【引言】
由于钠资源的丰富性,钠离子电池(SIB)引起了极大的关注。在实际应用中,阳极存在储纳容量低和动力学过程缓慢等问题,很难适用于大规模储能现有电极的机理分为嵌入型(如碳,TiO2,V2O5),转换型(如CoO,FeS2,NiSe2)以及合金类型(例如,Sn,Sb,Bi)。其中,基于转化反应的材料显示出更高的钠储存容量和更小的体积膨胀。过渡金属硫族化合物(TMDCs)被认为是转换型的主要材料。然而,传统的金属氧化物(MO)和金属硫化物(MS)由于固体电解质界面(SEI)膜阻断了离子的传输和多硫化物存在“穿梭”效应使电化学性能恶化。最近的研究报道称,金属硒化物(MSe)显示出高比例容量的超长寿命寿命,源于其高的电子传导率和低能量转化反应。为了满足大规模储能的需求,应进一步改善,使其在大电流密度具有优异容量且循环寿命长。
【成果简介】
近日,中南大学的纪晓波教授报道了一种通过简便的热解法成功获得纳米蜂窝状SnS,在1.0 mV s-1时,电容率贡献率提高到87%。与块状SnS2相比,具有精心设计的自分支纳米阵列的样品呈现出比表面积增大(从58%到74%)以及极好的电化学性质。用氮掺杂碳包裹的一系列FeSe2棒状结构壳通过不同的加热速率可控地调整。棒状FeSe2/N-C被用来诱导降低结晶,减少晶粒,并均匀沉积碳,从而带来电容贡献的演变。目标样品在大电流密度下显示出超长时间的循环稳定性,在10.0 A g-1下保持可逆容量为308 mAh g-1超过10000次循环。这项工作深入地探究颗粒尺寸对电容行为的影响以及制定合适的策略以提高金属硒化物作为阳极的钠储存性能。相关研究成果“Tailoring Rod-Like FeSe2 Coated with Nitrogen-Doped Carbon for High-Performance Sodium Storage”为题发表在Advanced Functional Materials上。
【图文导读】
图一 FeSe2/N-C的物相表征和成分表征

(a)钠离子穿梭机制
(b)XRD图谱
(c)拉曼光谱
(d)TG和DSC曲线
(e)比表面积
(f)PFS-1/2/3的粒度分布
(g)PFS-1和普鲁士蓝的FTIR曲线
图二 PFS-1表面上的价态分析

(a)XPS谱,b)Fe2p,c)Se3d,d)C1s和e)N1s的高分辨率光谱
图三 薄碳涂层的FeSe2棒状结构形态和详细的内部结构表征

(A1-A3)PFS-1,B1-B3)PFS-2和C1-C3)PFS-3,A4)所选择的区域衍射图(SAED)的FESEM,TEM和HRTEM图像,A5)能量色散谱仪(EDS)和A6)映射PFS-3的图像。
图四 PFS-1/2/3的电化学表征

(a)循环稳定性
(b)放电/充电曲线
(c)PFS-1/2/3的倍率特性
(d)在高电流密度下的超长期循环稳定性,第8001-8010次循环的充放电曲线谱
图五 PFS-1/2/3的电化学动力学性质

(a-c)PFS-1,b)PFS-2,c)PFS-3的CV曲线。扫描速率为(0.1,0.3,0.5,0.7和0.9mV s–1)
(d)0.1 mV s-1的第二个CV曲线
(e)Ip和v1/2之间的线性关系
(f)PFS-1/2/3的log(i)和log(v)之间的关系
(g-i)PFS-1,h)PFS-2和i)PFS-3的电容贡献(粉红色)和扩散贡献(青色)
(j)各种扫描速率下的电容贡献率
图六 EIS分析

