【引言】
狄拉克半金属可以通过磁场打破时间反演对称性从而转化为外尔半金属,近年来引起了研究人员的广泛兴趣。它们不仅在三维动量空间中具有体态的狄拉克锥,而且还具有拓扑表面态,即费米弧;并且在纳米线中由于量子限制效应,其将成为一系列离散的表面子能带。
【成果简介】
近日,北京大学俞大鹏、廖志敏等人报道了一种可调的Fano效应,其是由Dirac半金属Cd3As2纳米线的离散表面态和连续体态之间的干涉引起的。该研究认为,当Fermi能级被调制到一个表面子能带的带底时,微分电导谱dI/dV会出现零偏压峰值。Fano共振导致dI/dV随偏置电压Vb的不对称线形。此外,Fano干涉会在Weyl轨道中引入一个附加相位,并导致振荡频率的改变。这些结果对于进一步了解拓扑半金属独特的量子输运性质很有价值。该研究发表于Physical Review Letters,题为“Fano Interference between Bulk and Surface States of a Dirac Semimetal Cd3As2 Nanowire”,北京大学王硕、林本川是本研究的共同第一作者。
【图文导读】
图1. SEM图像与转移曲线

(a)典型Cd3As2纳米线器件的SEM图像。
(b)通过四端构型测量的电阻与Vg的关系。插图显示减去背景后的电导振荡。
(c)由于纳米线的量子限制效应,表面态出现一系列子能带。红色和蓝色线对应于不同的手性。紫色曲线表示DOS分布。
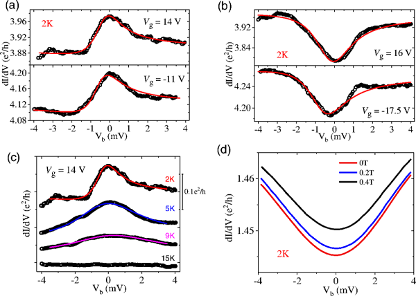
图2. 不同栅极电压下测量的dI/dV谱

(a)在2K和不同的栅极电压下测量的dI/dV随偏置电压Vb的变化关系。当调节Vg从-11.5到-18.5V,零偏压电导峰转变为零偏压电导谷。
(b)在另一个Vg为14到16 V区域中的dI/dV谱的类似变化。
图3. 不同磁场和温度下的dI/dV谱

(a)在T=2K,Vg=14V和不同磁场下测量的dI/dV随Vb的变化关系。
(b)dI/dV与偏置电压和磁场变化关系。红色虚线表示零偏压电导峰随磁场的线性劈裂。
(c)在不同温度下测量的dI/dV谱。
(d)零偏压电导峰幅值与温度的幂律拟合。插图显示了半高峰宽(FWHM)随温度的函数。
图4. 不对称和对称的dI/dV谱拟合

(a)-(c)dI/dV谱不对称线型的Fano拟合。
(d)在较粗的另一纳米线中(直径为150 nm),表面态的量子限制效应不明显,dI/dV随偏置电压变化展现出对称的抛物线型。
【小结】
该项工作观测到狄拉克半金属Cd3As2纳米线中dI/dV谱的零偏压电导峰,并发现其源于量子限制效应引起的表面能带劈裂。当施加磁场时,由于塞曼效应,零偏压电导峰被分裂,并且获得表面态的g因子达32。此外,连续体相与离散表面子带之间的Fano干涉导致零偏压电导峰的不对称线型。进一步的分析表明,这种Fano干涉会在狄拉克、外尔半金属薄膜的Weyl轨道中引入一个额外的相位,从而改变量子振荡频率。该发现将有助于更好地理解Dirac和Weyl 半金属中独特的量子输运性质。
文献链接:Fano Interference between Bulk and Surface States of a Dirac Semimetal Cd3As2 Nanowire (Physical Review Letters 2018, DOI: 10.1103/PhysRevLett.120.257701)
本文由材料人计算材料组Annay供稿,材料牛整理编辑。
材料牛网专注于跟踪材料领域HTH官网地址 及行业进展,这里汇集了各大高校硕博生、一线科研人员以及行业从业者,如果您对于跟踪材料领域HTH官网地址 进展,解读高水平文章或是评述行业有兴趣,点我加入编辑部大家庭。
欢迎大家到材料人宣传HTH官网地址 成果并对文献进行深入解读,投稿邮箱:tougao@cailiaoren.com。
投稿以及内容合作可加编辑微信:cailiaokefu,我们会邀请各位老师加入专家群。
材料测试、数据分析,上测试谷!





