【引言】
伴随着柔性便携、可穿戴电子设备的快速发展,高性能柔性储能器件的开发成为近期研究的热点。在实际应用的过程中,柔性电子设备常常会面临各种外界的破坏和冲击,比如被弯折、碰撞、浸水、刺穿,甚至会遇到被剪开、火烧、水洗等极端情况,这就对储能器件的抗破坏性和可靠性提出了很高的要求。传统的电化学储能器件例如锂离子电池使用易燃易爆的有机电解质,在遇到上述意外时就存在很大的安全隐患。相比之下,新型可充电的锌离子电池利用偏中性的锌盐作为电解液,不仅制作简单、成本更低,而且安全无毒比容量较高,避免了传统锂基电池易燃易爆的风险,对柔性电子设备来说不失为一个更佳的选择。但由于缺乏一种耐盐性强、高导离子率、高稳定性的聚合物电解质,使得固态锌离子电池的开发受到极大的制约。因此,设计一种高效稳定的锌离子聚合物电解质对于柔性固态锌离子电池的开发具有重要的意义。
【成果简介】
近日,香港城市大学支春义教授课题组在Energy & Environmental Science上发表了题为“An extremely safe and wearable solid-state zinc ion battery based on a hierarchical structured polymer electrolyte”的论文。该研究设计和开发了一种基于明胶和聚丙烯酰胺共聚物的高导离子率、高保液性和高耐盐性的导锌离子聚合物电解质,并以此制备了一种安全性和循环性能优异的柔性锌离子电池。该工作巧妙地在明胶——一种天然生物高分子材料上接枝吸水性聚丙烯酰胺,加入无机盐,并与二维多孔电纺聚丙烯腈膜复合,得到了多层次的导锌离子凝胶聚合物电解质膜。其测得的离子导电率高达17.6×10−3 S cm−1,远高于此前文献中报道的锌离子聚合物电解质。同时,该研究采用高导电碳纳米管薄膜纸作为电极的集流体,在其表面电沉积金属锌作为柔性负极,将水热合成的二氧化锰纳米棒/CNT复合材料涂覆在碳纳米管薄膜表面作为柔性正极。所组装的柔性锌离子电池放电比容量高达306 mAh g-1,面积比能量密度达6.18 mWh cm−2,并表现出优异的循环稳定性,经过1000次充放电循环后仍保持最初容量的97%。同时,得益于柔性的电极和聚合物电解质设计,加上水系电池的安全性优势,该电池表现出超高的柔韧性和抗破坏性,在被反复弯折、扭曲后仍能保持稳定的电化学性能。甚至在一些极端情况下,例如被锤击、火烧、浸水、水洗、钻孔等破坏性测试后仍可以继续工作,表现出良好的可靠性和安全性。所制备的柔性锌离子电池串联之后还可以稳定的为商业化的智能手表、心率传感器和智能鞋垫提供能量,展现出巨大的应用前景。
【图文导读】
图1 聚合物电解质(HPE)的合成路径示意图

图2 柔性电极的表征和柔性锌离子电池组装

a)二氧化锰纳米棒/CNT复合材料和电沉积锌的XRD衍射图谱;
B)二氧化锰纳米棒/CNT复合材料的TEM图(比例尺为200 nm);
C)二氧化锰纳米棒/CNT复合材料的高分辨TEM图(比例尺为200 nm);
d)电沉积锌的SEM图(比例尺为2 μm);
e)柔性锌离子电池结构示意图;
f)柔性锌离子电池实物图,显示出良好的柔性;
g)柔性锌离子电池的厚度,最薄达110 μm。
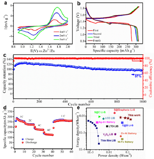
图3 柔性锌离子电池的电化学性能

a)柔性锌离子电池在不同扫速下的CV曲线;
b)柔性锌离子电池的放电曲线(首四圈,电流密度61.6 mA g-1);
C)柔性锌离子电池的循环性能和库伦效率(电流密度2772 mA g-1);
d)柔性锌离子电池的倍率性能;
e)柔性锌离子电池与其他柔性电池的性能比较。
图4 柔性锌离子电池的应用展示

a)三块柔性锌离子电池串联后的放电曲线;
b)三块柔性锌离子电池并联后的放电曲线;
c)三块柔性锌离子电池串联后驱动商业化的智能手表;
d)四块柔性锌离子电池串联后驱动心率传感器,在平放和弯曲状态下均可稳定的输出脉搏波形图;
e)柔性锌离子电池驱动智能鞋垫的示意图;
f)柔性锌离子电池和智能鞋垫的实物图及所测得的脚下的压力分布图;
g)通过柔性锌离子电池和智能鞋垫实际跑步后得到的运动路径图(路径长度2.1 km)和运动结果分析。
【小结】
该工作利用天然生物大分子明胶和吸水性聚丙烯酰胺的接枝共聚物作为柔性锌离子电池的聚合物电解质,有效提高了电解质的导离子率、保液性和耐盐性,同时还可抑制锌枝晶的生长,再加上以高导电碳纳米管薄膜纸为基底的柔性电极,成功制备了一种组装的高安全性、长循环寿命的柔性锌离子电池。这种新型柔性电池比容量高(306 mAh g-1),面积比能量密度大(6.18 mWh cm−2),循环性能优异(大倍率下循环1000次后仍保持最初容量的97%)。同时,得益于柔性的电极和电解质设计,加上水系电池的安全性优势,该电池表现出超高的柔韧性和抗破坏性,在被反复弯折、扭曲甚至被锤击、火烧、浸水、水洗、钻孔后后仍能保持稳定的电化学性能,表现出良好的可靠性。所制备的柔性锌离子电池串联之后还可以稳定的为商业化的智能手表、心率传感器和智能鞋垫提供能量。该工作为新一代高性能、高安全性柔性储能器件的设计开发提供了新思路。
相关研究成果发表于Energy & Environmental Science (DOI: 10.1039/C7EE03232C)上,该研究工作的第一作者为李洪飞和韩翠平,通讯作者为支春义教授。
文章链接:An extremely safe and wearable solid-state zinc ion battery based on a hierarchical structured polymer electrolyte.(Energy Environ. Sci., 2018, DOI: 10.1039/C7EE03232C.)
【团队介绍】
支春义教授:研究领域主要包括可穿戴储能器件&传感器、BN/BCN纳米结构和聚合物复合材料等。迄今已在Nature Commun., J. Am. Chem. Soc., Angew. Chem. In. Ed., Adv. Mater., Energy Environ. Sci., 和ACS Nano 等期刊发表超过200篇学术论文,他引次数超过11000次,h指数为55;同时,是多个期刊的编委成员,应邀为Nature, Nature Commun., Phys. Rev. lett., Adv. Mater., Adv. Funct. Mater., Nano Lett., ACS Nano, Angew. Chem. In. Ed., J. Am. Chem. Soc.等多个高水平期刊的审稿人。
本文由支春义教授团队供稿。
材料牛网专注于跟踪材料领域HTH官网地址 及行业进展,这里汇集了各大高校硕博生、一线科研人员以及行业从业者,如果您对于跟踪材料领域HTH官网地址 进展,解读高水平文章或是评述行业有兴趣,点我加入编辑部大家庭。
欢迎大家到材料人宣传HTH官网地址 成果并对文献进行深入解读,投稿邮箱tougao@cailiaoren.com。
投稿以及内容合作可加编辑微信:RDD-2011-CHERISH,任丹丹。
材料测试、数据分析,上测试谷!





