【引言】
固体基底上吸附的高分子膜在多种前言领域具有广泛的应用前景和价值,比如有机太阳能电池,生物传感器,半导体芯片等。研究表明高分子链的局部构象和松弛对高分子膜的动力学行为具有重要的影响,尽管这种影响还没有得到完全的理解。众所周知,除了范德华相互作用以外,苯环之间的π−π相互作用也是影响分子组装和材料动力学行为的一个重要因素。然而,多数的研究都聚焦在功能基团之间的化学相互作用,对界面上高分子材料中的π−π相互作用研究甚少。
【成果简介】
近日,浙江理工大学王新平教授课题组与日本九州大学Keiji Tanaka教授合作,利用一种先进的界面表征技术和频生成(SFG)振动光谱来考察基底上聚苯乙烯材料中的π−π相互作用,并阐述了π−π相互作用对于吸附在基底表面上聚苯乙烯分子链的局部构象和松弛的影响。因此,该研究揭示了界面非共价相互作用在调控界面分子结构和动力学行为方方面的作用。该成果以题为”Enhanced Thermal Stability of Polystyrene by Interfacial Noncovalent Interactions”发表在高分子领域著名期刊Macromolecules上。
【图文导读】
图1苯基三甲氧基硅烷(PTS)修饰基底的表征

(a) 具有不同苯基含量的PTS修饰基底的XPS谱图;
(b) 具有不同苯基含量的PTS修饰基底的SFG谱图。
图2 吸附在PTS修饰基底上聚苯乙烯(PS)链的局部构象

(a) 聚苯乙烯吸附层的厚度与基底表面上苯基含量的关系图;
(b) PTS修饰基底上单分散聚苯乙烯(hPS)吸附层的SFG谱图。
图3 氘代聚苯乙烯吸附层的表征及链构象示意图

(a) 未修饰和修饰PTS基底上吸附氘代聚苯乙烯的SFG谱图;
(b) 基底表面上吸附聚苯乙烯的练构象示意图;
(c) 未修饰和修饰PTS基底上吸附氘代聚苯乙烯SFG谱图中C-D基团区域的放大图。
图4 PTS-0和PTS-4基底上聚苯乙烯吸附层的表面形貌

(a) PTS-0基底上1.9纳米厚度吸附层的AFM图像;
(b) PTS-4基底上3.5纳米厚度吸附层的AFM图像;
(c) PTS-4基底上2.2纳米厚度吸附层的AFM图像。
图5 PTS-0和PTS-4基底上氘代聚苯乙烯吸附层的SFG ssp谱图

(a) PTS-0和PTS-4基底上氘代聚苯乙烯吸附层在有无433K热处理48小时条件下的SFG ssp谱图;
(b) PTS-0和PTS-4基底上氘代聚苯乙烯吸附层在有无433K热处理48小时条件下的的SFG ssp谱图。
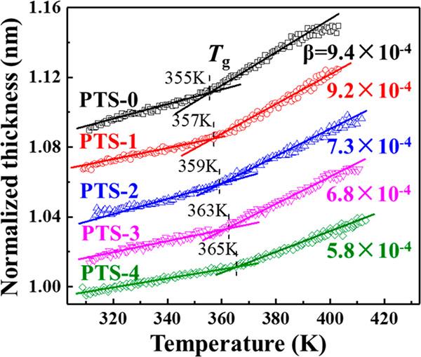
图6 PTS修饰基底上聚苯乙烯薄膜的热膨胀行为

该图显示具有不同苯基含量的PTS修饰基底上聚苯乙烯薄膜在12纳米厚度条件下归一化厚度对温度依赖性,结果表明由于热膨胀行为导致随着温度升高薄膜的厚度也随之增大。
【小结】
本文利用和频生成振动光谱表征了在覆盖有苯基的二氧化硅基底上吸附的聚苯乙烯分子链的局部构象,并首次证实基底表面和高分子功能基团之间存在非共价相互作用。研究结果π−π相互作用能够降低聚苯乙烯分子链的自由能,从而实现了聚苯乙烯分子链在基底表面的进一步稳定。该研究结果将能够促进理解基底界面上高分子链的聚集结构和动力学行为。
文献链接:Enhanced Thermal Stability of Polystyrene by Interfacial Noncovalent Interactions (Macromolecules 2018, DOI: 10.1021/acs.macromol.8b01012)
本文由材料人高分子和生物学术组Gaxy供稿,材料牛审核整理。
材料牛网站专注于跟踪材料领域HTH官网地址 及行业进展,这里汇集了各大高校硕博生、一线科研人员及行业从业员,如果您对于跟踪材料领域HTH官网地址 进展,解读高水平文章或评述行业有兴趣,点我加入材料人编辑部。
欢迎大家到材料人宣传HTH官网地址 成果并对文献进行深入解读,投稿邮箱tougao@cailiaoren.com。
投稿及内容合作可加编辑微信:cailiaorenkefu。





