【引言】
在高分子材料中,各种嵌段共聚物一直是该领域的研究热点。其中共聚物的稳定性和形态变化,也一直是研究热点与难点,如何快速、简洁、有效的制备出不同形态嵌段共聚物,研究其相应的形态稳定性,以便进一步功能化和修饰,成为嵌段共聚物进一步开发利用的瓶颈。
【成果简介】
近日,上海大学的安泽胜教授(通讯作者)课题组采用三种不同的不对称交联剂,研究了在聚合物诱导自组装嵌段共聚物的原位交联,使得都有一对具有不同反应活性的双键。最终,发现4-羟苄基甲基丙烯酸甲酯的结构模仿甲基丙烯酸甲酯的结构表现出最好结果,对蠕虫状的形态学的影响最小。研究成果以题为“MorphologicalStabilization of Block Copolymer Worms UsingAsymmetricCross-Linkers during Polymerization-Induced Self-Assembly”发布在国际著名期刊Macromolecules上。
【图文导读】
图一、材料的制备

(a) 交联剂的结构式;
(b) 通过RAFT溶液聚合合成PDMAEMA Macro-CTA;
(c) 通过RAFT分散聚合在原位交联合成蠕虫状PDMAEMA-b-P (BnMA-co-X)。
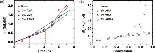
图二、线性和交联蠕虫状聚合物动力学表征

(a)在不同时间点下,线性PDMAEMA26-b-PBnMA80和不同交联剂形成蠕虫状PDMAEMA26-b-P(BnMA0.97-co-X0.03)80的ln([M]0/[M])值变化图;
(b)在不同时间点下,线性PDMAEMA26-b-PBnMA80和不同交联剂形成蠕虫状PDMAEMA26-b-P(BnMA0.97-co-X0.03)80的重均分子量(Mw)值变化图。
图三、分散聚合过程中的GPC表征

(a)线性PDMAEMA26-b-PBnMA80的GPC表征;
(b)VMA交联剂下形成蠕虫状PDMAEMA26-b-P (BnMA0.97-co-X0.03)80的GPC表征;
(c)AMA交联剂下形成蠕虫状PDMAEMA26-b-P(BnMA0.97-co-X0.03)80的GPC表征;
(d)ABMA交联剂下形成蠕虫状PDMAEMA26-b-P(BnMA0.97-co-X0.03)80的GPC表征。
图四、不同交联剂形成蠕虫状PDMAEMA36-b-P(BnMA(1-x)-co-Xx)110的TEM图
图五、蠕虫状聚合物的TEM图

(a) 二嵌段共聚物PDMAEMA26-b-P(BnMA0.97-co-ABMA0.03)80的TEM图;
(b) 三嵌段共聚物PDMAEMA26-b-P-(BnMA0.97-co-ABMA0.03)80-b-PDMAEMA72的TEM图。
图六、不同PH值对蠕虫状聚合物Zeta电位的影响

【小结】
研究了三种不同的不对称交联剂(VMA、AMA、ABMA)对BnMA的分散共聚作用,以制备原位交联嵌段共聚物。在利用交联的二嵌段共聚物作为前躯体,无形态降解,可以制备交联三嵌段共聚物。从而提供了一种有效的方法来合成具有蠕虫状嵌段共聚物形态学稳定性,在不改变其蠕虫状形态前提下,进一步的修饰或功能化是很有可能的,有很高的潜在应用价值。
文献链接:Morphological Stabilization of Block Copolymer Worms Using Asymmetric Cross-Linkers during Polymerization-Induced SelfAssembly(Macromolecules, 2018, DOI: 10.1021/acs.macromol.8b00246)
本文由材料人生物材料组小胖纸供稿,材料牛编辑整理。
材料牛网专注于跟踪材料领域HTH官网地址 及行业进展,这里汇集了各大高校硕博生、一线科研人员以及行业从业者,如果您对于跟踪材料领域HTH官网地址 进展,解读高水平文章或是评述行业有兴趣,点我加入材料人编辑部。
材料测试,数据分析,上测试谷!





