【引言】
电化学能量存储器件是未来新能源和洁净能源高效利用的重要手段之一。铁的氧化物因其理论容量高、价格低廉等特点是一种很有前景的水系储能负极材料。经研究发现,铁氧化物高的理论容量只能通过大的工作电位窗口来获取,从而引发铁价态完全转化而产生相变,最终导致巨大体积膨胀、结构坍塌,因此通常循环性能差。原子层沉积技术(ALD)是一种原子层外延技术,可以精准地在材料表面制备均匀的薄膜。在之前的储能研究领域,ALD常被集中应用于有机体系储能器件的表界面修饰和改性,以及用于制备特殊复合微纳电极结构。与之对比,将ALD应用于水系储能电极材料的表面修饰和包覆,特别是用于水系转化反应电极的改性尚不多见。
【成果简介】
近日,武汉理工大学刘金平教授(通讯作者)团队在Advanced Functional Materials上发表了题为“Conformal Multifunctional Titania Shell on Iron Oxide Nanorod Conversion Electrode Enables High Stability Exceeding 30000 Cycles in Aqueous Electrolyte”的文章,发现运用原子层沉积技术将氧化钛(TiO2)保护层包覆在Fe3O4纳米棒阵列上,体现出独特的多功能性。具体地,利用原子层沉积技术沉积的TiO2,薄膜高度均匀一致,并且沉积量精确可控。成果详细探究了不同TiO2壳层厚度对复合电极电化学性能的影响,并确定10 nm的TiO2保护层为最佳厚度。TiO2作为低体积变化的负极嵌锂材料,可以有效地减小Fe3O4纳米棒阵列充放电过程中体积剧烈变化所带来的影响,显著提高阵列薄膜电极在水系中性电解液中的循环稳定性至上万次。同时TiO2壳层进一步为电极提供了电容,并一定程度上缓解了水电解现象。另外,复合电极呈高度有序的阵列结构,保障了电子的快速传输和电解液的充分渗透。进一步,选择无粘结剂的电容性材料V2O3@C纳米片阵列薄膜与之搭配,构筑全阵列准固态混合超级电容器,获得了高的体积能量密度和功率密度。器件在温度适应性、可柔可弯曲等方面亦展现了优异的性能。同济大学程传伟教授课题组负责了本研究的ALD沉积实验;第一作者为李睿智博士,现在武汉HTH官网地址 大学材料与冶金学院工作。
【图文导读】
图1:Fe3O4@TiO2纳米棒复合阵列结构优势示意图。

图2:Fe3O4@ TiO2纳米棒复合阵列结构及成分表征。

Fe3O4@10TiO2复合纳米棒阵列的(a,b)SEM表征;(c)复合材料的元素分布图;(d)EDX图谱;(e-g)TEM表征;(h)XRD图谱。
图3:Fe3O4纳米棒阵列和Fe3O4@TiO2纳米棒复合阵列的电化学性能。

(a)纯Fe3O4电极在不同扫速下的循环伏安曲线;(b)Fe3O4@10TiO2复合电极在不同扫速下的循环伏安曲线。不同TiO2壳层厚度的复合电极的(c)充放电曲线;(d)循环性能图。
图4:V2O3@C// Fe3O4@TiO2准固态混合超级电容器的电化学性能。

(a)示意图;(b)截面结构;(c)循环伏安曲线;(d)倍率性能图;(e)不同电流密度下的充放电曲线;(f)Ragone图。
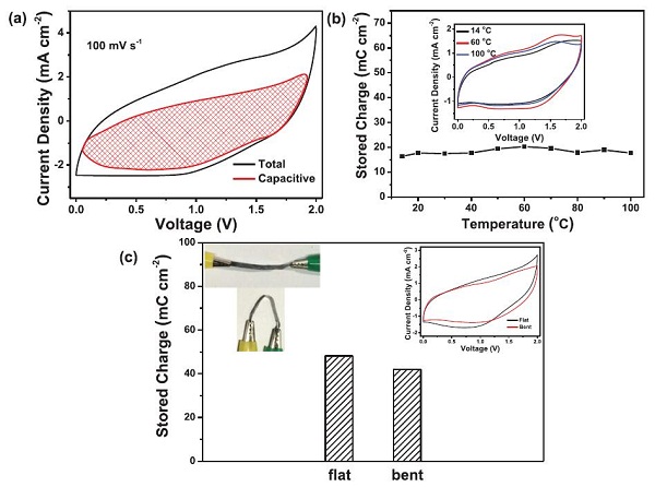
图5:V2O3@C//Fe3O4@TiO2准固态混合超级电容器

(a)在100 mV s-1时的循环伏安曲线,其中阴影部分代表非扩散控制部分的贡献;存储电量随(b)温度,(c)不同弯曲程度的变化图。
【总结】
利用ALD技术沉积均匀、厚度可控的TiO2壳层,得到的最佳厚度Fe3O4@10TiO2复合电极,循环性能较纯Fe3O4电极大幅提高。进一步组装的柔性准固态混合超级电容器亦表现出优异的电化学性能。该工作提出了一种普适的“原子层沉积氧化钛壳层保护”的策略,对从根本上改变其它在水系电解液中不稳定的金属氧化物和金属化合物电极材料稳定性提供了很好的借鉴意义。
【文章链接】
Conformal Multifunctional Titania Shell on Iron OxideNanorod Conversion Electrode Enables High StabilityExceeding 30000 Cycles in Aqueous Electrolyte. [Adv. Funct. Mater. 2018, DOI:10.1002/adfm.201800497]
欢迎大家到材料人宣传HTH官网地址 成果并对文献进行深入解读,投稿邮箱tougao@cailiaoren.com。
投稿以及内容合作可加编辑微信:cailiaokefu





