晶体管(OFET)作为未来柔性,可穿戴和便携式电子设备中的重要组件,在传感器,射频识别标签和柔性显示器等领域具有广泛的应用前景。然而,现有的可用于制备OFETs的介电层材料往往难以同时兼具柔性、低压和生物可降解等优异特性。 因此,开发兼具绿色、环保和柔性的介电层材料用于制造低压OFETs具有重要的意义。
【成果简介】
近日,来自同济大学的黄佳教授(通讯作者)在Nature Communications上发表文章,题为:Intrinsically ionic conductive cellulose nanopapers applied as all solid dielectrics for low voltage organic transistors。该团队报道了环保纤维素纳米纸作为具有固有离子导电性的高电容介电层材料的应用。与以往报道的液体/电解质门控介电层不同,具有环保特性的纤维素纳米纸可以用于制备全固态柔性低压电子器件。基于纤维素纳米纸的OFETs在低于2 V的操作电压下表现出良好的器件性能。不仅如此,在弯曲半径小于1 mm的条件下,器件的源漏电流及载流子迁移率并未出现明显变化。纤维素纳米纸的有趣特性,如离子传导性、超光滑表面(~ 0.59 nm)、高透明度 (>80 %)和柔性,使它们成为柔性、透明和低压电子器件的高电容介电层材料的优秀候选。
【图文导读】
图1. ICCN的照片以及AFM表征

a 高透明40μm-厚ICCN的照片;
b ICCN的AFM图;
c ICCN的AFM划线图显示超光滑表面,粗糙度~0.59 nm;
图2. ICCNs的化学结构,FTIR以及XPS分析

a 用TEMPO预处理的ICCNs的化学结构;
b FTIR表征
c XPS表征;
图3. 40 μm-厚ICCN的频率相关有效电容

a在金属/绝缘体/金属(Au/ICCN/Au)结构中测量的40 μm厚ICCN的频率相关有效电容(C-f);
b电场作用下ICCNs中EDL的形成;
图4. 基于ICCN的透明OFET示意图

a具有底栅顶部接触结构的基于ICCN的OFETs的示意图;
b 40 μm厚的ICCN和ICCN/C8 – BTBT复合膜在不同波长下的透光率;
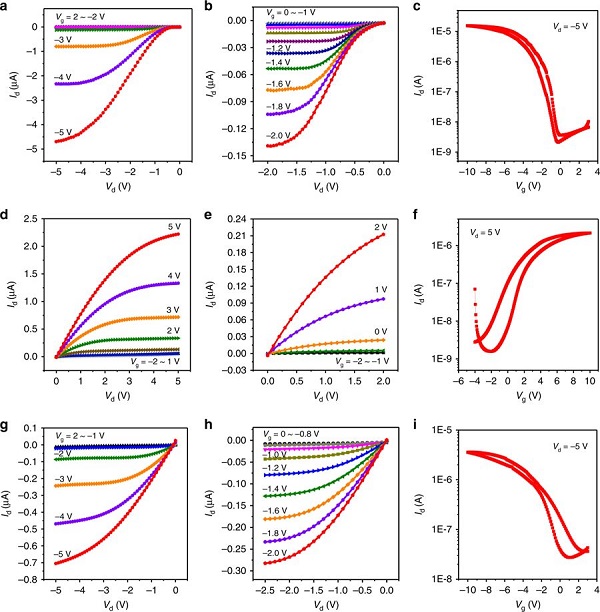
图5. 基于OFETs的ICCNs的电特性

p-型小分子C8 – BTBT OFET的a、b 输出(Id–Vd)特性曲线和c转移曲线(Id–Vg);
n-型小分子NTCDI – F15 OFET的d、e输出(Id–Vd)特性曲线和f转移曲线(Id–Vg);
p-型聚合物PQT -12 OFET的g、h输出(Id–Vd)特性曲线和i转移曲线(Id–Vg);
图6 .柔性OFETs的弯曲测试

a Vg为6 V、Vd为5 V时的归一化最大源-漏电流作为弯曲半径的函数(归一化到平坦状态下测量的最大源-漏电流);
b 弯曲测试的实施;
图7. 基于ICCN的有机互补反相器

