【引言】
在学术和工业领域监测和了解原位聚合过程都是至关重要的,特别是对于防止爆炸反应。单体、引发剂和聚合物分子的扩散在聚合反应动力学过程中起着重要作用,也在聚合物的性质上起着重要作用。如流变学、粘度测量法或膨胀法都被使用来获的这些信息。然而,这些方法只能从宏观的粘度获取这些信息,而不能从分子水平获得。
【成果简介】
近日,中国香港HTH官网地址 大学的唐本忠教授和Jacky W. Y. Lam教授(共同通讯作者)采用了一种简便而有效的方法原位将聚合作用可视化。合成了一组含有二硫代氨基甲酸乙酯的二硫代氨基甲酸酯(TPE),并作为RAFT聚合的载体进行了筛选。利用交替的可见光照射,使得RAFT聚合处于“开”和“关”的可控状态下。由于其聚集诱导的排放特性,TPE的排放对局部粘度变化很敏感。在不破坏反应体系的前提下,“裸眼”可以很容易地获得定量信息。此外,十二种不同的聚合体系也充分证明了这种技术的通用性。目前,这种方法为理解受控的活性自由基聚合过程提供了一个强有力的平台。研究成果以题为“Making Invisible Visible: In Situ Monitoring the RAFT Polymerization by Tetraphenylethylene-Containing Agents with Aggregation-Induced Emission Characteristics”发布在国际著名期刊Angew. Chem. Int. Ed.上。
【图文导读】
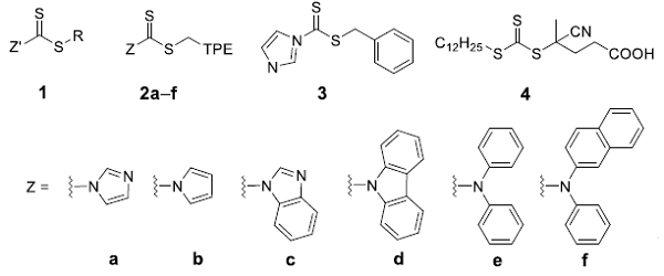
图一、不同类型的二硫代氨基甲酸酯的化学结构式

图二、RIM原理

(a) 聚合过程中荧光变化示意图;
(b)化合物2a (Mn = 1.5 × 104 g/ mol, 20 mg in 1 mL THF) 的PMA在不同PS(Mw = 2.8 × 105 g/mol)的荧光变化图;
(c)相对PL强度(I/I0)与PS浓度的关系图,其中I0为纯THF中的PL强度。
图三、在化合物2a下,可见光诱导的RAFT聚合反应的可视化

(a) 反应过程的示意图;
(b) 在手持紫外灯365 nm照射下。聚合物溶液在不同转换下的荧光照片;
(c) 不同转换的聚合物混合物的PL光谱;
(d) 转换和Mn与PL强度的指数关系。
图四、可见光诱导的RAFT聚合可视化的代表类型的单体

(a) 不同Mn浓度的MA的PL强度变化;
(b) 不同Mn浓度的HMA的PL强度变化;
(c) 不同Mn浓度的tBA的PL强度变化;
(d) 不同转换率的MEO2MA的PL强度变化;
(e) 不同比例的HEA和BMAA的PL强度变化;
(f) 不同的HEA的PL强度变化。
图五、物理共混法对聚合过程的可视化

(a) 在化学结合和物理共混体系中,PL强度对聚合物Mn的依赖性;
(b) 在芘溶液中,PL变化为0 – 100%单体的转换。
【小结】
研究通过光化学和AIE技术相结合的方法,证明了在原位可视化聚合过程的方法。与物理共混或ACQ系统相比,化学粘接法检测了聚合物段和周围环境的粘度变化,使其具有较高的灵敏度和准确性。并且,十二种不同单体的聚合,包括更少的steric,体积大的,NMR难以测定的,功能的和双功能的,都是基于单体转换或凝胶含量与PL强度的具体关系进行了良好的监测。这种新兴的方法为研究聚合过程提供了一个强大的平台。
文献链接:Making Invisible Visible: In Situ Monitoring the RAFT Polymerization by Tetraphenylethylene-Containing Agents with Aggregation-Induced Emission Characteristics(Angew. Chem. Int. Ed., 2018, DOI: 10.1002/anie.201803268)
本文由材料人生物材料组小胖纸编译,点我加入材料人编辑部。
材料测试,数据分析,上测试谷!





