【引言】
铁电材料是指在居里温度以下具有铁电自发极化的功能材料。当铁电材料吸收太阳光时,铁电极化可自发的分离光激发下产生的电子空穴对,这种铁电体材料具有的光伏效应与传统的基于p-n结具有完全不同的物理机制,使得铁电材料有望成为新型的太阳能光伏材料。然而已知的绝大多数铁电材料是钙钛矿氧化物,它们是宽带隙的绝缘体,无法有效地吸收太阳光中的可见光,因此表现出极低的光电转换效率。因此,为了提高铁电材料的光电转换效率,半导体特性的铁电材料成为铁电光伏的研究重点和机遇。铁电半导体GeTe由于其巨大的体Rashba自旋轨道耦合而引起了新的研究关注,铁电性、半导体性、自旋轨道耦合共存使GeTe在多个领域都具有重要的应用前景。
【成果简介】
近日,华东师范大学龚士静副研究员(第一作者),宾夕法尼亚大学郑帆博士(第二作者),与宾夕法尼亚大学Andrew M. Rappe教授(通讯作者)在国际知名期刊Phys. Rev. Lett.上发表题为“Phonon Influence on Bulk Photovoltaic Effect in the Ferroelectric Semiconductor GeTe”的研究论文,文中采用第一性原理计算研究铁电半导体GeTe中的体光伏效应,由于其固有的窄带隙和高共价性,因此GeTe具有巨大的体光伏效应。研究人员探索了声子振动对体光伏效应的影响,利用数值拟合揭示了声子振动和SHC响应之间的定量关系。此外,研究人员通过平均布里渊区的声子振动影响揭示了体光伏效应与温度的关系,为相关实验研究提供了理论指导和深入理解。
【图文导读】
图一 GeTe的晶胞和带结构

(a)GeTe的菱形单位晶胞(绿色虚线)和第一个布里渊区(黑色实线),沿着z ̂方向是铁电极化方向
(b)铁电材料GeTe的带结构,L点是导带最小值,Z点是价带最大值
图二 声子振动的三种形态

(a)(b)分别表示原胞中声子振动的方向是沿着x ̂方向和z ̂方向
(c)表示在2×2×2超晶胞中反铁电振动模式
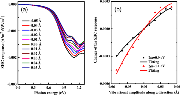
图三 GeTe中不同振动频率对SHC响应的影响

(a)GeTe的SHC响应与光子能量的关系,以及其对铁电振动振幅的依赖性
(b)SHC响应的变化与振动振幅的关系,其中光子能量分别是ℏω=0.9和1.1 eV,(b)中的正方形和三角形都是第一性原理的结果,黑线和红线是多项式C1(ω)λ+C2(ω)λ2的拟合曲线
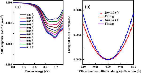
图四 垂直声子振动对SHC响应的影响

(a)SHC响应与光子能量的关系,其依赖于垂直声子振幅
(b)SHC响应的变化与振幅λ的关系,其中光子能量ℏω=1.0和1.2 eV,(b)中的正方形和圆形都是第一性原理的结果,蓝线和红线是多项式C2(ω)λ2的拟合曲线
图五 反铁磁性声子振动对SHC响应的影响

(a)SHC响应与光子能量的关系,其依赖于反铁磁性声子振幅
(b)SHC响应的变化与振幅λ的关系,其中光子能量ℏω=0.9和1.1 eV,(b)中的正方形和圆形都是第一性原理的结果,黑线和红线是多项式C2(ω)λ2的拟合曲线
图六 不同温度下的SHC响应

(a)表示不同温度下SHC响应与声子能量的关系
(b)SHC响应与温度的依赖性,其中光子能量ℏω=0.8、0.9、1.0和1.1 eV
【小结】
这篇文章研究了铁电半导体GeTe中的SHC响应,并发现GeTe的SHC响应大约是BiFeO3的5倍。通过具有代表性的振动模式,包括在Γ点的声子振动和在有限声子波矢量的反铁电模式,研究人员探索了声子对SHC响应的影响。该研究揭示了体光伏效应与温度的关系,为相关实验研究提供了理论预言和指导,研究结果能扩展到其他非中心对称材料。
文献连接:Phonon Influence on Bulk Photovoltaic Effect in the Ferroelectric Semiconductor GeTe (Physical Review Letters, 2018, DOI: 10.1103/PhysRevLett.121.017402)
本文由材料人编辑部计算材料组杜成江编译供稿,材料牛整理编辑,感谢华东师范大学龚士静老师对本文的指导修改。
材料牛网专注于跟踪材料领域HTH官网地址 及行业进展,这里汇集了各大高校硕博生、一线科研人员以及行业从业者,如果您对于跟踪材料领域HTH官网地址 进展,解读高水平文章或是评述行业有兴趣,点我加入材料人编辑部。
欢迎大家到材料人宣传HTH官网地址 成果并对文献进行深入解读,投稿邮箱tougao@cailiaoren.com.
投稿以及内容合作可加编辑微信:cailiaokefu.
材料测试、数据分析,上测试谷!