(a,d)PFS-1,b,e)PFS-2和c,f)PFS-3的第3,12,20和50个循环 ,
(g)未放电条件下的EIS
(h)PFS-1/2/3的钠离子扩散系数
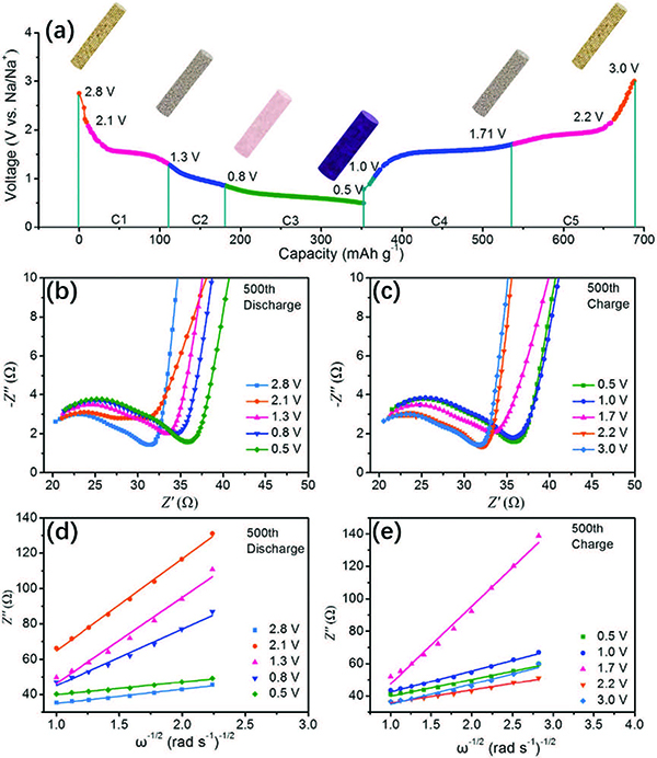
图七 充放电过程中的原位EIS

(a)PFS-1的EIS分析:不同平台在不同电位下的机理过程,奈奎斯特图和相应的线性关系w1 / 2与-Z“at
(b,d)放电条件
(c,e)充电条件
图八 不同放电电位的产物表征
(A)在0.5mV s-1时的第500次CV曲线
(B-E) 在放电B)3.0,C)1.3,D)0.8,和E)0.5V时的PFS-1的TEM,HRTEM和SAED图像。
【小结】
在这项工作中,通过Fe4[Fe(CN)6]3和Se的热反应成功制备FeSe2/N-C。由于铁基材料的各向异性自组装,棒状结构通过改变加热速率进行调控。FeSe2/N-C由较小的晶粒,较低的结晶度和均匀的碳层与Fe-N-C键构成。同时,使用电解质(NaCF3SO3/DEGDME)和0.5至3.0V的电势来测试电极。最佳的样品表现出优异的电化学性能,100次循环后在0.5 A g-1的电荷容量为426.1 mAhg-1。500圈循环后,容量保持在5.0 A g-1时393.7 mAhg-1。即使在10.0 A g-1的高密度下,它仍然保持优异的循环稳定性和高容量。动力学性质的分析表明,减小的直径将扩大参与氧化还原反应的离子的能级,增强电容控制的行为,并且减少离子转移电阻。循环后,原位EIS和非原位技术证实了形态和相演化过程的稳定性。这项工作深入地理解钠储存行为的尺寸效应以及在能源储存领域为调整金属硒化物提供了新策略。
文献链接:“Tailoring Rod-Like FeSe2 Coated with Nitrogen-Doped Carbon for High-Performance Sodium Storage”(Adv. Funct. Mater. 2018,DOI: 10.1002/adfm.201801765)
本文由材料人编辑部学术组微观世界编译供稿,材料牛整理编辑。
材料牛网专注于跟踪材料领域HTH官网地址 及行业进展,如果您对于跟踪材料领域HTH官网地址 进展,解读高水平文章或是评述行业有兴趣,点我加入编辑部。
欢迎大家到材料人宣传HTH官网地址 成果并对文献进行深入解读,投稿邮箱tougao@cailiaoren.com。
材料测试、数据分析,上测试谷!





