【引言】
当前锂离子电池已经广泛应用在手机、电脑和其他生活常用的移动电子设备。但是锂离子电池不可避免的具有毒性、安全性问题和有机电解液成本较高等问题。水系电解液是替代有机电解液的良好选择,目前已经得到了大量的关注。因为水系电解液具有价格低廉、容易合成、离子导电率较高、倍率性能较好和功率密度较高的特点。目前锌离子电池和钠离子电池是低价格、高容量、高导电性和资源储量丰富的优势。但是锌离子电池比锂离子电池和钠离子电池更安全、成本更低、更容易大规模应用。其中锌离子电池的比容量低、循环寿命差、因此很难大规模应用。因此开发新型的负极材料就变得非常重要。本文研发了Na2V6O16·3H2O负极材料,成功提高锌离子电池的性能,同时揭示了其储能机理。
【成果简介】
近日,韩国全南国立大学的Jaekook Kim(通讯作者)等人,研究发锌离子电池的Na2V6O16·3H2O纳米棒负极材料具有很高的储能。本文采用原位同步XRD技术揭示了锌离子嵌入和脱出的机理,解释了负极材料的储能机制。这种负极材料具有很高的倍率性能和很高的效率,即在40 C(1 C=361 mA·g-1)循环1000圈后,其容量保持仍在80 %以上。在比功率为15.8 KW·kg-1时,其比能量为90 Wh·kg-1。相关成果以“Na2V6O16·3H2O Barnesite Nanorod: An Open Door to Display a Stable and High Energy for Aqueous Rechargeable Zn-Ion Batteries as Cathodes”为题发表在Nano Letters上。
【图文导读】
图1 Na2V6O16·3H2O的XRD、SEM及TEM结构表征

(a)Na2V6O16·3H2O前驱的PXRD图谱;
(b)NVO纳米氧化棒的高分辨SEM图像;
(c)Na2V6O16·xH2O的高分辨晶格条纹相;
(d)Na2V6O16·xH2O的晶体结构(插入图是平行于c轴,低分辨TEM图像)。
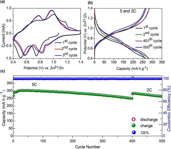
图2 NVO负极材料的CV和循环图

(a)NVO负极材料的CV图像;
(b)不同电流密度下,电池的充放电曲线;
(c)电池的500圈的循环性能。
图3 NVO负极材料的倍率和循环性能图

(a)不同电流密度下,NVO负极材料的倍率性能图;
(b)不同电流密度下,NVO负极材料的循环性能图。
图4 原位充放电过程中的XRD图谱

(a)在300 mAg-1的电流密度下,电池的循环充放电图;
(b,c,d)充放电中,不同衍射角区间的原位XRD图。
图5 首次充放电后,负极材料的XRD和TEM图像

(a)NVO负极材料充放电后的非原位XRD图谱;
(i)首圈放电后,非原位的低分辨TEM图像;
(ii)是(i)的放大图;
(iii)首次充电后,非原位的低分辨TEM图像;
(iv)是(iii)的放大图。
图6 首次充放电后的XPS图及其负极材料的Ragone曲线

(a)首次放电到0.4 V 和充电到1.4 V后,V 2p和Zn 2p的非原位XPS图;
(b)锌电池不同负极材料的Ragone曲线。
【小结】
本文发现了层状Na2V6O16·3H2O材料,作为锌锂电池的负极材料,具有优异的稳定性。在40 C的电流密度下,循环1000圈后,其可逆容量仍达到128 mAh·g-1。在比功率密度为15.8 KW·kg-1时,其比能量密度为90 Wh·kg-1。本文结合原位和非原位的结构分析,发现这种负极材料的具有高比能量的储能机制。本文为水系二次电池的研究,打开了新的视野。其中锌为正极,水系ZnSO4电解液,不需要活性炭(石墨烯、氧化石墨烯)支撑,对于下一代大范围储能设备的应用,这种组装方式具有对环境友好、成本较低和负极材料特别稳定的特点。
文献链接:Na2V6O16·3H2O Barnesite Nanorod: An Open Door to Display a Stable and High Energy for Aqueous Rechargeable Zn-Ion Batteries as Cathodes(Nano Letters, 2018, DOI: 10.1021/acs.nanolett.7b05403)。
欢迎大家到材料人宣传HTH官网地址 成果并对文献进行深入解读,投稿邮箱tougao@cailiaoren.com。
材料牛专注于跟踪材料领域HTH官网地址 及行业进展,这里汇集了各大高校硕博生、一线科研人员以及行业从业者,如果您对于跟踪材料领域HTH官网地址 进展,解读高水平文章或是评述行业有兴趣,点我加入材料人编辑部。
材料测试,数据分析,上测试谷!