a 基于纤维素纳米的有机互补反相器的照片及其简化的电路图;
b输出电压和c增益随输入电压的变化。输入电压从-2 V扫描到4 V;
【总结】
作者展示了一类环境友好的全固态离子导电纤维素纳米纸( ICCN )电介质。观察到该电介质材料具有高透明度、低表面粗糙度、良好的热耐久性和优异的机械性能。ICCNs适用于包括p型小分子C8 – BTBT、n型小分子NTCDI – F15和聚合物半导体PQT – 12在内的不同类型的OSCs柔性OFETs的制备。并且,ICCNs可同时用作介电层和衬底层。所有这些器件都显示出良好的OFETs性能,并且可以在低于2 V的栅极-源极电压下工作。这可以归因于ICCN的离子传导特性,该特性可以感应出EDL,因此在栅极电压仅为几伏的情况下,ICCN / OSC界面处会产生高的局部电场。在不同的弯曲半径下测量了基于40 μm-厚ICCN的C8 – BTBT OFETs的高柔性,并且与平坦状态相比没有观察到显著的漏极电流变化,即使弯曲半径小到1 mm。通过制造柔性有机互补反相器进一步展示了ICCN电介质在互补电路中的应用前景。由于ICCN具有低表面粗糙度、高透明度、耐温性、柔性和固态离子导电性的综合优势,因此在未来可生物降解、柔性、透明和全固态低压绿色电子产品中具有广泛的应用。
文献链接:Intrinsically ionic conductive cellulose nanopapers applied as all solid dielectrics for low voltage organic transistors, (Nature Communication, 2018, DOI: 10.1038/s41467-018-05155-y)
【通讯作者简介】
黄佳,同济大学材料科学与工程学院教授、博士生导师,第二批国家青年千人。本科毕业于中国科学技术大学,在美国约翰霍普金斯大学获得博士学位。长期从事有机半导体、有机场效应晶体管、柔性电子器件、以及传感器领域的研究。研究成果以第一作者和通讯作者在Nature Communications、Journal of the American Chemical Society、 Advanced Materials、 Advanced Functional Materials、ACS Nano、Energy & Environmental Science、Advanced Science等期刊上发表。承担国家自然科学基金项目、上海市基础研究重点项目等科研项目7项。先后入选国家青年千人计划、上海市浦江人才计划等。获同济大学青年五四奖章、第十三届上海市青年岗位能手称号、第五届中国青年科协的常务理事等。
黄佳教授课题组近几年在有机晶体管传感器以及绿色、生物安全柔性电子器件方面取得了一系列的重要进展。围绕有机场效应晶体管器件,开展一系列的器件性能提升和应用拓宽的策略与方法研究,实现了包括能直接快速检测固体、液体和气体环境中有害化学物质的化学传感器(Journal of the American Chemical Society, 2017, 139, 12366; Advanced Functional Materials, 2017, 27, 1700018; Journal of Materials Chemistry A, 2017, 5, 4842);基于生物材料聚乳酸和有机场效应晶体管的柔性薄膜温敏传感器阵列(Advanced Functional Materials, 2015, 25, 2138);基于界面电荷效应的光敏传感器(Advanced Materials, 2017, 29, 1704062; Advanced Functional Materials, 2017, 27, 1604163; Advance Science, 2016, 3, 1500435);低工作电压的有机晶体管器件(Nature Communications, 2018, 9, 2737);基于有机晶体管的人工突触器件(ACS Applied Materials & Interfaces, 2018, 10, 21472; Advance Science, 2017, 4, 1700442)等。为这类器件的进一步发展和性能提升提供了新的器件设计结构和思路。并受邀撰写了关于传感器的综述(Advanced Materials, 2018, 30, 1705642; Advanced Science, 2017, 5, 1700256; Macromolecular Rapid Communications, 2018, 39, 1800084)
相关论文
- Intrinsically ionic conductive cellulose nanopapers applied as all solid dielectrics for low voltage organic transistors. Nature Communications. (2018) 9, 2737.
- Light-stimulated Synaptic Devices Utilizing Interfacial Effect of Organic Field-effect Transistors. ACS Applied Materials & Interfaces. (2018) 10, 25, 21472.
- Strategies for Improving Performances of Sensors Based on Organic Field-effect Transistors. Advanced Materials. (2018) 30, 1705642.
- Integration of Biomaterials into Sensors based on Organic Thin-film Transistors. Macromolecular Rapid Communications. (2018) 39, 1800084.
- Direct detection of dilute solid chemicals with responsive lateral organic diodes. Journal of the American Chemical Society, (2017) 139, 12366.
- High-Performance Inorganic Perovskite Quantum Dot-Organic Semiconductor Hybrid Phototransistors. Advanced Materials. (2017) 29, 1704062.
- Pursuing Polymer Dielectric Interfacial Effect in Organic Transistors for Photosensing Performance Optimization. Advanced Science. (2017) 4, 12, 1700442.
- Photodetectors Based on Organic-inorganic Hybrid Lead Halide Perovskites. Advanced Science. (2017) 5, 1, 1700256.
- Porous organic field-effect transistors for enhanced chemical sensing performances. Advanced Functional Materials. (2017) 27, 20, 1700018.
- Printable and Flexible Phototransistors Based on Blend of Organic Semiconductor and Biopolymer. Advanced Functional Materials. (2017) 27, 9, 1604163.
- 1 Part per trillion level detection of disinfection byproducts in drinking water using miniaturized sensor. Journal of Materials Chemistry A. (2017) 5, 10, 4842.
- Photosensitive and Flexible Organic Field-Effect Transistors Based on Interface Trapping Effect and Their Application in 2D Imaging Array. Advanced Science. (2016) 3, 8, 1500435.
- Thermally Stable, Biocompatible and Flexible Organic Field-effect Transistors and Their Application in Temperature Sensing Arrays for Artificial Skin. Advanced Functional Materials. (2015) 25, 2138.
本文由材料人电子电工学术组Z. Chen供稿,材料牛整理编辑。
材料牛网专注于跟踪材料领域HTH官网地址 及行业进展,这里汇集了各大高校硕博生、一线科研人员以及行业从业者,如果您对于跟踪材料领域HTH官网地址 进展,解读高水平文章或是评述行业有兴趣,点我加入材料人编辑部。
欢迎大家到材料人宣传HTH官网地址 成果并对文献进行深入解读,投稿邮箱:tougao@cailiaoren.com。
投稿以及内容合作可加编辑微信:cailiaokefu。
材料测试,数据分析,上测试谷!





