【引言】
二维材料譬如二维电子气与石墨烯, 因其低维度以及特别的电子结构, 具有一般的三维导体材料完全不同的传输性质. 它的磁阻行为特异并且可具有很强的自旋轨道耦合效应, 这些丰富的物理特性具有很高的应用价值. 在这些二维薄膜上, 由於张力分布的不均匀, 很容易自然形成奈米尺度的皱摺结构. 实验学家甚至可以透过施力或者是外加电流操控这些皱摺的波长与振幅. 当电子在薄膜上沿着皱摺运动并同时受到外场作用时, 会感受到(1)外场等效地沿着几何曲率变动以及(2)材料张力的变化, 也就是说我们可以利用三维的几何形状在二维系统的电子传输引入新的物理. 因此, 了解这些皱摺如何影响电子传输是一个有趣且有应用价值的课题.
【成果简介】
近日,荷兰乌特列支大学Carmine Ortix教授(通讯作者)与德国莱布尼兹材料研究所张景皓研究员(第一兼通讯作者)合作,预测二维材料上的几何皱摺会引发Weiss磁阻震荡(Weiss oscillation)并引发异向磁阻(Anisotropic magnetoresistance). Weiss震荡是一种古典的磁阻震荡现象, 它源自於: 当电子沿着周期性位能移动并同时感受到外加磁场时,电子可以与周期性边界共振并沿着边界快速飘移, 因此电阻在特定的磁场值显着降低形成磁阻震荡. 除了磁阻, 在旋转外加磁场与二维薄膜的相对角度时, 该研究也发现此系统的异向磁阻也会展现Weiss 震荡, 这是首个系统在异向磁阻上展现了Weiss震荡. 相关成果以题为“Angle-dependent Weiss oscillations in a nanocorrugated two dimensional electron gas”发表在了Nano Futures上。
【图文导读】

图1二维皱摺薄膜与等效磁场
a. 上图: 二维皱摺薄膜. 下图: 外加均匀磁场与x轴夹角θ. 皱摺高度为a=25 nm, 其波长为λ=250 nm.
b. 电子在薄膜上所看到的等效磁场可分为两个分量, 分别是均匀磁场(B0)与平均值为零的震荡磁场(B1). 这两个磁场的大小是磁场角度θ的函数.

图2电子的路径随磁场角度变化
顶端图: 三个不同外加磁场的角度下, 电子所受到的等效磁场. 此处s 代表沿着x方向的薄膜弧长.
a. 外加弱磁场平行x轴, 电子的cyclotron orbit横跨薄膜皱摺.
b. 外加弱磁场旋转至x轴与y轴之间, cyclotron orbit可以与周期性边界共振, 造成电子沿皱摺飘移形成guiding-center drift.
c. 外加弱磁场沿着y轴, 等效磁场平均值为零. 此时等效磁场只是微扰般地扭曲电子路径.
d. 外加强磁场平行x轴, 由於磁场变大, 电子的cyclotron orbit缩小至小於皱摺长度.
e. 外加强磁场介於x轴与y轴之间, 在不同位置上, 电子可以沿着皱摺移动或是形成不动的cyclotron orbit.
f. 外加强磁场沿着y轴, 电子可以被局限在皱摺附近形成snake orbit沿着皱摺移动. 在不同的位置会形成cyclotron orbit. 此时为类一维(quasi-1D)系统.

图3垂直薄膜皱摺方向的磁阻
大图: 电阻在弱场下具有Weiss oscillation, 此处Bc所标记的是特定磁场满足cyclotron orbit的尺寸约是皱摺波长的整数倍(参考图二b). 蓝色, 紫色与黄色分别代表三种不同的载子浓度(n = 0.5, 1, 2 x 1012 cm-2).
内嵌小图: 强场下, 二维薄膜变为类一维系统, 电子无法横跨薄膜皱摺传输(参考图二 f). 因此磁阻大幅飙升.

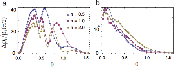
图4 異向磁阻
a. 外场为0.4 tesla下, 电阻随着外加磁场角度震荡. 这也是Weiss震荡.
b. 外场为4 tesla, 此时异向磁阻非常巨大达到四个数量级. 这是因为在改变外加磁场角度时, 系统由二维(图二d)变为类一维系统(图二f).
【小结】
在过去的研究中, Weiss 震荡都源自於外加磁场与材料内在的震荡电场或是磁场的交互作用, 在实验上要实现Weiss震荡的条件非常严苛, 而本研究推展这种磁阻现象至外加磁场与几何形状的交互作用. 并且, 本研究进一步发现Weiss oscillatio的磁阻振幅可以透过旋转二维薄膜与外场的相对角度来调控, 此发现未来可应用於磁感测器 (magnetic sensor).
文献:Angle-dependent Weiss oscillations in a nanocorrugated two dimensional electron gas Nano Futures, 2017, DOI: doi.org/10.1088/2399-1984/aa9c7a
材料人与IOP出版社联合推出【IOP专栏】,报道IOP旗下期刊精彩研究进展。本文系【IOP专栏】第3篇。
Nano Futures是英国物理学会(Institute of Physics, UK)的旗舰刊,2017年创刊,发表纳米研究领域前瞻性的研究成果,一年四期,每期约八篇,大多数都是邀请稿,主编,编委和编辑团队来源于Nanotechnology。
投稿以及内容合作可加编辑微信:cailiaokefu。





